| NPS AND RELATED COMPOUNDS DATABASE |
| Substance class |
substance (NPS) common name |
structure (created by OPSIN free tool) |
NPS1 systematic name | other names | Formula per base form |
Mw (g/mol) per base form NPS1 |
MS (BP1) |
MS (BP2) |
MS (BP3) |
GC-MS-RT NFL/min |
MS spectrum (picture) |
StdIn ChIKey |
Type of detection | comments | date of entry |
report updated |
Contributor | Chem-ID or Report-ID |
|---|---|---|---|---|---|---|---|---|---|---|---|---|---|---|---|---|---|---|
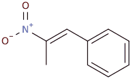
| Indolalkylamines (fe tryptamines) | 5-MeO-N,N-DMT | ![]() | 2-(5-methoxy-1H-indol-3-yl)-N,N-dimethylethanamine | 5-methoxy-N,N-dimethyltryptamine | C13H18N2O | 218.29 | 58 | 160 | 218 | 7.08 | show | ZSTKHSQDNIGFLM-UHFFFAOYSA-N | RM-reference material | 2006-01-27 | RESPONSE project; 2015-2017 | 610-06A | ||
| Piperazine derivates | pCPP | ![]() | 1-(4-chlorophenyl)piperazine | C10H13ClN2 | 196.67 | 154 | 196 | 138 | 5.42 | show | UNEIHNMKASENIG-UHFFFAOYSA-N | RM-reference material | 2009-04-30 | RESPONSE project; 2015-2017 | 921 | |||
| Piperazine derivates | mCPP | ![]() | 1-(3-chlorophenyl)piperazine | C10H13ClN2 | 196.67 | 154 | 196 | 138 | 5.38 | show | VHFVKMTVMIZMIK-UHFFFAOYSA-N | RM-reference material | 2010-11-18 | RESPONSE project; 2015-2017 | 962-10A | |||
| Cannabinoids | JWH-250 | ![]() | 2-(2-methoxyphenyl)-1-(1-pentylindol-3-yl)ethanone | C22H25NO2 | 335.44 | 214 | 144 | 91 | 12.44 | show | FFLSJIQJQKDDCM-UHFFFAOYSA-N | in house RM | 2011-12-01 | RESPONSE project; 2015-2017 | 1021-11A | |||
| Cathinones | Mephedrone | ![]() | (RS)-2-Methylamino-1-(4-methylphenyl)propan-1-one | 4-methylmethcathinone (4-MMC) | C11H15NO | 177.24 | 58 | 91 | 32 | 3.52 | show | YELGFTGWJGBAQU-UHFFFAOYSA-N | RM-reference material | 2012-02-02 | RESPONSE project; 2015-2017 | 1000-12A | ||
| Cathinones | 3-MMC | ![]() | 2-(Methylamino)-1-(3-methylphenyl)-1-propanone | C11H15NO | 177.24 | 58 | 91 | 119 | 3.41 | show | QDNXSIYWHYGMCD-UHFFFAOYSA-N | RM-reference material | 2012-07-16 | RESPONSE project; 2015-2017 | 1048-12A | |||
| Cathinones | Buphedrone | ![]() | 2-(methylamino)-1-phenylbutan-1-one | C11H15NO | 177.24 | 72 | 77 | 57 | 3.26 | show | DDPMGIMJSRUULN-UHFFFAOYSA-N | RM-reference material | 2013-05-21 | RESPONSE project; 2015-2017 | 1068-13A | |||
| Cathinones | Butylone | ![]() | 1-(1,3-benzodioxol-5-yl)-2-(methylamino)butan-1-one | 1-2-(methylamino)-3,4-(methylendioxy)-butyrophenone, bk-MBDB | C12H15NO3 | 221.26 | 72 | 149 | 57 | 5.64 | show | CGKQZIULZRXRRJ-UHFFFAOYSA-N | RM-reference material | 2013-11-28 | RESPONSE project; 2015-2017 | 1079-13A | ||
| Cathinones | Naphyrone | ![]() | (RS)-1-naphthalen-2-yl-2-pyrrolidin-1-ylpentan-1-one | Naphthylpyrovalerone | C19H23NO | 281.39 | 126 | 127 | 155 | 8.87 | show | RM-reference material | 2013-11-28 | RESPONSE project; 2015-2017 | 1081-13A | |||
| Cathinones | 4-MEC | ![]() | (RS)-2-ethylamino-1-(4-methylphenyl)propan-1-one | C12H17NO | 191.27 | 72 | 44 | 91 | 3.88 | show | ZOXZWYWOECCBSH-UHFFFAOYSA-N | RM-reference material | 2013-11-28 | RESPONSE project; 2015-2017 | 1083-13A | |||
| Indolalkylamines (fe tryptamines) | 5-MeO_MiPT | ![]() | [2‐(5‐methoxy‐1H‐indol‐3‐yl)ethyl](methyl)(propan‐2‐yl)amine | N-[2-(5-methoxy-1H-indol-3-yl)ethyl]-N-methylpropan-2-amine; 5-Methoxy MiPT | C15H22N2O | 246.35 | 86 | 160 | 117 | 8.01 | show | HEDOODBJFVUQMS-UHFFFAOYSA-N | in house RM | NMR confirmed 2018 (RESPONSE-2); analytical report added 2018 | 2013-12-01 | 2018-07-15 | RESPONSE project; 2015-2017 | 1023-11A |
| Cannabinoids | JWH-122 | ![]() | (4-methyl-1-naphthyl)-(1-pentylindol-3-yl)methanone | C25H25NO | 355.50 | 355 | 298 | 214 | 16.05 | show | HUKJQMKQFWYIHS-UHFFFAOYSA-N | in house RM | 2013-12-01 | RESPONSE project; 2015-2017 | 1025-12A | |||
| Cannabinoids | JWH-018 | ![]() | Naphthalen-1-yl-(1-pentylindol-3-yl)methanone | C24H23NO | 341.50 | 341 | 214 | 284 | 14.68 | show | JDNLPKCAXICMBW-UHFFFAOYSA-N | in house RM | 2013-12-01 | RESPONSE project; 2015-2017 | 1024-12A | |||
| Cannabinoids | FUBIMINA | ![]() | (1-(5-fluoropentyl)-1H-benzo[d]imidazol-2-yl)(naphthalen-1-yl)methanone | AM-2201 benzimidazole analog, BIM-2201, BZ-2201, FTHJ | C23H21FN2O | 360.40 | 271 | 127 | 359 | 14.04 | show | KUESSZMROAFKQJ-UHFFFAOYSA-N | in house RM | 2013-12-01 | RESPONSE project; 2015-2017 | 1117-14A | ||
| Cannabinoids | JWH-200 | ![]() | 1-[2-(morpholin-4-yl)ethyl]-3-(naphthalene-1-carbonyl)-1H-indole | (1-(2-morpholin-4-ylethyl)indol-3-yl)-naphthalen-1-ylmethanone | C25H24N2O2 | 384.47 | 100 | 127 | 56 | 18.40 | show | SZWYXJHTNGJPKU-UHFFFAOYSA-N | in house RM | 2013-12-01 | RESPONSE project; 2015-2017 | 1019-11A | ||
| Cannabinoids | RCS-4 | ![]() | 2-(4-methoxyphenyl)-1-(1-pentyl-indol-3-yl)methanone | C21H23NO2 | 321.41 | 321 | 264 | 135 | 12.87 | show | XAEBLSVZPIGTTK-UHFFFAOYSA-N | in house RM | 2013-12-01 | RESPONSE project; 2015-2017 | 1022-11A | |||
| Cannabinoids | JWH-203 | ![]() | 2-(2-chlorophenyl)-1-(1-pentylindol-3-yl)ethanone | C21H22ClNO | 339.86 | 214 | 144 | 116 | 12.35 | show | YDINKDBAZJOSLV-UHFFFAOYSA-N | in house RM | 2013-12-01 | RESPONSE project; 2015-2017 | 1020-11A | |||
| Cathinones | bk-MDA | ![]() | 2-amino-1-(2H-1,3-benzodioxol-5-yl)propan-1-one | 3,4-methylendioxycathinone | C10H11NO3 | 193.20 | 44 | 149 | 121 | 4.94 | show | XDEZOLVDJWWXRG-UHFFFAOYSA-N | RM-reference material | 2014-03-11 | RESPONSE project; 2015-2017 | 1328-16 | ||
| Phenethylamines | 2-Fluoroamphetamine | ![]() | 1-(2-Fluorophenyl)propan-2-amine | 2-fluoro-α-methyl-benzeneethanamine, 2-FA | C9H12FN | 153.20 | 44 | 109 | 83 | 2.28 | show | GDSXNLDTQFFIEU-UHFFFAOYSA-N | RM-reference material | 2014-09-22 | RESPONSE project; 2015-2017 | 1103-14A | ||
| Indolalkylamines (fe tryptamines) | 5-MeO-DALT | ![]() | N-allyl-N-[2-(5-methoxy-1H-indol-3-yl)ethyl]prop-2-en-1-amine | 5-methoxy-N,N-diallyltryptamine | C17H22N2O | 270.37 | 110 | 160 | 241 | 8.68 | show | HGRHWEAUHXYNNP-UHFFFAOYSA-N | RM-reference material | 2014-09-22 | RESPONSE project; 2015-2017 | 1108-14A | ||
| Piperidines & pyrrolidines | 3,4-CTMP | ![]() | Methyl (2R)-2-(3,4-dichlorophenyl)-2-[(2R)-piperidin-2-yl]acetate | 3,4-dichloromethylphenidate | C14H17Cl2NO2 | 302.20 | 180 | 181 | 67 | 8.45 | show | JUKMAYKVHWKRKY-CHWSQXEVSA-N | RM-reference material | GC-MS for 3,4-CTMP-TFA derivative; be aware of possible thermal dcomposition, if sample is not derivatized | 2014-09-22 | RESPONSE project; 2015-2017 | 1100-14A | |
| Arylalkylamines | 6-EAPB | ![]() | 1-(benzofuran-6-yl)-N-ethylpropan-2-amine | C13H17NO | 203.28 | 72 | 44 | 131 | 4.34 | show | MIRNYUKRRZFBOI-UHFFFAOYSA-N | RM-reference material | 2014-09-22 | RESPONSE project; 2015-2017 | 1110-14A | |||
| Cathinones | Ethylone | ![]() | (RS)-1-(1,3-benzodioxol-5-yl)-2-(ethylamino)propan-1-one | C12H15NO3 | 221.25 | 72 | 44 | 149 | 5.53 | show | MJEMIOXXNCZZFK-UHFFFAOYSA-N | RM-reference material | 2014-09-22 | RESPONSE project; 2015-2017 | 1107-14A | |||
| Phenethylamines | 3-Fluoroamphetamine | ![]() | (RS)-1-(3-Fluorophenyl)propan-2-amine | 3-fluoro-α-methyl-benzeneethanamine, 3-FA | C9H12FN | 153.20 | 44 | 109 | 83 | 2.28 | show | PIOCLGPCMNPZFT-UHFFFAOYSA-N | RM-reference material | 2014-09-22 | RESPONSE project; 2015-2017 | 1102-14A | ||
| Cathinones | 2-MMC | ![]() | 2-(methylamino)-1-(2-methylphenyl)-1-propanone | 2-MMC; 2-methyl MC, 2-methylmethcathinone | C11H15NO | 177.24 | 58 | 91 | 119 | 3.21 | show | PRGXFAWAMOFULD-UHFFFAOYSA-N | RM-reference material | 2014-09-22 | RESPONSE project; 2015-2017 | 1047-12A | ||
| Piperidines & pyrrolidines | 2-DPMP | ![]() | (RS)-2-benzhydrylpiperidine | desoxypipradrol, 2-diphenylmethylpiperidine | C18H21N | 251.37 | 84 | 165 | 56 | 7.35 | show | RWTNXJXZVGHMGI-UHFFFAOYSA-N | RM-reference material | 2014-09-22 | RESPONSE project; 2015-2017 | 1104-14A | ||
| Cathinones | Bupropion | ![]() | (±)-2-(tert-Butylamino)-1-(3-chlorophenyl)propan-1-one | C13H18ClNO | 239.74 | 44 | 100 | 139 | 4.56 | show | SNPPWIUOZRMYNY-UHFFFAOYSA-N | RM-reference material | 2014-09-22 | RESPONSE project; 2015-2017 | 1101-14A | |||
| Phenethylamines | 2C-D | ![]() | 1-(2,5-Dimethoxy-4-methylphenyl)-2-aminoethane | C11H17NO2 | 195.26 | 166 | 151 | 135 | 4.46 | show | UNQQFDCVEMVQHM-UHFFFAOYSA-N | RM-reference material | 2014-09-22 | RESPONSE project; 2015-2017 | 1112-14A | |||
| Arylalkylamines | 5-EAPB | ![]() | 1-(Benzofuran-5-yl)-N-ethylpropan-2-amine | C13H17NO | 203.28 | 72 | 44 | 131 | 4.32 | show | ZBZDDOARNPAMSP-UHFFFAOYSA-N | RM-reference material | 2014-09-22 | RESPONSE project; 2015-2017 | 1111-14A | |||
| Arylalkylamines | 5-MAPB | ![]() | 1-(Benzofuran-5-yl)-N-methylpropan-2-amine | C12H15NO | 189.25 | 58 | 131 | 77 | 4.00 | show | ZOVRTIPCNFERHY-UHFFFAOYSA-N | RM-reference material | 2014-09-22 | RESPONSE project; 2015-2017 | 1105-14A | |||
| Cathinones | 3,4-MDPV | ![]() | (RS)-1-(Benzo[d][1,3]dioxol-5-yl)-2-(pyrrolidin-1-yl)pentan-1-one | mehylenedioxypyrovalerone | C16H21NO3 | 275.34 | 126 | 149 | 65 | 7.89 | show | SYHGEUNFJIGTRX-UHFFFAOYSA-N | RM-reference material | 2014-11-28 | RESPONSE project; 2015-2017 | 1084-13A | ||
| Cannabinoids | MDMB-CHMCZCA | ![]() | methyl 2‐{[9‐(cyclohexylmethyl)‐9H‐carbazol‐3‐yl]formamido}‐3,3‐dimethylbutanoate | methyl 2-(9-(cyclohexylmethyl)-9H-carbazole-3-carboxamido)-3,3-dimethylbutanoate ; methyl 2-{[9-(cyclohexylmethyl)-9H-carbazole-3-carbonyl]amino}-3,3-dimethylbutanoate | C27H34N2O3 | 434.58 | 290 | 179 | 291 | 19.85 | show | FAWVRKNYDPKTDZ-UHFFFAOYSA-N | collected | not pure | 2015-01-19 | 2018-05-10 | RESPONSE project; 2015-2017 | 1430-15 |
| Cathinones | alpha-PBP | ![]() | 1-Phenyl-2-(1-pyrrolidinyl)-1-butanone | C14H19NO | 217.31 | 112 | 77 | 113 | 5.09 | show | GSESDIFGJCCBHN-UHFFFAOYSA-N | collected | mixture with N-Ethyl-norpentylone | 2015-01-19 | Forensic Science Institute Zurich, Switzerland; | 1437-16 | ||
| Cannabinoids | 5F-APP-PINACA (PX2) | ![]() | N-(1-amino-1-oxo-3-phenylpropan-2-yl)-1-(5-fluoropentyl)-1H-indazole-3-carboxamide | PX2, •FU-PX | C22H25FN4O2 | 396.50 | 233 | 145 | 352 | 16.58 | show | OJTAHWMZBJRSIR-UHFFFAOYSA-N | collected | 2015-01-19 | Hungarian Institute of Forensic Science, Budapest, Hungary | 1400-15 | ||
| Cathinones | alpha-PVP | ![]() | (RS)-1-Phenyl-2-(1-pyrrolidinyl)-1-pentanone | C15H21NO | 231.33 | 126 | 77 | 55 | 5.61 | show | YDIIDRWHPFMLGR-UHFFFAOYSA-N | RM-reference material | 2015-02-16 | RESPONSE project; 2015-2017 | 1151-15A | |||
| Phenethylamines | 4-Methylephedrine | ![]() | 1-(4-Methylphenyl)-2-methylamino-1-propanol | 2‐(methylamino)‐1‐(4‐methylphenyl)propan‐1‐ol | C11H17NO | 179.26 | 58 | 91 | 77 | 3.65 | show | DUESQFQLBNOCIT-UHFFFAOYSA-N | RM-reference material | 2015-03-04 | RESPONSE project; 2015-2017 | 1346-16 | ||
| Phenethylamines | 25I-NBF | ![]() | N-(2-fluorobenzyl)-2-(4-iodo-2,5-dimethoxyphenyl)ethanamine | 25I-NB2F, 2C-I-NBF, NBF-2C-I, Cimbi-21 | C17H19FINO2 | 415.24 | 109 | 138 | 278 | 10.12 | show | LPBKNBHMWRBPHT-UHFFFAOYSA-N | RM-reference material | 2015-03-04 | 2018-04-13 | RESPONSE project; 2015-2017 | 1376-16 | |
| Cathinones | Pyrovalerone | ![]() | 1-(4-methylphenyl)-2-(pyrrolidin-1-yl)pentan-1-one | 1-(1-Pyrrolidinyl)butyl p-Tolyl Ketone; Valerophenone, Centroton,Thymergix | C16H23NO | 245.36 | 126 | 127 | 91 | 6.42 | show | SWUVZKWCOBGPTH-UHFFFAOYSA-N | RM-reference material | 2015-03-11 | RESPONSE project; 2015-2017 | 1332-16 | ||
| Arylalkylamines | 6-APB | ![]() | 6-(2-aminopropyl)benzofuran | 1-benzofuran-6-ylpropan-2-amine | C11H13NO | 175.23 | 44 | 131 | 77 | 3.65 | show | FQDAMYLMQQKPRX-UHFFFAOYSA-N | RM-reference material | 2015-03-23 | RESPONSE project; 2015-2017 | 1168-15A | ||
| Arylalkylamines | 5-APB | ![]() | 5-(2-Aminopropyl)benzofuran | 1-benzofuran-5-ylpropan-2-amine | C11H13NO | 175.23 | 44 | 131 | 77 | 3.64 | show | VKUMKUZDZWHMQU-UHFFFAOYSA-N | RM-reference material | 2015-03-23 | RESPONSE project; 2015-2017 | 1167-15A | ||
| Cathinones | Pentedrone | ![]() | (±)-1-phenyl-2-(methylamino)pentan-1-one | α-methylamino-Valerophenone | C12H17NO | 191.27 | 86 | 44 | 105 | 3.71 | show | WLIWIUNEJRETFX-UHFFFAOYSA-N | RM-reference material | 2015-03-23 | RESPONSE project; 2015-2017 | 1166-15A | ||
| Cannabinoids | AB-FUBINACA | ![]() | N-(1-amino-3-methyl-1-oxobutan-2-yl)-1-(4-fluorobenzyl)-1H-indazole-3-carboxamide | C20H21FN4O2 | 368.41 | 109 | 253 | 324 | 13.29 | show | AKOOIMKXADOPDA-UHFFFAOYSA-N | seized | 2015-03-27 | RESPONSE project; 2015-2017 | 1116 | |||
| Arylalkylamines | 2-MAPB | ![]() | 1-(Benzofuran-2-yl)-N-methylpropan-2-amine | 2-[2,N-Dimethyl-2-aminoethyl]benzofuran | C12H15NO | 189.24 | 58 | 131 | 77 | 3.98 | show | ANJIDHKQUCZNQY-UHFFFAOYSA-N | seized | 2015-03-27 | RESPONSE project; 2015-2017 | 1164 | ||
| Cannabinoids | CUMYL-BICA | ![]() | 1-butyl-N-(2-phenylpropan-2-yl)-1H-indole-3-carboxamide | C22H26N2O | 334.45 | 200 | 216 | 144 | 12.00 | show | BSZWUQMCGNYLJR-UHFFFAOYSA-N | seized | https://www.policija.si/eng/images/stories/GPUNFL/PDF/P-083_Prague2015_SyntheticCannabinoids_Poster-final.pdf | 2015-03-27 | RESPONSE project; 2015-2017 | 1115 | ||
| Cannabinoids | 5F-AMBICA | ![]() | N-(1-amino-3-methyl-1-oxobutan-2-yl)-1-(5-fluoropentyl)-1H-indol-3-carboxamide | C19H26FN3O2 | 347.43 | 232 | 144 | 116 | 13.44 | show | GQYZBLMAONPUNX-UHFFFAOYSA-N | seized | 2015-03-27 | RESPONSE project; 2015-2017 | 1157 | |||
| Cannabinoids | CUMYL-THPINACA | ![]() | N-(2-phenylpropan-2-yl)-1-((tetrahydro-2H-pyran-4-yl)methyl)-1H-indazole-3-carboxamide | C23H27N3O2 | 377.48 | 243 | 362 | 145 | 14.10 | show | HINCNLQQLQFMRD-UHFFFAOYSA-N | seized | https://www.policija.si/eng/images/stories/GPUNFL/PDF/P-083_Prague2015_SyntheticCannabinoids_Poster-final.pdf | 2015-03-27 | RESPONSE project; 2015-2017 | 1136 | ||
| Cannabinoids | AB-CHMINACA | ![]() | N-[(1S)-1-(aminocarbonyl)-2-methylpropyl]-1-(cyclohexylmethyl)-1H-indazole-3-carboxamide | C20H28N4O2 | 356.46 | 241 | 145 | 312 | 13.36 | show | KJNZIEGLNLCWTQ-KRWDZBQOSA-N | seized | 2015-03-27 | RESPONSE project; 2015-2017 | 1158 | |||
| Cannabinoids | CUMYL-PINACA | ![]() | 1-pentyl-N-(2-phenylpropan-2-yl)-1H-indazole-3-carboxamide | C22H27N3O | 349.46 | 215 | 145 | 334 | 11.40 | show | LCBASRYREGWIJT-UHFFFAOYSA-N | seized | https://www.policija.si/eng/images/stories/GPUNFL/PDF/P-083_Prague2015_SyntheticCannabinoids_Poster-final.pdf | 2015-03-27 | RESPONSE project; 2015-2017 | 1135 | ||
| Cannabinoids | ADB-CHMICA | ![]() | N-(1-Amino-3,3-dimethyl-1-oxobutan-2-yl)-1-(cyclohexylmethyl)-1H-indole-3-carboxamide | 2-{[1-(cyclohexylmethyl)-1H-indol-3-yl]formamido}-3,3-dimethylbutanamide | C22H31N3O2 | 369.50 | 240 | 144 | 55 | 15.80 | show | LPXKQKOUEIQHLR-UHFFFAOYSA-N | seized | 2015-03-27 | RESPONSE project; 2015-2017 | 1113 | ||
| Cannabinoids | 5F-PB22-mixAKB48 | ![]() | 8-Quinolinyl 1-(5-fluoropentyl)-1H-indole-3-carboxylate | 1-(5-fluoropentyl)-1H-indole-3-carboxylic acid 8-quinolinyl ester | C23H21FN2O2 | 376.40 | 232 | 144 | 116 | 17.10 | show | MBOCMBFDYVSGLJ-UHFFFAOYSA-N | seized | 2015-03-27 | RESPONSE project; 2015-2017 | 1162 | ||
| Cannabinoids | FUB-AKB48 | ![]() | N-(adamantan-1-yl)-1-(4-fluorobenzyl)-1H-indazole-3-carboxamide | AKB-48-fluorobenzyl analogue | C25H26FN3O | 403.49 | 109 | 253 | 294 | 17.14 | show | MWBHSNBPUSKVDD-UHFFFAOYSA-N | seized | 2015-03-27 | RESPONSE project; 2015-2017 | 1159 | ||
| Cannabinoids | Cumyl-5F-P7AICA | ![]() | 1-(5-fluoropentyl)-N-(2-phenylpropan-2-yl)-7-azaindole-3-carboxamide | N-cumyl-(5-fluoropentyl)-7-azaindole-3-carboxamide, SGT-263 | C22H26FN3O | 367.50 | 233 | 145 | 117 | 12.85 | show | MXJYOUMYJGNQEY-UHFFFAOYSA-N | seized | https://www.policija.si/eng/images/stories/GPUNFL/PDF/P-083_Prague2015_SyntheticCannabinoids_Poster-final.pdf | 2015-03-27 | 2016-03-13 | RESPONSE project; 2015-2017 | 1154 |
| Others | Dimethocaine | ![]() | (3-diethylamino-2,2-dimethylpropyl)-4-aminobenzoate | larocaine, DMC | C16H26N2O2 | 278.39 | 86 | 120 | 8.31 | show | OWQIUQKMMPDHQQ-UHFFFAOYSA-N | seized | 2015-03-27 | RESPONSE project; 2015-2017 | 1161 | |||
| Cathinones | N-ethylnorpentedrone | ![]() | 1-phenyl-2-(ethylamino)pentan-1-on | N-ethlyaminopentiophenone; a-ethlyaminopentiophenon; N-Ethylpentylone | C13H19NO | 205.30 | 100 | 58 | 77 | 4.05 | show | QQAHEGDXEXIQPR-UHFFFAOYSA-N | seized | 2015-03-27 | RESPONSE project; 2015-2017 | 1153 | ||
| Cannabinoids | CUMYL-PICA | ![]() | 1-(5-pentyl)-N-(2-phenylpropane-2-yl)-1H-indole-3-carboxamide | C23H28N2O | 348.48 | 214 | 230 | 144 | 13.00 | show | RCXFMWJQOYCIQU-UHFFFAOYSA-N | seized | https://www.policija.si/eng/images/stories/GPUNFL/PDF/P-083_Prague2015_SyntheticCannabinoids_Poster-final.pdf | 2015-03-27 | RESPONSE project; 2015-2017 | 1114 | ||
| Cannabinoids | AKB48 | ![]() | N-(1-adamantyl)-1-pentyl-1H-indazole-3-carboxamide | APINACA | C23H31N3O | 365.10 | 215 | 145 | 294 | 14.33 | show | UCTCCIPCJZKWEZ-UHFFFAOYSA-N | seized | impurities detected | 2015-03-27 | RESPONSE project; 2015-2017 | 1162 | |
| Cathinones | 3-CMC | ![]() | 1-(3-chlorophenyl)-2-(methylamino)propan-1-one | 3-chloromethcathinone; Clophedrone | C10H12ClNO | 197.70 | 58 | 75 | 111 | 3.77 | show | VOEFELLSAAJCHJ-UHFFFAOYSA-N | seized | 2015-03-27 | RESPONSE project; 2015-2017 | 1152 | ||
| Cannabinoids | ADAMANTYL-THPINACA | ![]() | N-(1-adamantyl)-1-(tetrahydropyran-4-ylmethyl)indazole-3-carboxamide | C24H31N3O2 | 393.52 | 135 | 243 | 145 | 17.52 | show | WFDRVDUEMGJILX-UHFFFAOYSA-N | seized | 2015-03-27 | 2016-05-25 | RESPONSE project; 2015-2017 | 1160 | ||
| Cannabinoids | CUMYL-5F-PINACA | ![]() | 1-(5-fluoropentyl)-N-(2-phenylpropane-2-yl)-1H-indazole-3-carboxamide | 5-fluoro Cumyl-pinaca, SGT 25 | C22H26FN3O | 367.46 | 233 | 145 | 352 | 12.05 | show | XSHGVIPHMOTDCS-UHFFFAOYSA-N | seized | https://www.policija.si/eng/images/stories/GPUNFL/PDF/P-083_Prague2015_SyntheticCannabinoids_Poster-final.pdf | 2015-03-27 | 2015-11-04 | RESPONSE project; 2015-2017 | 1155 |
| Cannabinoids | PB-22 | ![]() | 8-Quinolinyl 1-pentyl-1H-indole-3-carboxylate | QUPIC, | C23H22N2O2 | 358.43 | 214 | 144 | 116 | 16.31 | show | ZAVGICCEAOUWFM-UHFFFAOYSA-N | seized | 2015-03-27 | RESPONSE project; 2015-2017 | 1165-15A | ||
| Cannabinoids | CUMYL-5F-PICA | ![]() | 1-(5-fluoropentyl)-N-(2-phenylpropane-2-yl)-1H-indole-3-carboxamide | C23H27FN2O | 366.47 | 232 | 248 | 144 | 13.90 | show | ZJCYQNSYQBCKOD-UHFFFAOYSA-N | seized | https://www.policija.si/eng/images/stories/GPUNFL/PDF/P-083_Prague2015_SyntheticCannabinoids_Poster-final.pdf | 2015-03-27 | RESPONSE project; 2015-2017 | 1118 | ||
| Piperidines & pyrrolidines | Isopropylphenidate | ![]() | isopropyl 2‐phenyl‐2‐(piperidin‐2‐yl)acetate | propan‐2‐yl 2‐phenyl‐2‐(piperidin‐2‐yl)acetate | C16H23NO2 | 261.36 | 84 | 91 | 43 | 5.87 | show | AZVPADMEIMLODT-UHFFFAOYSA-N | test purchase | 2015-04-17 | RESPONSE project; 2015-2017 | 1171-15 | ||
| Benzodiazepines | Deschloroetizolam | ![]() | 2-ethyl-9-methyl-4-phenyl-6H-thieno[3,2-f][1,2,4]triazolo[4,3-a][1,4]diazepine | C17H16N4S | 308.4 | 279 | 308 | 239 | 13.08 | show | JIOBORXCOGMHSV-UHFFFAOYSA-N | test purchase | 2015-04-17 | RESPONSE project; 2015-2017 | 1174-15 | |||
| Arylalkylamines | 5-APB NBOMe | ![]() | 1-(benzofuran-5-yl)-N-(2-methoxybenzyl)propan-2-amine | C19H21NO2 | 295.38 | 121 | 164 | 91 | 8.92 | show | NSWWDACHSBMHLV-UHFFFAOYSA-N | test purchase | 2015-04-17 | RESPONSE project; 2015-2017 | 1175-15 | |||
| Others | 3-FPM | ![]() | 2-(3-fluorophenyl)-3-methylmorpholine | 3-Fluorophenmetrazine | C11H14FNO | 195.23 | 71 | 42 | 56 | 3.49 | show | VHYVKJAQSJCYCK-UHFFFAOYSA-N | test purchase | 2015-04-17 | RESPONSE project; 2015-2017 | 1172-15 | ||
| Arylcyclohexylamines | 3-MeO-PCP | ![]() | 1-[1-(3-methoxyphenyl)cyclohexyl]-piperidine | 3-Methoxyphencyclidine | C18H27NO | 273.41 | 230 | 272 | 273 | 7.83 | show | BQQSZHHKGPOXLN-UHFFFAOYSA-N | collected | NOT analyzed by NMR | 2015-05-13 | RESPONSE project; 2015-2017 | 233-1890/2015 | |
| Benzodiazepines | Nifoxipam | ![]() | 5-(2-fluorophenyl)-3-hydroxy-7-nitro-1H-benzo[e][1,4]diazepin-2(3H)-one | 5-(2-fluorophenyl)-3-methyl-7-nitro-1,3-dihydro-2H-1,4-benzodiazepin-2-one | C15H10FN3O4 | 315.26 | 223 | 222 | 75 | 9.37 | show | UHFIFTRHLBAWGY-UHFFFAOYSA-N | collected | 2015-05-13 | RESPONSE project; 2015-2017 | 233-1918/15 | ||
| Others | 3-FPM-crystal | ![]() | 2-(3-fluorophenyl)-3-methylmorpholine | 3-Fluorophenmetrazine | C11H14FNO | 195.23 | 71 | 42 | 56 | 3.49 | show | VHYVKJAQSJCYCK-UHFFFAOYSA-N | test purchase | 2015-05-13 | RESPONSE project; 2015-2017 | 1173-15 | ||
| Benzodiazepines | Clonazolam | ![]() | 6-(2-chlorophenyl)-1-methyl-8-nitro-4H-[1,2,4]triazolo[4,3-a][1,4]benzodiazepine | clontrazolam | C17H12ClN5O2 | 353.76 | 324 | 249 | 203 | 15.59 | show | XJRGLCAWBRZUFC-UHFFFAOYSA-N | collected | 2015-05-13 | RESPONSE project; 2015-2017 | 233-1980/2015 | ||
| Phenethylamines | 25IP-NBOMe | ![]() | {2‐[2,5‐dimethoxy‐4‐(propan‐2‐yl)phenyl]ethyl}[(2‐methoxyphenyl)methyl]amine | [2‐(4‐isopropyl‐2,5‐dimethoxyphenyl)ethyl][(2‐methoxyphenyl)methyl]amine | C21H29NO3 | 343.47 | 121 | 150 | 91 | 9.83 | show | KMZZEEDFQLXSQF-UHFFFAOYSA-N | test purchase | 2015-05-15 | RESPONSE project; 2015-2017 | 1176-15 | ||
| Phenethylamines | DOF | ![]() | 1‐(4‐fluoro‐2,5‐dimethoxyphenyl)propan‐2‐amine | DOF | C11H16FNO2 | 213.25 | 44 | 170 | 155 | 4.07 | show | NRANUECGGQVXOT-UHFFFAOYSA-N | test purchase | purchased as 4-AcO-DPT; DOF is mixed with DOIP; DOF was confirmed by reference material ID 1413-15 (24/12/2015) | 2015-05-15 | RESPONSE project; 2015-2017 | 1178-15 | |
| Phenethylamines | DOIP | ![]() | 1‐[2,5‐dimethoxy‐4‐(propan‐2‐yl)phenyl]propan‐2‐amine | 1‐(4‐isopropyl‐2,5‐dimethoxyphenyl)propan‐2‐amine | C14H23NO2 | 237.34 | 44 | 194 | 179 | 5.12 | show | SPKSLAUXKHSASF-UHFFFAOYSA-N | test purchase | purchased as 4-AcO-DALT | 2015-05-15 | RESPONSE project; 2015-2017 | 1177-15 | |
| Phenethylamines | 4-chloro-2,5-DMA | ![]() | 1-(4-Chloro-2,5-dimethoxy-phenyl)propan-2-amine | 4-chloro-2,5-dimethoxy-a-methyl-benzeneethanamine, 4-chloro-2,5-dimethoxyamphetamine, DOC | C11H16ClNO2 | 229.70 | 44 | 186 | 77 | 5.34 | show | ACRITBNCBMTINK-UHFFFAOYSA-N | RM-reference material | 2015-06-01 | RESPONSE project; 2015-2017 | 1180-15 | ||
| Cannabinoids | 5F-AKB48 | ![]() | N-(1-adamantyl)-1-(5-fluoropentyl)-1H-indazole-3 –carboxamide | APINACA 5-fluoropentyl analog; 5F-APINACA, AKB48-5F | C23H30FN3O | 383.51 | 233 | 145 | 294 | 15.65 | show | UCMFSGVIEPXYIV-UHFFFAOYSA-N | seized | Analytical report added (12/02/16) | 2015-06-03 | 2016-02-12 | RESPONSE project; 2015-2017 | 1179-15 |
| Piperazine derivates | DB-MDBP | ![]() | 1-((2,2-DIFLUOROBENZO[D][1,3]DIOXOL-5-YL)METHYL)PIPERAZINE | C12H14F2N2O2 | 256.25 | 171 | 214 | 256 | 4.73 | show | MPZINTHEMFDGTH-UHFFFAOYSA-N | test purchase | 2015-07-11 | 2018-04-11 | RESPONSE project; 2015-2017 | 1185-15 | ||
| Cannabinoids | AB-CHFUPYCA | ![]() | N-(1-amino-3-methyl-1-oxobutan-2-yl)-1-(cyclohexylmethyl)-3-(4-fluorophenyl)-1H -pyrazole-5-carboxamide | AB-CHMFUPPYCA; 3,5-AB-CHMFUPPYCA | C22H29FN4O2 | 400.50 | 257 | 189 | 95 | 15.05 | show | NDYOOVJIZQTGHY-UHFFFAOYSA-N | test purchase | purchased as AZ-037 | 2015-07-11 | RESPONSE project; 2015-2017 | 1181-15 | |
| Cathinones | 5-BPDi | ![]() | 1-(2,3-dihydro-1H-inden-5-yl)-2-(pyrrolidin-1-yl)hexan-1-one | C19H27NO | 285.42 | 140 | 115 | 96 | 8.59 | show | WETQQOQCDBNIKE-UHFFFAOYSA-N | test purchase | purchased as 5-PPDi | 2015-07-11 | RESPONSE project; 2015-2017 | 1183-15 | ||
| Cannabinoids | 5C-AKB48 | ![]() | N-(1-adamantyl)-1-(5-chloropentyl)-1H-indazole-3-carboxamide | 5C-APINACA, 5Cl-AKB48 | C23H30ClN3O | 399.96 | 249 | 145 | 294 | 17.39 | show | LGENBCKWDLSPTD-UHFFFAOYSA-N | test purchase | 2015-07-13 | 2015-10-16 | RESPONSE project; 2015-2017 | 1186-15 | |
| Cathinones | N-methyl-bk-MMDA-2 | ![]() | 1-(6-methoxy-1,3-benzodioxol-5-yl)-2-(methylamino)propan-1-one | N-Me-bk-MMDA-2 | C12H15NO4 | 237.25 | 58 | 179 | 164 | 6.38 | show | SONSUHOOEIVPFR-UHFFFAOYSA-N | test purchase | purchased as 2-AiMP | 2015-07-13 | RESPONSE project; 2015-2017 | 1182-15 | |
| Others | 2-MeO-Diphenidine | ![]() | 1-(1-(2-methoxyphenyl)-2-phenylethyl)piperidine | Methoxyphenidine, MXP | C20H25NO | 295.42 | 204 | 205 | 91 | 8.23 | show | QXXCUXIRBHSITD-UHFFFAOYSA-N | seized | 2015-07-17 | RESPONSE project; 2015-2017 | 1163-15A | ||
| Cannabinoids | FUBIMINA | ![]() | (1-(5-fluoropentyl)-1H-benzo[d]imidazol-2-yl)(naphthalen-1-yl)methanone | AM-2201 benzimidazole analog, BIM-2201, BZ-2201, FTHJ | C23H21FN2O | 360.40 | 271 | 127 | 359 | 14.12 | show | KUESSZMROAFKQJ-UHFFFAOYSA-N | test purchase | purchased as THJ-018 | 2015-07-22 | RESPONSE project; 2015-2017 | 1198-15 | |
| Cannabinoids | MDMB-CHMICA | ![]() | N-[[1-(cyclohexylmethyl)-1H-indol-3-yl]carbonyl]-3-methyl-valine, methyl ester | MMB-CHMINACA | C23H32N2O3 | 384.51 | SRJKCVHWIDFUBO-HXUWFJFHSA-N | test purchase | purchased as MMB-CHMINACA | 2015-07-22 | RESPONSE project; 2015-2017 | 1193-15 | ||||||
| Phenethylamines | 2C-C | ![]() | 1-(4-Chloro-2,5-dimethoxyphenyl)-2-aminoethane | 4-Chloro-2,5-dimethoxy-phenethylamine | C10H14ClNO2 | 215.68 | 186 | 171 | 77 | 5.23 | show | CGKQFIWIPSIVAS-UHFFFAOYSA-N | RM-reference material | 2015-07-29 | RESPONSE project; 2015-2017 | 1109-14A | ||
| Cannabinoids | STS-135 | ![]() | N-(Adamantan-1-yl)-1-(5-fluoropentyl)-1H-indole-3-carboxamide | 5F-APICA | C24H31FN2O | 382.50 | 232 | 382 | 144 | 17.47 | show | COYHGVCHRRXECF-UHFFFAOYSA-N | test purchase | 2015-07-29 | RESPONSE project; 2015-2017 | 1200-15 | ||
| Benzodiazepines | Diclazepam | ![]() | 7-chloro-5-(2-chlorophenyl)-1-methyl-1,3-dihydro-2H-1,4-benzodiazepin-2-one | C16H12Cl2N2O | 319.19 | 283 | 318 | 290 | 10.08 | show | VPAYQWRBBOGGPY-UHFFFAOYSA-N | test purchase | 2015-07-29 | RESPONSE project; 2015-2017 | 1197-15 | |||
| Cathinones | 5-DBFPV | ![]() | 1-(2,3-dihydrobenzofuran-5-yl)-2-(pyrrolidin-1-yl)pentan-1-one | 5-dihydrobenzofuranpyrovalerone | C17H23NO2 | 273.37 | 126 | 127 | 147 | 8.40 | show | CIGWUZUBQBQZAO-UHFFFAOYSA-N | test purchase | 2015-08-19 | 2015-10-15 | RESPONSE project; 2015-2017 | 1251-15 | |
| Cathinones | 3,4-dimethoxy-alpha-PHP | ![]() | 1-(3,4-dimethoxyphenyl)-2-(pyrrolidin-1-yl)hexan-1-one | 3,4-DMeO-α-PHP | C18H27NO3 | 305.41 | 140 | 141 | 96 | 8.68 | show | KAWWDIAYCGMAPE-UHFFFAOYSA-N | test purchase | 2015-08-19 | 2015-11-09 | RESPONSE project; 2015-2017 | 1250-15 | |
| Piperazine derivates | DB-MDBP | ![]() | 1-((2,2-difluorobenzo[D][1,3]dioxol-5-yl)methyl)piperazine | C12H14F2N2O2 | 256.25 | 171 | 214 | 56 | 4.73 | show | MPZINTHEMFDGTH-UHFFFAOYSA-N | test purchase | 2015-08-19 | 2018-04-11 | RESPONSE project; 2015-2017 | 1252-15 | ||
| Others | 4-MPH | ![]() | 3-methyl-2(p-tolyl)morpholine | 3-methyl-2-(4-methylphenyl)morpholine, 4-MPM, mephenmetrazine, 4-methylphenmetrazine | C12H17NO | 191.27 | 71 | 56 | 42 | 4.17 | show | NWNCIXFIIDVRKE-UHFFFAOYSA-N | test purchase | source I | 2015-08-19 | RESPONSE project; 2015-2017 | 1243-15 | |
| Cathinones | MDPHP | ![]() | 1-(1,3-benzodioxol-5-yl)-2-pyrrolidin-1-yl-hexan-1-one | MD-PHP | C17H23NO3 | 289.37 | 140 | 141 | 149 | 8.40 | show | OBLFRFGUZZRECT-UHFFFAOYSA-N | test purchase | 25% of an unknown organic impurity by NMR | 2015-08-19 | RESPONSE project; 2015-2017 | 1245-15 | |
| Piperidines & pyrrolidines | HDEP-28 | ![]() | ethyl 2-(naphthalen-2-yl)-2-(piperidin-2-yl)acetate | ethylnaphtidate, HDEP-28, 2-(2-ethoxy-1-(naphthalen-2-yl)-2-oxoethyl)piperidin | C19H23NO2 | 297.17 | 180 | 214 | 181 | 9.58 | show | OTQVTBPHZRARTL-UHFFFAOYSA-N | test purchase | GC-RT and MS spectrum refer to HDEP-28-TFA derivative; for more information read the Analytical report | 2015-08-19 | RESPONSE project; 2015-2017 | 1244-15 | |
| Piperidines & pyrrolidines | HDEP-28-thermal-decomposition | ![]() | ethyl 2-(naphthalen-2-yl)-2-(piperidin-2-yl)acetate | ethylnaphtidate, HDEP-28, 2-(2-ethoxy-1-(naphthalen-2-yl)-2-oxoethyl)piperidin | C19H23NO2 | 297.17 | 141 | 214 | 115 | 5.65 | show | OTQVTBPHZRARTL-UHFFFAOYSA-N | test purchase | GC-RT and MS spectrum refers to HDEP-28 decomposition product; for more information read the Analytical report | 2015-08-19 | RESPONSE project; 2015-2017 | 1244-15 | |
| Cannabinoids | AMB-CHMICA | ![]() | methyl 2-{[1-(cyclohexylmethyl)-1H-indol-3-yl]formamido}-3-methylbutanoate | methyl (1-(cyclohexylmethyl)-1H-indole-3-carbonyl)valinate; methyl 2-(1-(cyclohexylmethyl)-1H-indole-3-carbonylamino)-3-methylbutanoate; MMB-CHMICA Cayman (L-stereoisomere defined) | C22H30N2O3 | 370.48 | 240 | 256 | 144 | 13.53 | show | ROWZIXRLVUOMCJ-UHFFFAOYSA-N | test purchase | purchased as MA-CHMINACA; and another one as MAB-CHMINACA | 2015-08-19 | 2015-10-22 | RESPONSE project; 2015-2017 | 1248-15 |
| Cannabinoids | JWH-072-N-carboxy | ![]() | 3-[3-(naphthalene-1-carbonyl)-1H-indol-1-yl]propanoic acid | C22H17NO3 | 343.38 | 270 | 415 | 127 | 16.45 | show | VCRZMEAJRGIGCT-UHFFFAOYSA-N | RM-reference material | for GC-MS compound was derivatized by MSTFA: GC-RT and MS spectrum refer for TMS derivative; | 2015-08-22 | 2015-11-07 | RESPONSE project; 2015-2017 | 1288-15 | |
| Phenethylamines | 25C-NBOH | ![]() | 2-((4-chloro-2,5-dimethoxyphenethylamino)methyl)phenol | 2C-C-NBOH, NBOH-2CC | C17H20ClNO3 | 321.80 | 179.00 | 280 | 73 | 10.74 | show | VHWXICYYQMMZCW-UHFFFAOYSA-N | RM-reference material | for GC-MS compound was derivatized by MSTFA: GC-RT and MS spectrum refer for TMS derivative | 2015-08-22 | 2018-07-15 | RESPONSE project; 2015-2017 | 1217-15 |
| Benzodiazepines | Phenazepam 4-oxide | ![]() | 7-bromo-5-(2-chlorophenyl)-4-hydroxy-3,4-dihydro-2H-1,4-benzodiazepin-2-one | Phenazepam-4-okside (Chiron name), Phenazepam-4-hydroxy | C15H10BrClN2O2 | 365.61 | 286 | 288 | 330 | 13.12 | show | YNKDPCTZJPAZJC-UHFFFAOYSA-N | RM-reference material | 2015-08-22 | 2015-11-07 | RESPONSE project; 2015-2017 | 1236-15 | |
| Phenethylamines | 3-Bromoamphetamine | ![]() | 3-bromo-α-methyl-benzeneethanamine | (DL-) 3-Bromoamphetamine | C9H12BrN | 214.11 | 44 | 89 | 90 | 3.26 | show | ATRSAWXXYCBXLI-UHFFFAOYSA-N | RM-reference material | 2015-08-31 | RESPONSE project; 2015-2017 | 1208-15 | ||
| Cannabinoids | RCS-8 | ![]() | 1-(2-cyclohexylethyl)-3-(2-methoxyphenylacetyl)indole | C25H29NO2 | 375.50 | 254 | 255 | 144 | 16.45 | show | BSQFBMXCQIKYNI-UHFFFAOYSA-N | RM-reference material | 2015-08-31 | RESPONSE project; 2015-2017 | 1232-15 | |||
| Cannabinoids | HU-308 | ![]() | [(1R,2R,5R)-2-[2,6-dimethoxy-4-(2-methyloctan-2-yl)phenyl]-7,7-dimethyl-4-bicyclo[3.1.1]hept-3-enyl] methanol | C27H42O3 | 414.62 | 277 | 353 | 318 | 11.22 | show | CFMRIVODIXTERW-BHIFYINESA-N | RM-reference material | 2015-08-31 | RESPONSE project; 2015-2017 | 1226-15 | |||
| Cannabinoids | 5F-APICA | ![]() | N-(Adamantan-1-yl)-1-(5-fluoropentyl)-1H-indole-3-carboxamide | STS-135 | C24H31FN2O | 382.51 | 232 | 382 | 144 | 17.46 | show | COYHGVCHRRXECF-UHFFFAOYSA-N | RM-reference material | 2015-08-31 | RESPONSE project; 2015-2017 | 1225-15 | ||
| Phenethylamines | 2-Bromomethamphetamine | ![]() | 1-(2-bromophenyl)-n-methylpropan-2-amine | (DL-)2-Bromomethamphetamine | C10H14BrN | 228.13 | 58 | 89 | 169 | 3.48 | show | DKQQZKGGVNMTBO-UHFFFAOYSA-N | RM-reference material | 2015-08-31 | RESPONSE project; 2015-2017 | 1212-15 | ||
| Cannabinoids | JWH-147 | ![]() | (1-hexyl-5-phenyl-1H-pyrrol-3-yl)-1-naphthalenyl-methanone | 1-Hexsyl-3-(naphtoyl)-5-phenyl-pyrrol | C27H27NO | 381.51 | 381 | 155 | 127 | 16.70 | show | FRMYAMAGHYHNKF-UHFFFAOYSA-N | RM-reference material | 2015-08-31 | RESPONSE project; 2015-2017 | 1230-15 | ||
| Cannabinoids | AB-PINACA | ![]() | N-[(1S)-1-(aminocarbonyl)-2-methylpropyl]-1-pentyl-1H-indazole-3-carboxamide | C18H26N4O2 | 330.43 | 215 | 286 | 145 | 11.06 | show | GIMHPAQOAAZSHS-HNNXBMFYSA-N | RM-reference material | 2015-08-31 | 2015-11-05 | RESPONSE project; 2015-2017 | 1221-15 | ||
| Cannabinoids | JWH-020 | ![]() | (1-heptyl-1H-indol-3-yl)-1-naphthalenyl-methanone | 1-heptyl-3-(naphtoyl)indole | C26H27NO | 369.50 | 369 | 284 | 242 | 16.59 | show | IHKDUDCDUKFOKK-UHFFFAOYSA-N | RM-reference material | 2015-08-31 | RESPONSE project; 2015-2017 | 1228-15 | ||
| Cannabinoids | JWH-072 | ![]() | 1-naphthalenyl(1-propyl-1H-indol-3-yl)-methanone | C22H19NO | 313.39 | 313 | 186 | 127 | 13.01 | show | IVLWWVXVWRIXSS-UHFFFAOYSA-N | RM-reference material | 2015-08-31 | RESPONSE project; 2015-2017 | 1229-15 | |||
| Cannabinoids | JWH-018 methylderivate (2-methylnaphthalene | ![]() | (2-methylnaphthalen-1-yl)-(1-pentyl-1H-indol-3-yl)methanone | C25H25NO | 355.47 | 355 | 168 | 298 | 14.25 | show | JFJAWRDBCAFLQA-UHFFFAOYSA-N | RM-reference material | 2015-08-31 | RESPONSE project; 2015-2017 | 1227-15 | |||
| Piperidines & pyrrolidines | Diphenidine | ![]() | 1-(1,2-Diphenylethyl)piperidine | 1,2-diphenylethylpiperidine; AC1L4H21; BRD-A86415025-103-01-7; DPD; 1,2-DEP; DIPH | C19H23N | 265.39 | 174 | 91 | 175 | 7.43 | show | JQWJJJYHVHNXJH-UHFFFAOYSA-N | RM-reference material | 2015-08-31 | RESPONSE project; 2015-2017 | 1238-15 | ||
| Piperazine derivates | 1-(2,5-Dimethoxybenzyl)piperazine | ![]() | 1-(2,5-Dimethoxybenzyl)piperazine | C13H20N2O2 | 236.32 | 151 | 194 | 121 | 6.58 | show | KITIJFNTLBMYQD-UHFFFAOYSA-N | RM-reference material | Typing error corrected. | 2015-08-31 | 2016-03-13 | RESPONSE project; 2015-2017 | 1218-15 | |
| Benzodiazepines | 3-Hydroxyphenazepam | ![]() | 7-Bromo-5-(2-chlorophenyl)-3-hydroxy-1,3-dihydro-2H-1,4-benzodiazepin-2-one | C15H10BrClN2O2 | 365.61 | 320 | 318 | 75 | 9.84 | show | KRJKJUWAZOWXNV-UHFFFAOYSA-N | RM-reference material | 2015-08-31 | RESPONSE project; 2015-2017 | 1235-15 | |||
| Cannabinoids | AM-2233 | ![]() | 1-[(N-methylpiperidin-2-yl)methyl]-3-(2-iodobenzoyl)indole | C22H23IN2O | 458.33 | 98 | 70 | 231 | 16.50 | show | KSLCYQTUSSEGPT-UHFFFAOYSA-N | RM-reference material | 2015-08-31 | RESPONSE project; 2015-2017 | 1224-15 | |||
| Benzodiazepines | Bentazepam | ![]() | 5-phenyl-3,5a,6,7,8,9-hexahydro-2H-[1]benzothieno[2,3-e][1,4]diazepin-2-one | Thiadipone | C17H16N2OS | 296.39 | 267 | 296 | 268 | 11.49 | show | LDKXEWJIVTUBFI-UHFFFAOYSA-N | RM-reference material | 2015-08-31 | RESPONSE project; 2015-2017 | 1234-15 | ||
| Arylcyclohexylamines | Methoxetamine(MXE) | ![]() | (RS)2-(3-methoxyphenyl)-2-(ethylamino)cyclohexanone | C15H21NO2 | 247.33 | 190 | 219 | 134 | 6.47 | show | LPKTWLVEGBNOOX-UHFFFAOYSA-N | RM-reference material | 2015-08-31 | RESPONSE project; 2015-2017 | 1237-15 | |||
| Phenethylamines | 3-Bromomethamphetamine | ![]() | 1-(3-bromophenyl)-n-methylpropan-2-amine | (DL-)3-Bromomethamphetamine | C10H14BrN | 228.13 | 58 | 89 | 90 | 3.58 | show | NJECBXFYELEKOF-UHFFFAOYSA-N | RM-reference material | 2015-08-31 | RESPONSE project; 2015-2017 | 1213-15 | ||
| Others | para-Methyl-4-methylaminorex | ![]() | 4,5-Dihydro-4-methyl-5-(4-methylphenyl)-2-oxazolamine | C11H14N2O | 190.24 | 70 | 43 | 69 | 5.02 | show | NPILLHMQNMXXTL-UHFFFAOYSA-N | RM-reference material | 2015-08-31 | RESPONSE project; 2015-2017 | 1240-15 | |||
| Phenethylamines | 2-Methoxymethamphetamine | ![]() | 1-(2-methoxyphenyl)-N-methyl-propan-2-amine | C11H17NO | 179.26 | 58 | 91 | 78 | 3.09 | show | OEHAYUOVELTAPG-UHFFFAOYSA-N | RM-reference material | 2015-08-31 | RESPONSE project; 2015-2017 | 1215-15 | |||
| Piperidines & pyrrolidines | Prolintane | ![]() | 1-(1-Benzylbutyl)pyrrolidine | C15H23N | 217.35 | 126 | 127 | 91 | 4.75 | show | OJCPSBCUMRIPFL-UHFFFAOYSA-N | RM-reference material | 2015-08-31 | RESPONSE project; 2015-2017 | 1241-15 | |||
| Piperazine derivates | 1-(3-Methoxyphenyl)piperazine | ![]() | 1-(3-Methoxyphenyl)piperazine | C11H16N2O | 192.26 | 150 | 192 | 135 | 5.59 | show | PZIBVWUXWNYTNL-UHFFFAOYSA-N | RM-reference material | 2015-08-31 | RESPONSE project; 2015-2017 | 1219-15 | |||
| Others | Methoxphenidine | ![]() | 1-[1-(2-methoxyphenyl)-2-phenylethyl]piperidine | MXP, 2-MXD, 2-MeO-Diphenidine | C20H25NO | 295.42 | 204 | 205 | 91 | 8.22 | show | QXXCUXIRBHSITD-UHFFFAOYSA-N | RM-reference material | 2015-08-31 | RESPONSE project; 2015-2017 | 1239-15 | ||
| Phenethylamines | 4-Bromomethamphetamine | ![]() | 1-(4-bromophenyl)-n-methylpropan-2-amine | C10H14BrN | 228.13 | 58 | 89 | 90 | 3.67 | show | RHHFGACRACGCQS-UHFFFAOYSA-N | RM-reference material | 2015-08-31 | RESPONSE project; 2015-2017 | 1214-15 | |||
| Phenethylamines | 4-Bromoamphetamine | ![]() | 4-bromo-α-methyl-benzeneethanamine | C9H12BrN | 214.11 | 44 | 89 | 90 | 3.34 | show | SMNXUMMCCOZPPN-UHFFFAOYSA-N | RM-reference material | 2015-08-31 | RESPONSE project; 2015-2017 | 1209-15 | |||
| Piperazine derivates | 1-(2,3,4-Trimethoxybenzyl)piperazine | ![]() | 1-(2,3,4-trimethoxybenzyl)piperazine | trimetazidine | C14H22N2O3 | 266.34 | 181 | 85 | 166 | 7.09 | show | UHWVSEOVJBQKBE-UHFFFAOYSA-N | RM-reference material | 2015-08-31 | RESPONSE project; 2015-2017 | 1220-15 | ||
| Phenethylamines | 2-Methoxyamphetamine | ![]() | 1-(2-methoxyphenyl)propan-2-amine | C10H15NO | 165.23 | 44 | 91 | 122 | 2.85 | show | VBAHFEPKESUPDE-UHFFFAOYSA-N | RM-reference material | 2015-08-31 | RESPONSE project; 2015-2017 | 1210-15 | |||
| Phenethylamines | 3-Methoxyamphetamine | ![]() | 1-(3-methoxyphenyl)propan-2-amine | C10H15NO | 165.23 | 44 | 91 | 122 | 3.01 | show | VEJWNIYARKAHFI-UHFFFAOYSA-N | RM-reference material | 2015-08-31 | RESPONSE project; 2015-2017 | 1211-15 | |||
| Phenethylamines | 2-Bromoamphetamine | ![]() | 2-bromo-α-methyl-benzeneethanamine | (DL-) 2-Bromoamphetamine | C9H12BrN | 214.11 | 44 | 89 | 90 | 3.16 | show | VGJBPBDFJNFFRO-UHFFFAOYSA-N | RM-reference material | 2015-08-31 | RESPONSE project; 2015-2017 | 1207-15 | ||
| Cannabinoids | 5F-AB-PINACA | ![]() | N-[(1S)-1-(aminocarbonyl)-2-methylpropyl]-1-(5-fluoropentyl)-1H-indazole-3-carboxamide | AB-PINACA 5-fluoro | C18H25FN4O2 | 348.42 | 233 | 304 | 145 | 11.76 | show | WCBYXIBEPFZUBG-HNNXBMFYSA-N | RM-reference material | 2015-08-31 | RESPONSE project; 2015-2017 | 1222-15 | ||
| Cathinones | 4-Hydroxymethcathinone | ![]() | 1-(4-hydroxy-phenyl)-2-methylamino-propan-1-one | C10H13NO2 | 179.22 | 58 | 121 | 39 | 4.97 | show | WYLPQOVNOVHCLO-UHFFFAOYSA-N | RM-reference material | 2015-08-31 | RESPONSE project; 2015-2017 | 1216-15 | |||
| Cannabinoids | UR-144-N-(4-Hydroxypentyl)-metabolite | ![]() | (1-(4-hydroxypentyl)-1H-indol-3-yl)(2,2,3,3-tetramethylcyclopropyl)methanone | C21H29NO2 | 327.46 | 230 | 144 | 312 | 10.84 | show | YHFHYHZNLCEAAP-UHFFFAOYSA-N | RM-reference material | 2015-08-31 | RESPONSE project; 2015-2017 | 1233-15 | |||
| Phenethylamines | Acetylamphetamine | ![]() | N-(1-Methyl-2-phenylethyl)acetamide | DL-Acetylamphetamine | C11H15NO | 177.24 | 44 | 86 | 118 | 3.73 | show | YPKBVWZHVTZSPU-UHFFFAOYSA-N | RM-reference material | 2015-08-31 | RESPONSE project; 2015-2017 | 1206-15 | ||
| Arylcyclohexylamines | Ketamine | ![]() | (RS)-2-(2-Chlorophenyl)-2-(methylamino)cyclohexanone | C13H16ClNO | 237.73 | 180 | 182 | 209 | 6.27 | show | YQEZLKZALYSWHR-UHFFFAOYSA-N | RM-reference material | 2015-08-31 | RESPONSE project; 2015-2017 | 1242-15 | |||
| Cannabinoids | A-796260 | ![]() | [1-(2-morpholin-4-ylethyl)-1H-indol-3-yl]-(2,2,3,3-tetramethylcyclopropyl)methanone | LTI-258 | C22H30N2O2 | 354.49 | 100 | 114 | 101 | 12.05 | show | ZCFHOMLAFTWDFM-UHFFFAOYSA-N | RM-reference material | 2015-08-31 | RESPONSE project; 2015-2017 | 1223-15 | ||
| Arylcyclohexylamines | 3-MEO-PCP | ![]() | 1-[1-(3-methoxyphenyl)cyclohexyl]-piperidine | C18H27NO | 273.42 | 230 | 272 | 273 | 7.87 | show | BQQSZHHKGPOXLN-UHFFFAOYSA-N | test purchase | 2015-09-02 | 2015-11-06 | RESPONSE project; 2015-2017 | 1262-15 | ||
| Arylalkylamines | 5-MBPB | ![]() | 1-(benzofuran-5-yl)-N-methylbutan-2-amine | 5-MBPB | C13H17NO | 203.28 | 72 | 131 | 77 | 4.61 | show | CTEZPBCLIKEASW-UHFFFAOYSA-N | test purchase | 2015-09-02 | 2015-11-03 | RESPONSE project; 2015-2017 | 1260-15 | |
| Opioids | 4-MEO-BF | ![]() | N-(4-methoxyphenyl)-N-(1-phenethylpiperidin-4-yl)butyramide | C24H32N2O2 | 380.53 | 289 | 176 | 219 | 13.46 | show | FNVSEQCPMXWQKG-UHFFFAOYSA-N | test purchase | 2015-09-02 | 2015-11-05 | RESPONSE project; 2015-2017 | 1263-15 | ||
| Cathinones | 4-MEO-PVP | ![]() | 1-(4-methoxyphenyl)-2-(pyrrolidin-1-yl)pentan-1-one | C16H23NO2 | 261.36 | 126 | 127 | 135 | 7.39 | show | HWYVHRCKBXGZLV-UHFFFAOYSA-N | test purchase | 2015-09-02 | 2015-11-02 | RESPONSE project; 2015-2017 | 1268-15 | ||
| Indolalkylamines (fe tryptamines) | 4-HO-MET | ![]() | 3-(2-(ethyl(methyl)amino)ethyl)-1H-indol-4-ol | 4-hydroxy-N-methyl-N-ethyltryptamine | C13H18N2O | 218.30 | 72 | 218 | 146 | 7.51 | show | ORWQBKPSGDRPPA-UHFFFAOYSA-N | test purchase | substantial amount of fumaric acid detected | 2015-09-02 | 2015-12-01 | RESPONSE project; 2015-2017 | 1267-15 |
| Arylalkylamines | 5-MAPDB | ![]() | 1-(2,3-dihydrobenzofuran-5-yl)-N-methylpropan-2-amine | 5-MAPDB | C12H17NO | 191.27 | 58 | 134 | 133 | 4.51 | show | PLQTZOCLUHHCOI-UHFFFAOYSA-N | test purchase | 2015-09-02 | 2015-11-02 | RESPONSE project; 2015-2017 | 1264-15 | |
| Opioids | 4F-BF | ![]() | 1-((4-fluorophenyl)(1-phenethylpiperidin-4-yl)amino)butan-1-one | 4F-BF/4-fluoro-butyrfentanyl | C23H29FN2O | 368.49 | 277 | 164 | 207 | 11.29 | show | QZFMCYUBPSLOBP-UHFFFAOYSA-N | test purchase | pure by GC,HPLC, organic impurities detected by NMR | 2015-09-02 | 2015-12-02 | RESPONSE project; 2015-2017 | 1259-15 |
| Benzodiazepines | FLUBROMAZOLAM | ![]() | 8-bromo-6-(2-fluorophenyl)-1-methyl-4H-[1,2,4]triazolo[4,3-a][1,4]benzodiazepine | C17H12BrFN4 | 371.21 | 222 | 343 | 341 | 13.20 | show | VXGSZBZQCBNUIP-UHFFFAOYSA-N | test purchase | 2015-09-02 | 2015-11-06 | RESPONSE project; 2015-2017 | 1265-15 | ||
| Cannabinoids | 5F-MN-18 | ![]() | 1-(5-fluoropentyl)-N-(naphthalen-1-yl)-1H-indazole-3-carboxamide | 5F-MN-18, 5-fluoro-MN-18, AM-2201 indazole carboxamide analogue | C23H22FN3O | 375.44 | 233 | 145 | 375 | 17.62 | show | XBSWUIWDRFCAGZ-UHFFFAOYSA-N | test purchase | CORRECTION: Incorrect identification data (substance reported as 5F-PCN) was removed at 10th March 2016. Sample was purchased as 5F-ADB. | 2015-09-02 | 2016-03-22 | RESPONSE project; 2015-2017 | 1261-15 |
| Cannabinoids | 5F-AMB | ![]() | methyl 2-(1-(5-fluoropentyl)-1H-indazole-3-carboxamido)-3-methylbutanoate | 5F-AMP | C19H26FN3O3 | 363.43 | 233 | 304 | 145 | 10.49 | show | SAFXSUZMRLTBMM-UHFFFAOYSA-N | test purchase | purchased as FUB144 | 2015-09-10 | 2015-11-03 | RESPONSE project; 2015-2017 | 1269-15 |
| Cannabinoids | 5F-APP-PICA_(PX1) | ![]() | N-(1-amino-1-oxo-3-phenylpropan-2-yl)-1-(5-fluoropentyl)-1H-indole-3-carboxamide | PX1 | C23H26FN3O2 | 395.47 | 232 | 144 | 248 | 18.47 | show | DDVANTXQCRMRFF-UHFFFAOYSA-N | test purchase | purchased as 5F-APP-PINACA | 2015-09-16 | 2015-12-14 | RESPONSE project; 2015-2017 | 1271-15 |
| Cannabinoids | 5F-APP-PICA(PX1)-see ID-1271-15 | ![]() | N-(1-amino-1-oxo-3-phenylpropan-2-yl)-1-(5-fluoropentyl)-1H-indole-3-carboxamide | PX1 | C23H26FN3O2 | 395.47 | 232 | 144 | 248 | 18.54 | show | DDVANTXQCRMRFF-UHFFFAOYSA-N | test purchase | analytical results were identical as for ID: 1271-15 (see the analytical report there) | 2015-09-16 | RESPONSE project; 2015-2017 | 1270-15 | |
| Cathinones | 5-PPDi | ![]() | 1-(2,3-dihydro-1H-inden-5-yl)-2-(pyrrolidin-1-yl)butan-1-one | C17H23NO | 257.37 | 112 | 113 | 115 | 7.73 | show | HLBROWUOAAQHCM-UHFFFAOYSA-N | test purchase | 2015-09-30 | RESPONSE project; 2015-2017 | 1205-15 | |||
| Arylalkylamines | MPA-Methiopropamine | ![]() | N-Methyl-1-(thiophen-2-yl)propan-2-amine | MPA, methylthienylpropamine | C8H13NS | 155.26 | 58 | 97 | 56 | 2.37 | show | HPHUWHKFQXTZPS-UHFFFAOYSA-N | test purchase | 2015-09-30 | RESPONSE project; 2015-2017 | 1194-15 | ||
| Cannabinoids | 5F-PY-PICA | ![]() | 1-(5-fluoropentyl)-3-(pyrrolidine-1-carbonyl)-1H-indole | (1-(5-fluoropentyl)-1H-indol-3-yl)(pyrrolidin-1-yl)methanone | C18H23FN2O | 302.39 | 232 | 144 | 302 | 11.45 | show | AJOAHRJLOXOZKX-UHFFFAOYSA-N | test purchase | sample was purchased as 5F-AMP-indole [(N-(cyclopropylmethyl)-1-(5-fluoropentyl)-1H-indole-3-carboxamide] | 2015-10-04 | 2015-12-02 | RESPONSE project; 2015-2017 | 1281-15 |
| Cannabinoids | APP-CHMINACA_(PX3) | ![]() | N-(1-amino-1-oxo-3-phenylpropan-2-yl)-1-(cyclohexylmethyl)-1H-indazole-3-carboxamide | PX3 | C24H28N4O2 | 404.50 | 241.1 | 145 | 360 | 18.45 | show | DMHWDSGURMXMGE-UHFFFAOYSA-N | test purchase | compound is not pure | 2015-10-04 | 2016-01-04 | RESPONSE project; 2015-2017 | 1280-15 |
| Benzodiazepines | ADINAZOLAM | ![]() | 1-(8-chloro-6-phenyl-4H-[1,2,4]triazolo[4,3-a][1,4]benzodiazepin-1-yl)-N,N-dimethylmethanamine | Adinazolamum; Deracyn | C19H18ClN5 | 351.83 | 308 | 310 | 309 | 13.47 | show | GJSLOMWRLALDCT-UHFFFAOYSA-N | test purchase | Compound is not pure by NMR, contains a minor amount of organic ipurities | 2015-10-04 | 2015-12-09 | RESPONSE project; 2015-2017 | 1277-15 |
| Cathinones | NEB | ![]() | 2-(ethylamino)-1-phenylbutan-1-one | N-ethyl buphedrone | C12H17NO | 191.47 | 86 | 77 | 58 | 3.55 | show | HEPVRDHGUWFXJS-UHFFFAOYSA-N | test purchase | pure by GC-MS, HPLC-TOF, not pure by NMR - see analytical report | 2015-10-04 | 2015-12-12 | RESPONSE project; 2015-2017 | 1287-15 |
| Cathinones | alpha-PHP | ![]() | 1-phenyl-2-(pyrrolidin-1-yl)hexan-1-one | α-PHP, alpha-PHP, α-Pyrrolidinohexanophenone, PV-7 | C16H23NO | 245.36 | 140 | 141 | 77 | 6.23 | show | KYIJLDDXQWBNGX-UHFFFAOYSA-N | test purchase | 2015-10-04 | 2016-12-08 | RESPONSE project; 2015-2017 | 1283-15 | |
| Cathinones | TH-PVP | ![]() | 2-(pyrrolidin-1-yl)-1-(5,6,7,8-tetrahydronaphthalen-2-yl)pentan-1-one | C19H27NO | 285.43 | 126 | 127 | 91 | 8.79 | show | MMIKQWIZKBYLKZ-UHFFFAOYSA-N | test purchase | 2015-10-04 | 2016-12-08 | RESPONSE project; 2015-2017 | 1278-15 | ||
| Cathinones | 4-Cl-PVP | ![]() | 1-(4-chlorophenyl)-2-(pyrrolidin-1-yl)pentan-1-one | C15H20ClNO | 265.78 | 126 | 127 | 111 | 6.75 | show | NIGBFBTVONRYQN-UHFFFAOYSA-N | test purchase | purchased as 4-MeO-PV9 | 2015-10-04 | 2016-12-08 | RESPONSE project; 2015-2017 | 1279-15 | |
| Cathinones | 4F-NPP | ![]() | 1‐(4‐fluorophenyl)‐2‐[(propan‐2‐yl)amino]pentan‐1‐one | F-NPP | C14H20FNO | 237.31 | 114 | 72 | 30 | 4.04 | show | OWNVSTVTZITAOJ-UHFFFAOYSA-N | test purchase | Purchased as NPP; compound is not pure by NMR-inpurity cca 25% - (possibly isopropyl amine) | 2015-10-04 | 2015-12-12 | RESPONSE project; 2015-2017 | 1284-15 |
| Cannabinoids | FUB-PB22 | ![]() | 1-[(4-fluorophenyl)methyl]-1H-indole-3-carboxylic acid, 8-quinolinyl ester | C25H17FN2O2 | 396.41 | 109 | 252 | 253 | 18.92 | show | ROHVURVXAOMRJY-UHFFFAOYSA-N | test purchase | purchased as FDU-PB22 | 2015-10-04 | 2015-12-12 | RESPONSE project; 2015-2017 | 1286-15 | |
| Benzodiazepines | CLONAZOLAM | ![]() | 6-(2-chlorophenyl)-1-methyl-8-nitro-4H-s-triazolo(4,3-a)-(1,4)-benzodiazepine | clontrazolam | C17H12ClN5O2 | 353.77 | 324 | 203 | 249 | 15.71 | show | XJRGLCAWBRZUFC-UHFFFAOYSA-N | test purchase | 2015-10-04 | 2015-12-12 | RESPONSE project; 2015-2017 | 1282-15 | |
| Benzodiazepines | Flubromazepam | ![]() | 7-bromo-5-(2-fluorophenyl)-1,3-dihydro-2H-1,4-benzodiazepin-2-one | C15H10BrFN2O | 333.15 | 304 | 303 | 305 | 9.99 | show | ZRKDDZBVSZLOFS-UHFFFAOYSA-N | test purchase | 2015-10-05 | RESPONSE project; 2015-2017 | 1192-15 | |||
| Others | Phenetrazine | ![]() | 3‐ethyl‐2‐phenylmorpholine | C12H17NO | 191.27 | 56 | 85 | 70 | 3.99 | show | DOMAVIHZFHQQHF-UHFFFAOYSA-N | test purchase | 2015-10-14 | 2015-12-12 | RESPONSE project; 2015-2017 | 1289-15 | ||
| Others | 3F-Phenetrazine | ![]() | 3-ethyl-2-(3-fluorophenyl)morpholine | C12H16FNO | 209.26 | 56 | 85 | 70 | 3.96 | show | GPTHUZORYIVVNJ-UHFFFAOYSA-N | test purchase | 2015-10-14 | 2016-10-25 | RESPONSE project; 2015-2017 | 1292-15 | ||
| Others | N-ethylphenmetrazol(NMR-ok;final report pending) | ![]() | 4‐ethyl‐3‐methyl‐2‐phenylmorpholin‐2‐ol | C13H19NO2 | 221.30 | 116 | 56 | 77 | 5.36 | show | KUUJFIZDDLCPNF-UHFFFAOYSA-N | test purchase | small additional peak with the same exact mass -posibly isomeric form of the same compound (by HPLC TOF), isomeric form detected by NMR as well; GC-MS-FTIR (two peaks) infers on open and closed form of substance | 2015-10-14 | 2015-12-10 | RESPONSE project; 2015-2017 | 1290-15 | |
| Others | Isophenmetrazine | ![]() | 5-methyl-2-phenylmorpholine | C11H15NO | 177.25 | 104 | 147 | 105 | 3.63 | show | LQHGEOIBMBXJGV-UHFFFAOYSA-N | test purchase | 2015-10-14 | RESPONSE project; 2015-2017 | 1293-15 | |||
| Others | 4-MPH_(Mephenmetrazine) | ![]() | 3-methyl-2(p-tolyl)morpholine | 3-methyl-2-(4-methylphenyl)morpholine, 4-MPM, mephenmetrazine, 4-methylphenmetrazine | C12H17NO | 191.27 | 71 | 42 | 56 | 4.14 | show | NWNCIXFIIDVRKE-UHFFFAOYSA-N | test purchase | source II | 2015-10-14 | RESPONSE project; 2015-2017 | 1294-15 | |
| Others | 2-MeO-diphenidine | ![]() | 1-(1-(2-methoxyphenyl)-2-phenylethyl)piperidine | Methoxphenidine, MXP | C20H25NO | 295.42 | 204 | 188 | 91 | 8.25 | show | QXXCUXIRBHSITD-UHFFFAOYSA-N | test purchase | 2015-10-14 | RESPONSE project; 2015-2017 | 1195-15 | ||
| Cannabinoids | MDMB-CHMICA | ![]() | methyl 2-{[1-(cyclohexylmethyl)-1H-indol-3-yl]formamido}-3,3-dimethylbutanoate; | N-[[1-(cyclohexylmethyl)-1H-indol-3-yl]carbonyl]-3-methyl-valine, methyl ester; methyl (2S)-2-{[1-(cyclohexylmethyl)-1H-indol-3-yl]formamido}-3,3-dimethylbutanoate (stereochemistry defined) | C23H32N2O3 | 384.50 | 240 | 144 | 241 | 13.79 | show | SRJKCVHWIDFUBO-UHFFFAOYSA-N | test purchase | purchased as MMB- CHMINACA; few % of unidentified organic compound by NMR; 2017 - minor corrections of entry and report (see report) | 2015-10-14 | 2017-05-18 | RESPONSE project; 2015-2017 | 1190-15 |
| Piperidines & pyrrolidines | Propylphenidate | ![]() | Propyl-2-phenyl-2-(piperidin-2-yl)acetate | 2-(2-oxo-1-phenyl-2-propoxyethyl)piperidin | C16H23NO2 | 261.37 | 84 | 91 | 56 | 6.41 | show | PRMWWEANNQSWAR-UHFFFAOYSA-N | test purchase | 2015-10-20 | RESPONSE project; 2015-2017 | 1246-15 | ||
| Cathinones | NEB-Inden-Analog_(bk-IBP) | 1-(2,3-dihydro-1H-inden-5-yl)-2-(ethylamino)butan-1-one | N-ethylbuphedrone-indene-analogue; bk-iBP, bk-EABDI | C15H21NO | 231.33 | 86 | 115 | 58 | 6.29 | show | VJXZPPKMTRTYIH-UHFFFAOYSA-N | test purchase | purchased as bk-IVP | 2015-10-20 | RESPONSE project; 2015-2017 | 1247-15 | ||
| Benzodiazepines | Pyrazolam | ![]() | 12-bromo-3-methyl-9-(pyridin-2-yl)-2,4,5,8-tetraazatricyclo[8.4.0.0²,⁶]tetradeca-1(14),3,5,8,10,12-hexaene | 1-methyl[1,2,4]triazo-6-(2-pyridinyl)-8-bromo-1,4-benzodiazepine | C16H12BrN5 | 354.21 | 274 | 353 | 355 | 13.61 | show | BGRWSFIQQPVEML-UHFFFAOYSA-N | test purchase | comfirmed by HPLC-TOF and GC-MS | 2015-10-25 | RESPONSE project; 2015-2017 | 1355-15 | |
| Aminoindanes | N-Methyl-2AI | ![]() | N-methyl-2,3-dihydro-1H-inden-2-amine | NM-2AI, N-methyl-2-aminoindane | C10H13N | 147.22 | 147 | 42 | 106 | 2.73 | show | SXWZQUCTTOBHJT-UHFFFAOYSA-N | test purchase | 2015-10-25 | 2015-12-03 | RESPONSE project; 2015-2017 | 1349-15 | |
| Indolalkylamines (fe tryptamines) | 1P-LSD | ![]() | N,N-diethyl-7-methyl-4-propanoyl-6,6a,8,9-tetrahydroindolo[4,3-fg]quinoline-9-carboxamide | C23H29N3O2 | 379.22 | 379 | 277 | 221 | 17.72 | show | JSMQOVGXBIDBIE-UHFFFAOYSA-N | test purchase | 2015-10-28 | RESPONSE project; 2015-2017 | 1322-15 | |||
| Cathinones | 4F-PBP | ![]() | 1-(4-fluorophenyl)-2-(1-pyrrolidinyl)-1-butanone | C14H18FNO | 235.30 | 112 | 95 | 113 | 4.93 | show | BYMOJFLMEMTDDX-UHFFFAOYSA-N | collected | 2015-11-05 | SPL Portugal,analytically confirmed sample; see: http://www.sciencedirect.com/science/article/pii/S0379073815001942 | 1295-15 | |||
| Cannabinoids | 5F-PY-PINACA | ![]() | [1-(5-fluoropentyl)indazol-3-yl]-pyrrolidin-1-yl-methanone | C17H22FN3O | 303.37 | 70 | 131 | 145 | 10.41 | show | GSCLIRQNUBFUJA-UHFFFAOYSA-N | collected | 2015-11-05 | 2015-01-06 | Swedish National Forensic Centre (NMR confirmed sample) | 1258-15 | ||
| Cannabinoids | EMB-FUBINACA | ![]() | Ethyl 2-[[1-[(4-fluorophenyl)methyl]indazole-3-carbonyl]amino]-3-methyl-butanoate | Ethyl (1-(4-fluorobenzyl)-1H-indazole-3-carbonyl)valinate | C22H24FN3O3 | 397.44 | 253 | 109 | 324 | 12.02 | show | YOECWCNJGHHTMN-UHFFFAOYSA-N | collected | 2015-11-05 | Swedish National Forensic Centre (NMR confirmed sample) | 1257-15 | ||
| Cannabinoids | 5F-EMB-PINACA | ![]() | Ethyl 2-[[1-(5-fluoropentyl)indazole-3-carbonyl]amino]-3-methyl-butanoate | C20H28FN3O3 | 377.46 | 233 | 304 | 145 | 10.79 | show | YWSYUMWEKPNAHT-UHFFFAOYSA-N | collected | 2015-11-05 | Swedish National Forensic Centre (NMR confirmed sample) | 1256-15 | |||
| Cathinones | 4F-PHP | ![]() | 1-(4-fluorophenyl)-2-(pyrrolidin-1-yl)hexan-1-one | C16H22FNO | 263.40 | 140 | 141 | 95 | 6.04 | show | BCJXLSGKMNRRKO-UHFFFAOYSA-N | test purchase | Mixture with unidentified organic compound - see Analytical report | 2015-11-06 | 2016-12-08 | RESPONSE project; 2015-2017 | 1302-15 | |
| Cannabinoids | THJ-018 | ![]() | 3‐(naphthalene‐1‐carbonyl)‐1‐pentyl‐1H‐indazole | naphthalen-1yl-(1-pentyl-1H-indazol-3-yl)-methanone; JWH 018 indazole analog | C23H22N2O | 342.40 | 127 | 271 | 342 | 13.04 | show | VAKGBPSFDNTMDJ-UHFFFAOYSA-N | test purchase | Analytical report revised15/01/2018. | 2015-11-06 | 2018-01-15 | RESPONSE project; 2015-2017 | 1298-15 |
| Others | PhenMetEtrazine-precursor | ![]() | 2‐[ethyl(2‐hydroxyethyl)amino]‐1‐phenylpropan‐1‐ol | C13H21NO2 | 223.32 | 116 | 117 | 72 | 5.69 | show | PIQWNMHHXJMHFQ-UHFFFAOYSA-N | test purchase | NEW Analytical report issued 08/03/2016; Sample was purchased as Phenmetetrazine; Typing error in pdf file corrected 09/08/2016. | 2015-11-17 | 2016-08-09 | RESPONSE project; 2015-2017 | 1291-15 | |
| Cannabinoids | MO-CHMINACA | ![]() | 1-methoxy-3,3-dimethyl-1-oxobutan-2-yl 1-(cyclohexylmethyl)-1H-indazole-3-carboxylate | MO-AMB | C22H30N2O4 | 386.50 | 257 | 241 | 145 | 11.04 | show | SUEOBRAXHJBVGY-UHFFFAOYSA-N | RM-reference material | 2015-11-17 | RESPONSE project; 2015-2017 | 1366-15 | ||
| Cannabinoids | LH-21 | ![]() | 5-(4-chlorophenyl)-1-(2,4-dichlorophenyl)-3-hexyl-1H-1,2,4-triazole | C20H20Cl3N3 | 408.75 | 337 | 339 | 124 | 11.66 | show | USJFDADYVUDVAX-UHFFFAOYSA-N | RM-reference material | 2015-11-17 | 2018-05-28 | RESPONSE project; 2015-2017 | 1367-15 | ||
| Cannabinoids | ADB-PINACA-isomer3 | ![]() | (S)-N-(1-amino-1-oxohexan-2-yl)-1-pentyl-1H-indazole-3-carboxamide | C19H28N4O2 | 344.50 | 215 | 300 | 145 | 12.02 | show | BIAATZFCIKCULE-HNNXBMFYSA-N | RM-reference material | 2015-11-18 | RESPONSE project; 2015-2017 | 1369-15 | |||
| Cannabinoids | 5-Fluoropentyl-3-pyridinoylindole | ![]() | (1-(5-fluoropentyl)-1H-indol-3-yl)(pyridin-3-yl)methanone | C19H19FN2O | 310.36 | 235 | 310 | 232 | 11.72 | show | CNMQLCYLJPWHEW-UHFFFAOYSA-N | RM-reference material | 2015-11-18 | RESPONSE project; 2015-2017 | 1372-15 | |||
| Cannabinoids | SDB-005 | ![]() | naphthalen-1-yl 1-pentyl-1H-indazole-3-carboxylate | C23H22N2O2 | 358.40 | 215 | 145 | 216 | 14.61 | show | JBVNFKZVDLFOAY-UHFFFAOYSA-N | RM-reference material | 2015-11-18 | RESPONSE project; 2015-2017 | 1361-15 | |||
| Piperidines & pyrrolidines | Diphenidine | ![]() | 1-(1,2-Diphenylethyl)piperidine | C19H23N | 265.39 | 174 | 91 | 175 | 7.43 | show | JQWJJJYHVHNXJH-UHFFFAOYSA-N | RM-reference material | 2015-11-18 | RESPONSE project; 2015-2017 | 1374-15 | |||
| Phenethylamines | 2C-TFM | ![]() | 2,5-dimethoxy-4-(trifluoromethyl)-benzeneethanamine | 2C-CF3 | C11H14F3NO2 | 249.23 | 220 | 201 | 205 | 3.90 | show | LYXGNMLWYONZID-UHFFFAOYSA-N | RM-reference material | 2015-11-18 | RESPONSE project; 2015-2017 | 1373-15 | ||
| Cannabinoids | FUB-NPB-22 | ![]() | quinolin-8-yl 1-(4-fluorobenzyl)-1H-indazole-3-carboxylate | 5-fluoro NIN; FUB-PB-22 indazole analog | C24H16FN3O2 | 397.40 | 109 | 253 | 254 | 17.74 | show | NYHGKZZRRCVGAU-UHFFFAOYSA-N | RM-reference material | 2015-11-18 | RESPONSE project; 2015-2017 | 1359-15 | ||
| Cannabinoids | ADB-PINACA-isomer-2 | ![]() | N-((2S,3S)-1-amino-3-methyl-1-oxopentan-2-yl)-1-pentyl-1H-indazole-3-carboxamide | C19H28N4O2 | 344.50 | 215 | 300 | 145 | 11.64 | show | QFGOKLQWEVQXAP-BBRMVZONSA-N | RM-reference material | 2015-11-18 | RESPONSE project; 2015-2017 | 1371-15 | |||
| Cannabinoids | MDMB-FUBINACA | ![]() | methyl (S)-2-(1-(4-fluorobenzyl)-1H-indazole-3-carboxamido)-3,3-dimethylbutanoate | FUB-MDMB; MDMB-Bz-F | C22H24FN3O3 | 397.40 | 109 | 253 | 341 | 11.75 | show | RFCDVEHNYDVCMU-LJQANCHMSA-N | RM-reference material | 2015-11-18 | RESPONSE project; 2015-2017 | 1364-15 | ||
| Cannabinoids | 5-fluoro-ADB-PINACA | ![]() | N-(1-amino-3,3-dimethyl-1-oxobutan-2-yl)-1-(5-fluoropentyl)-1H-indazole-3-carboxamide | C19H27FN4O2 | 362.50 | 233 | 318 | 145 | 11.86 | show | SOYDDJYBRCNNIT-UHFFFAOYSA-N | RM-reference material | 2015-11-18 | RESPONSE project; 2015-2017 | 1363-15 | |||
| Cannabinoids | 3-CAF | ![]() | naphthalen-2-yl 1-(2-fluorophenyl)-1H-indazole-3-carboxylate | C24H15FN2O2 | 382.40 | 239 | 240 | 210 | 17.47 | show | VBZWFDNXUJTAGG-UHFFFAOYSA-N | RM-reference material | 2015-11-18 | RESPONSE project; 2015-2017 | 1360-15 | |||
| Cannabinoids | AB-PINACA-N-(2-fluoropentyl)-isomer | ![]() | N-(1-amino-3-methyl-1-oxobutan-2-yl)-1-(2-fluoropentyl)-1H-indazole-3-carboxamide | 2-fluoro AB-PINACA | C18H25FN4O2 | 348.40 | 233 | 304 | 145 | 11.00 | show | VKIBZLGSWZHFJD-UHFFFAOYSA-N | RM-reference material | 2015-11-18 | RESPONSE project; 2015-2017 | 1358-15 | ||
| Cannabinoids | FUB-JWH-018 | ![]() | (1-(4-fluorobenzyl)-1H-indol-3-yl)(naphthalen-1-yl)methanone | C26H18FNO | 379.40 | 109 | 379 | 270 | 17.31 | show | VREQTLWJHFQLEX-UHFFFAOYSA-N | RM-reference material | 2015-11-18 | RESPONSE project; 2015-2017 | 1370-15 | |||
| Phenethylamines | 4-Chloromethamphetamine | ![]() | 4-chloro-N,α-dimethyl-benzeneethanamine | [1‐(4‐chlorophenyl)propan‐2‐yl](methyl)amine; p-CMA; Ro 4-6861; 4-CMA | C10H14ClN | 183.68 | 58 | 125 | 56 | 3.13 | show | XXLWNLKEOWWHDC-UHFFFAOYSA-N | RM-reference material | 2015-11-18 | RESPONSE project; 2015-2017 | 1365-15 | ||
| Phenethylamines | 2-Bromo-4,5-MDMA | ![]() | 1-(6-bromobenzo[d][1,3]dioxol-5-yl)-N-methylpropan-2-amine | 6-bromo MDMA; 2-bromo-4,5-Methylenedioxymethamphetamine | C11H14BrNO2 | 272.14 | 58 | 56 | 75 | 5.73 | show | ZIBHSZQEEWBQLW-UHFFFAOYSA-N | RM-reference material | 2015-11-18 | RESPONSE project; 2015-2017 | 1362-15 | ||
| Aminoindanes | MDAI | ![]() | 2H,5H,6H,7H-indeno[5,6-d][1,3]dioxol-6-amine | 5,6-methylenedioxy-2-aminoindane | C10H11NO2 | 177.20 | 160 | 149 | 177 | 4.31 | show | FQDRMHHCWZAXJM-UHFFFAOYSA-N | test purchase | 2015-11-25 | 2015-12-03 | RESPONSE project; 2015-2017 | 1347-15 | |
| Arylalkylamines | BK-2C-B | 2-amino-1-(4-bromo-2,5-dimethoxyphenyl)ethan-1-one | C10H12BrNO3 | 274.11 | 243 | 245 | 194 | 6.88 | show | HFYJGAIOBIDRPX-UHFFFAOYSA-N | test purchase | Confirmed by GC-MS and-HPLC TOF (MS consistent by SWGDRUG.L) | 2015-11-25 | 2015-12-03 | RESPONSE project; 2015-2017 | 1350-15 | ||
| Arylalkylamines | 5-MeO-DIBF | ![]() | [2-(5-methoxy-1-benzofuran-3-yl)ethyl]bis(propan-2-yl)amine | C17H25NO2 | 275.39 | 114 | 72 | 115 | 7.21 | show | NBFMSQBTYHYVKP-UHFFFAOYSA-N | test purchase | 2015-11-25 | 2015-12-19 | RESPONSE project; 2015-2017 | 1353-15 | ||
| Phenethylamines | DOPR | ![]() | 1-(2,5-dimethoxy-4-propylphenyl)propan-2-amine | C14H23NO2 | 237.34 | 44 | 194 | 165 | 5.40 | show | UEEAUFJYLUJWQJ-UHFFFAOYSA-N | test purchase | 2015-11-25 | 2015-12-19 | RESPONSE project; 2015-2017 | 1377-15 | ||
| Arylcyclohexylamines | 4-methoxy-PCP | ![]() | 1-[1-(4-methoxyphenyl)cyclohexyl]-piperidine | 4-MeO Phencyclidine; Methoxydine; 4-MeO PCP | C18H27NO | 273.41 | 121 | 230 | 189 | 8.08 | show | MUZGGFNYVLGUFS-UHFFFAOYSA-N | RM-reference material | 2015-11-27 | RESPONSE project; 2015-2017 | 1356-15 | ||
| Cannabinoids | AB-FUBINACA-2-fluorobenzyl-isomer | ![]() | N-[(1S)-1-(aminocarbonyl)-2-methylpropyl]-1-[(2-fluorophenyl)methyl]-1H-indazole-3-carboxamide | C20H21FN4O2 | 368.40 | 253 | 109 | 324 | 13.14 | show | AJGUHANHCUPXSK-KRWDZBQOSA-N | RM-reference material | 2015-12-03 | RESPONSE project; 2015-2017 | 1368-15 | |||
| Cannabinoids | ADB-PINACA-isomer-1 | ![]() | N-(1-amino-2,3-dimethyl-1-oxobutan-2-yl)-1-pentyl-1H-indazole-3-carboxamide | C19H28N4O2 | 344.50 | 215 | 300 | 145 | 11.33 | show | WLFSZTSBEOZUTQ-UHFFFAOYSA-N | RM-reference material | 2015-12-03 | RESPONSE project; 2015-2017 | 1357-15 | |||
| Cannabinoids | BB-22 | ![]() | quinolin-8-yl 1-(cyclohexylmethyl)-1H-indole-3-carboxylate | QUCHIC | C25H24N2O2 | 384.47 | 240 | 144 | 241 | 19.38 | show | RHYGTJXOHOGQGI-UHFFFAOYSA-N | test purchase | 2015-12-14 | RESPONSE project; 2015-2017 | 1299-15 | ||
| Cathinones | tBuONE | ![]() | 1‐(2H‐1,3‐benzodioxol‐5‐yl)‐2‐(tert‐butylamino)propan‐1‐one | MDPT | C14H19NO3 | 249.31 | 44 | 100 | 149 | 5.93 | show | BFOZYEAQPUMNIY-UHFFFAOYSA-N | test purchase | Sample was purchased as 5-Methyl-Ethylone | 2015-12-16 | RESPONSE project; 2015-2017 | 1378-15 | |
| Cannabinoids | EG-018 | ![]() | 3‐(naphthalene‐1‐carbonyl)‐9‐pentyl‐9H‐carbazole | C28H25NO | 391.20 | 334 | 391 | 127 | 20.61 | show | FJMMDJDPNLZYLA-UHFFFAOYSA-N | test purchase | Purchased as EG-2201 (and another one, of the same chemical characteristic as EG-018 ) | 2015-12-16 | RESPONSE project; 2015-2017 | 1379-15 | ||
| Others | CRL-40941 | ![]() | 2-[bis(4-fluorophenyl)methylsulfinyl]-N-hydroxyacetamide | Fladrafinil, Fluorafinil | C15H13F2NO3S | 325.33 | 203 | 183 | 201 | 9.78 | show | VKGUUSVYPXTWMA-UHFFFAOYSA-N | test purchase | impurities (see Analytical report); report corrected 21/012/2016 | 2015-12-16 | 2016-02-21 | RESPONSE project; 2015-2017 | 1321-15 |
| Piperidines & pyrrolidines | 4F-MPH | ![]() | methyl 2-(4-fluorophenyl)-2-(2-piperidyl)acetate | 4-fluoromethylphenidate | C14H18FNO2 | 251.30 | 84 | 109 | 56 | 5.30 | show | XISBAJBPDVRSPG-UHFFFAOYSA-N | test purchase | At least two isomers + impurity | 2015-12-16 | 2016-01-04 | RESPONSE project; 2015-2017 | 1352-15 |
| Phenethylamines | 25C-NBF | ![]() | [2-(4-chloro-2,5-dimethoxyphenyl)ethyl][(2-fluorophenyl)methyl]amine | C17H19ClFNO2 | 323.79 | 109 | 138 | 186 | 9.11 | show | AHIUIEOLKNDLSC-UHFFFAOYSA-N | test purchase | 2015-12-18 | 2016-02-22 | RESPONSE project; 2015-2017 | 1385-15 | ||
| Cannabinoids | FUB-AMB | ![]() | methyl (2S)-2-({1-[(4-fluorophenyl)methyl]-1H-indazol-3-yl}formamido)-3-methylbutanoate | methyl(1-(4-fluorobenzyl)-1H- indazole-3-carbonyl)-L-valinate; AMB-FUBINACA | C21H22FN3O3 | 383.42 | 109 | 253 | 324 | 11.57 | show | FRFFLYJQPCIIQB-SFHVURJKSA-N | test purchase | 2015-12-18 | RESPONSE project; 2015-2017 | 1387-15 | ||
| Cathinones | 4-MDMC | ![]() | 2‐(dimethylamino)‐1‐(4‐methylphenyl)propan‐1‐one | 4-Methyl-N,N-dimethylcathinone; | C12H17NO | 191.27 | 72 | 91 | 42 | 3.74 | show | FXLSIGLYVVJURY-UHFFFAOYSA-N | test purchase | Purchased as2-NMC (N,2-dimethyl-N-(4-methylphenyl)propanamide) | 2015-12-18 | 2015-01-15 | RESPONSE project; 2015-2017 | 1382-15 |
| Opioids | FU-F | ![]() | N-phenyl-N-[1-(2-phenylethyl)piperidin-4-yl]furan-2-carboxamide | C24H26N2O2 | 374.48 | 283 | 95 | 240 | 13.70 | show | FZJVHWISUGFFQV-UHFFFAOYSA-N | test purchase | Substantial amount of Furancarboxylic acid detected by GC-MS, sample is not pure by NMR | 2015-12-18 | 2015-01-26 | RESPONSE project; 2015-2017 | 1394-15 | |
| Cannabinoids | SDB-005 | ![]() | naphthalen-1-yl 1-pentyl-1H-indazole-3-carboxylate | C23H22N2O2 | 358.44 | 215 | 145 | 216 | 14.61 | show | JBVNFKZVDLFOAY-UHFFFAOYSA-N | test purchase | Confirmed by reference material ID 1361-15 | 2015-12-18 | 2015-01-26 | RESPONSE project; 2015-2017 | 1389-15 | |
| Opioids | U-47700 | ![]() | 3,4-dichloro-N-[2-(dimethylamino)cyclohexyl]-N-methylbenzamide | C16H22Cl2N2O | 329.27 | 84 | 125 | 71 | 9.46 | show | JGPNMZWFVRQNGU-UHFFFAOYSA-N | test purchase | Impurity detected by NMR | 2015-12-18 | 2016-01-26 | RESPONSE project; 2015-2017 | 1381-15 | |
| Cathinones | BK-IVP | ![]() | 1-(2,3-dihydro-1H-inden-5-yl)-2-(ethylamino)pentan-1-one | C16H23NO | 245.37 | 100 | 115 | 58 | 6.74 | show | JKHIJQTXTPXKTI-UHFFFAOYSA-N | test purchase | 2015-12-18 | 2016-01-22 | RESPONSE project; 2015-2017 | 1384-15 | ||
| Cathinones | 4-Cl-PPP | ![]() | 1-(4-chlorophenyl)-2-(pyrrolidin-1-yl)propan-1-one | C13H16ClNO | 237.73 | 98 | 56 | 99 | 5.84 | show | ULRSISQFKHWZNP-UHFFFAOYSA-N | test purchase | 2015-12-18 | 2016-01-15 | RESPONSE project; 2015-2017 | 1392-15 | ||
| Cathinones | Dibutylone | ![]() | 1-(2H-1,3-benzodioxol-5-yl)-2-(dimethylamino)butan-1-one | methylbutylone, m-butylone, N-methylbutylone, butylone ME, bk-dMBDB | C13H17NO3 | 235.28 | 86 | 71 | 87 | 5.87 | show | USEBIPUIVPERGC-UHFFFAOYSA-N | test purchase | 2015-12-18 | RESPONSE project; 2015-2017 | 1395-15 | ||
| Cathinones | BK-Ethyl-K | ![]() | 1-(2H-1,3-benzodioxol-5-yl)-2-(ethylamino)pentan-1-one | Ephylone, N-ethyl-norpentylone, N-ethyl-pentylone, bk-EBDP, βk-Ethyl-K, βk-EBDP, 1-(1,3-benzodioxol-5-yl)-2-(ethylamino)-1-pentanone | C14H19NO3 | 249.31 | 100 | 58 | 101 | 6.47 | show | VERDHJIMZYXGIW-UHFFFAOYSA-N | test purchase | 2015-12-18 | 2016-01-15 | RESPONSE project; 2015-2017 | 1390-15 | |
| Cannabinoids | 5F-ADBICA | ![]() | N-(1-amino-3,3-dimethyl-1-oxobutan-2-yl)-1-(5-fluoropentyl)-1H-indole-3-carboxamide | C20H28FN3O2 | 361.45 | 232 | 144 | 233 | 13.49 | show | ITZSOCZDFSHNCL-UHFFFAOYSA-N | RM-reference material | 2016-01-05 | RESPONSE project; 2015-2017 | 1417-15 | |||
| Others | Mebroqualone | ![]() | 3-(2-bromophenyl)-2-methylquinazolin-4(3H)-one | C15H11BrN2O | 315.16 | 235 | 236 | 76 | 8.99 | show | NBUSAPJNASSKBP-UHFFFAOYSA-N | RM-reference material | 2016-01-05 | RESPONSE project; 2015-2017 | 1415-15 | |||
| Phenethylamines | DOF | ![]() | 2,5-Dimethoxy-4-fluoroamphetamine | C11H16FNO2 | 213.25 | 44 | 170 | 155 | 4.04 | show | NRANUECGGQVXOT-UHFFFAOYSA-N | RM-reference material | 2016-01-05 | RESPONSE project; 2015-2017 | 1413-15 | |||
| Piperidines & pyrrolidines | N-(2,6-dimethylphenyl)-1-piperidineacetamide | ![]() | N-(2,6-Dimethylphenyl)-1-piperidineacetamide | C15H22N2O | 246.35 | 98 | 84 | 99 | 7.58 | show | OVECJQXXUIVZBI-UHFFFAOYSA-N | RM-reference material | 2016-01-05 | RESPONSE project; 2015-2017 | 1414-15 | |||
| Cannabinoids | 5F-ADB-PINACA | ![]() | N-(1-amino-3,3-dimethyl-1-oxobutan-2-yl)-1-(5-fluoropentyl)-1H-indazole-3-carboxamide | C19H27FN4O2 | 362.44 | 233 | 318 | 145 | 11.79 | show | SOYDDJYBRCNNIT-UHFFFAOYSA-N | RM-reference material | 2016-01-05 | RESPONSE project; 2015-2017 | 1416-15 | |||
| Cathinones | 2,3-DMMC | ![]() | 1-(2,3-dimethylphenyl)-2-(methylamino)propan-1-one | C12H17NO | 191.27 | 58 | 77 | 56 | 3.94 | show | APVRHNHXZXFDLN-UHFFFAOYSA-N | RM-reference material | 2016-01-06 | RESPONSE project; 2015-2017 | 1427-15 | |||
| Cannabinoids | AM-2201-4-methoxynaphthyl-analogue | ![]() | 1-(5-fluoropentyl)-3-(4-methoxynaphthalene-1-carbonyl)-1H-indole | AM-2201 4-methoxynaphthyl metabolite | C25H24FNO2 | 389.47 | 389 | 314 | 185 | 18.16 | show | BIESBZORWYRYDT-UHFFFAOYSA-N | RM-reference material | 2016-01-06 | RESPONSE project; 2015-2017 | 1426-15 | ||
| NPS-related (building blocks) | 1-Cyclohexylmethylindole | ![]() | 1‐(cyclohexylmethyl)‐1H‐indole | C15H19N | 213.32 | 130 | 213 | 131 | 6.36 | show | HIOJKWCIURECFH-UHFFFAOYSA-N | RM-reference material | 2016-01-06 | RESPONSE project; 2015-2017 | 1424-15 | |||
| Cannabinoids | ADBICA | ![]() | N-(1-amino-3,3-dimethyl-1-oxobutan-2-yl)-1-pentyl-1H-indole-3-carboxamide | C20H29N3O2 | 343.46 | 214 | 144 | 215 | 12.56 | show | IXUYMXAKKYWKRG-UHFFFAOYSA-N | RM-reference material | 2016-01-06 | RESPONSE project; 2015-2017 | 1418-15 | |||
| Others | 4-Fluorococaine | ![]() | methyl (1R,2R,3S,5S)-3-(4-fluorobenzoyloxy)-8-methyl-8-azabicyclo[3.2.1] octane-2-carboxylate | C17H20FNO4 | 321.34 | 82 | 182 | 94 | 8.04 | show | JRPRINGETIYVSV-LJISPDSOSA-N | RM-reference material | 2016-01-06 | RESPONSE project; 2015-2017 | 1421-15 | |||
| Phenethylamines | N-Me-2C-H | ![]() | 2,5-Dimethoxy-N-methylphenethylamine | C11H17NO2 | 195.26 | 44 | 152 | 137 | 4.25 | show | PIGIFXLLTQEIPK-UHFFFAOYSA-N | RM-reference material | 2016-01-06 | RESPONSE project; 2015-2017 | 1428-15 | |||
| NPS-related (building blocks) | 1-Pentylindole | ![]() | 1-pentyl-1H-indole | 1H-indole, 1-pentyl- | C13H17N | 187.28 | 130 | 187 | 131 | 4.52 | show | QWLCOOAYMQWDPR-UHFFFAOYSA-N | RM-reference material | 2016-01-06 | RESPONSE project; 2015-2017 | 1425-15 | ||
| Cannabinoids | MN-18 | ![]() | N-(naphthalen-1-yl)-1-pentyl-1H-indazol-3-carboxamide | C23H23N3O | 357.45 | 215 | 145 | 357 | 16.62 | show | UJKHLVOEXULDRU-UHFFFAOYSA-N | RM-reference material | 2016-01-06 | RESPONSE project; 2015-2017 | 1419-15 | |||
| Cannabinoids | NPB-22 | ![]() | 1-pentyl-1H-indazole-3-carboxylic acid, 8-quinolinyl ester | 1-pentyl-1H-indazole-3-carboxylic acid, 8-quinolinyl ester; PB-22 indazole analogue | C22H21N3O2 | 359.43 | 215 | 145 | 216 | 15.25 | show | UWICFJAXLKCHTQ-UHFFFAOYSA-N | RM-reference material | 2016-01-06 | RESPONSE project; 2015-2017 | 1423-15 | ||
| Piperidines & pyrrolidines | FLUOROLINTANE | ![]() | 1-(1-(2-fluorophenyl)-2-phenylethyl)pyrrolidine | 2-FPPP | C18H20FN | 269.36 | 178 | 109 | 179 | 6.75 | show | ZAGWVXYVNFPCLW-UHFFFAOYSA-N | RM-reference material | 2016-01-06 | RESPONSE project; 2015-2017 | 1420-15 | ||
| Indolalkylamines (fe tryptamines) | DIPT | ![]() | N,N-Diisopropyltryptamine | C16H24N2 | 244.38 | 114 | 72 | 130 | 7.42 | show | ZRVAAGAZUWXRIP-UHFFFAOYSA-N | RM-reference material | 2016-01-06 | RESPONSE project; 2015-2017 | 1422-15 | |||
| Arylcyclohexylamines | 3-MeO-PCMo | ![]() | 4‐[1‐(3‐methoxyphenyl)cyclohexyl]morpholine | C17H25NO2 | 275.39 | 232 | 121 | 275 | 8.17 | show | BOGOEDFWPOXWQE-UHFFFAOYSA-N | collected | 2016-01-15 | Forensic Science Institute Zurich, Switzerland (NMR confirmed sample) | 1431-16 | |||
| Opioids | AH-7921 | ![]() | 3,4-dichloro-N-{[1-(dimethylamino)cyclohexyl]methyl}benzamide | C16H22Cl2N2O | 329.27 | 126 | 127 | 173 | 10.31 | show | JMZROFPPEXCTST-UHFFFAOYSA-N | collected | 2016-01-15 | Forensic Science Institute Zurich, Switzerland (NMR confirmed sample) | 1434-16 | |||
| Cathinones | 4F-PV9 | ![]() | 1-(4-fluorophenyl)-2-(pyrrolidin-1-yl)octan-1-one | 4'-Fluoro-α-pyrrolidinooctanophenone; 4-Fluoro-PV-9, FPOP, 4-Fluoro-α-POP | C18H26FNO | 291.41 | 168 | 169 | 123 | 7.24 | show | MNXIGHJMEAJIEV-UHFFFAOYSA-N | collected | 2016-01-15 | Forensic Science Institute Zurich, Switzerland (NMR confirmed sample) | 1433-16 | ||
| Cathinones | 4-MeO-PV9 | ![]() | 1-(4-methoxyphenyl)-2-(pyrrolidin-1-yl)octan-1-one | C19H29NO2 | 303.22 | 168 | 169 | 135 | 8.86 | show | TVTBLEFOUUDRBK-UHFFFAOYSA-N | collected | 2016-01-15 | Forensic Science Institute Zurich, Switzerland (NMR confirmed sample) | 1436-16 | |||
| Cathinones | N-Ethyl-norpentylone | ![]() | 1-(2H-1,3-benzodioxol-5-yl)-2-(ethylamino)pentan-1-one | Ephylone, BK-Ethyl-K, N-ethyl-pentylone, bk-EBDP, βk-Ethyl-K, βk-EBDP, 1-(1,3-benzodioxol-5-yl)-2-(ethylamino)-1-pentanone | C14H19NO3 | 249.31 | 100 | 58 | 101 | 6.46 | show | VERDHJIMZYXGIW-UHFFFAOYSA-N | collected | 2016-01-15 | Forensic Science Institute Zurich, Switzerland (NMR confirmed sample) | 1437-16 | ||
| Opioids | W-15 | ![]() | 4-chloro-N-[1-(2-phenylethyl)-2-piperidinylidene]-benzenesulfonamide | C19H21ClN2O2S | 376.90 | 207 | 104 | 111 | 15.84 | show | VJHXSSVOCOBVMI-UHFFFAOYSA-N | collected | 2016-01-15 | Forensic Science Institute Zurich, Switzerland (NMR confirmed sample) | 1435-16 | |||
| Cathinones | 4F-PV8 | ![]() | 1-(4-fluorophenyl)-2-(pyrrolidin-1-yl)heptan-1-one | C17H24FNO | 277.38 | 154 | 155 | 95 | 6.65 | show | YAFFHHPPOAYLLA-UHFFFAOYSA-N | collected | 2016-01-15 | Forensic Science Institute Zurich, Switzerland (NMR confirmed sample) | 1432-16 | |||
| Cannabinoids | AM-2201 | ![]() | 1‐(5‐fluoropentyl)‐3‐(naphthalene‐1‐carbonyl)‐1H‐indole | C24H22FNO | 359.44 | 359 | 232 | 284 | 15.86 | show | ALQFAGFPQCBPED-UHFFFAOYSA-N | RM-reference material | 2016-01-20 | I-SEE project RM and report ( analysed in SI National Forensic Laboratory) | 1478-16 | |||
| Aminoindanes | 5-IAI | ![]() | 5-Iodo-2,3-dihydro-1H-inden-2-amine | 5-Iodo-2-aminoindane | C9H10IN | 259.09 | 259 | 115 | 117 | 4.86 | show | BIHPYCDDPGNWQO-UHFFFAOYSA-N | RM-reference material | 2016-01-20 | I-SEE project RM and report ( analysed in SI National Forensic Laboratory) | 1475-16 | ||
| Arylcyclohexylamines | 3-MeO-PCP | ![]() | 1-[1-(3-methoxyphenyl)cyclohexyl]-piperidine | 3-Methoxyphencyclidine | C18H27NO | 273.42 | 230 | 272 | 273 | 7.89 | show | BQQSZHHKGPOXLN-UHFFFAOYSA-N | RM-reference material | 2016-01-20 | I-SEE project RM and report ( analysed in SI National Forensic Laboratory) | 1468-16 | ||
| Aminoindanes | 2-AI | ![]() | 2,3-dihydro-1H-inden-2-ylamine | 2-Aminoindane | C9H11N | 133.19 | 133 | 116 | 91 | 2.55 | show | LMHHFZAXSANGGM-UHFFFAOYSA-N | RM-reference material | 2016-01-20 | I-SEE project RM and report ( analysed in SI National Forensic Laboratory) | 1469-16 | ||
| Arylcyclohexylamines | 4-MeO-PCP | ![]() | 1-[1-(4-methoxyphenyl)cyclohexyl]-piperidine | 4-Methoxyphencyclidine | C18H27NO | 273.42 | 121 | 230 | 189 | 8.12 | show | MUZGGFNYVLGUFS-UHFFFAOYSA-N | RM-reference material | 2016-01-20 | I-SEE project RM and report ( analysed in SI National Forensic Laboratory) | 1472-16 | ||
| Cannabinoids | JWH-081 | ![]() | (1-pentyl-3-(4-methoxy-1-naphthoyl)indole) | ((4-Methoxynaphthalen-1-yl)(1-pentylindol-3-yl)methanone) | C25H25NO2 | 371.47 | 371 | 214 | 314 | 17.23 | show | UBMPKJKGUQDHRM-UHFFFAOYSA-N | RM-reference material | 2016-01-20 | I-SEE project RM and report ( analysed in SI National Forensic Laboratory) | 1488-16 | ||
| Indolalkylamines (fe tryptamines) | 2-(1H-indol-3-yl)-N,N-dipropylacetamide | ![]() | 2-(1H-indol-3-yl)-N,N-dipropylacetamide | C16H22N2O | 258.37 | 130 | 258 | 128 | 9.00 | show | AEPJTCZBIULDTE-UHFFFAOYSA-N | collected | 2016-02-10 | Joined report: I-SEE and RESPONSE projects | 1504-16 | |||
| Cathinones | N-ethylhexedrone | ![]() | 2-(ethylamino)-1-phenylhexan-1-one | Ethyl-hexedrone, HEXEN, HEX EN, NEH | C14H21NO | 219.33 | 114 | 58 | 77 | 4.65 | show | CWNKMHIETKEBCA-UHFFFAOYSA-N | collected | Joined report: I-SEE and RESPONSE projects | 2016-02-10 | RESPONSE project; 2015-2017 | 1503-16 | |
| Cathinones | Mexedrone | ![]() | 3-methoxy-2-(methylamino)-1-(4-methylphenyl)propan-1-one | MEX, 4-MMC-oMe, | C12H17NO2 | 207.27 | 88 | 56 | 91 | 4.54 | show | JHGDCSPZKQLBOP-UHFFFAOYSA-N | collected | 2016-02-10 | Joined report: I-SEE and RESPONSE projects; organic impurities detected by GC-MS | 1519-16 | ||
| Others | PDM-35 | ![]() | 2-phenyl-3,5-dimethylmorpholine | 5-Methylphenmetrazine | C12H17NO | 191.27 | 70 | 85 | 44 | 3.75 | show | YKCSYIYQRSVLAK-UHFFFAOYSA-N | test purchase | HPLC TOF and GC-MS two major peaks for C12H17NO and same mass spectra; NMR: a mixture of two very similar compounds (probably diastereoisomers) in approx. molar ratio 3:2 | 2016-02-10 | RESPONSE project; 2015-2017 | 1408-16 | |
| Piperidines & pyrrolidines | HDMP-28 | ![]() | methyl 2-(2-naphthyl)-2-(2-piperidyl)acetate | methylnaphthidate | C18H21NO2 | 283.36 | 180 | 200 | 181 | 9.40 | show | DNRNSIJBSCBESJ-UHFFFAOYSA-N | test purchase | Nonderivatized sample decomposes in GC. RT and MS spectrum refer to TFA derivative | 2016-02-11 | RESPONSE project; 2015-2017 | 1409-16 | |
| Phenethylamines | Allylescaline | ![]() | 4-allyloxy-3,5-dimethoxy-phenethylamine | 2-[3,5-Dimethoxy-4-(prop-2-en-1-yloxy)phenyl]ethanamine | C13H19NO3 | 237.30 | 167 | 168 | 237 | 5.82 | show | JNUAYHHGCXYBHX-UHFFFAOYSA-N | test purchase | 2016-02-11 | RESPONSE project; 2015-2017 | 1406-16 | ||
| Phenethylamines | Escaline | ![]() | 2-(4-Ethoxy-3,5-dimethoxyphenyl)ethanamine | 4-ethoxy mescaline | C12H19NO3 | 225.28 | 167 | 196 | 168 | 5.29 | show | RHOGRSKNWDNCDN-UHFFFAOYSA-N | test purchase | 2016-02-11 | RESPONSE project; 2015-2017 | 1407-16 | ||
| Cannabinoids | ADB-CHMINACA | ![]() | N-(1-amino-3,3-dimethyl-1-oxobutan-2-yl)-1-(cyclohexylmethyl)-1H-indazole-3-carboxamide | MAB-CHMINACA | C21H30N4O2 | 370.50 | 241 | 326 | 145 | 13.51 | show | ZWCCSIUBHCZKOY-UHFFFAOYSA-N | test purchase | Not pure; purchased as 5F-AEB | 2016-02-11 | RESPONSE project; 2015-2017 | 1380-15 | |
| Cathinones | 4-CIC | ![]() | 1-(4-chlorophenyl)-2-(isopropylamino)propan-1-one | C12H16ClNO | 225.72 | 86 | 44 | 111 | 4.43 | show | AZTFYJYLDIQSAG-UHFFFAOYSA-N | test purchase | 2016-02-12 | 2016-02-22 | RESPONSE project; 2015-2017 | 1502-16 | ||
| Others | Memantine | ![]() | 3,5-dimethyladamantan-1-amine | C12H21N | 179.30 | 108 | 122 | 179 | 2.69 | show | BUGYDGFZZOZRHP-UHFFFAOYSA-N | test purchase | 2016-02-12 | RESPONSE project; 2015-2017 | 1410-16 | |||
| Others | 3,6-DMPM | ![]() | 3,6-dimethyl-2-phenylmorpholine | 2-Phenyl-3,6-dimethylmorpholine | C12H17NO | 191.27 | 70 | 85 | 44 | 3.78 | show | FZEIVUHEODGHML-UHFFFAOYSA-N | test purchase | MS, TOF: two signals - diastereoisomers, NMR: 3 isomers | 2016-02-12 | 2016-02-19 | RESPONSE project; 2015-2017 | 1412-16 |
| Cannabinoids | AKB-57 | ![]() | adamantan-1-yl 1-pentyl-1H-indazole-3-carboxylate | AKB57 | C23H30N2O2 | 366.31 | 135 | 231 | 215 | 13.31 | show | KCCVWUAAHDXNNQ-UHFFFAOYSA-N | test purchase | Another sample, which was purchased as 5F-AKB57 contained AKB57 as well | 2016-02-12 | RESPONSE project; 2015-2017 | 1521-16 | |
| Cathinones | 4-CEC | ![]() | 1-(4-chlorophenyl)-2-(ethylamino)propan-1-one | 4-chloroethcathinone | C11H14ClNO | 211.69 | 72 | 44 | 111 | 4.26 | show | RNBCGEIZCHBTGL-UHFFFAOYSA-N | test purchase | 2016-02-12 | 2016-02-28 | RESPONSE project; 2015-2017 | 1501-16 | |
| Others | VX-809 | ![]() | 3-(6-(1-(2,2-difluorobenzo[d][1,3]dioxol-5-yl)cyclopropanecarboxamido)-3-methylpyridin-2-yl)benzoic acid | Lumacaftor | C24H18F2N2O5 | 452.41 | 496 | 497 | 495 | 16.05 | show | UFSKUSARDNFIRC-UHFFFAOYSA-N | test purchase | RT and MS spectrum refer to MSTFA derivative | 2016-02-12 | RESPONSE project; 2015-2017 | 1500-16 | |
| Indolalkylamines (fe tryptamines) | 4-AcO-DET | ![]() | 3-[2-(diethylamino)ethyl]-1H-indol-4-yl acetate | 4-Acetoxy-DET | C16H22N2O2 | 274.36 | 86 | 87 | 58 | 8.58 | show | WYEVVQJLTXBMPM-UHFFFAOYSA-N | test purchase | Fumaric acid by GC-MS + cca5% of organic impurity | 2016-02-12 | 2018-05-28 | RESPONSE project; 2015-2017 | 1411-16 |
| Cathinones | 2-Fluoromethcathinone (2-FMC) | ![]() | 1-(2-fluorophenyl)-2-(methylamino)propan-1-one | 2-FMC | C10H12FNO | 181.21 | 58 | 56 | 95 | 2.812 | show | DCMOUMKIDLRIBO-UHFFFAOYSA-N | RM-reference material | in GC compound partially disproportionate | 2016-02-19 | I-SEE project RM and report ( analysed in SI National Forensic Laboratory) | 1470-16 | |
| Indolalkylamines (fe tryptamines) | 5-methoxy-DiPT | ![]() | [2-(5-methoxy-1H-indol-3-yl)ethyl]bis(propan-2-yl)amine | 5-MeO DiPT; 5-methoxy-N,N-Diisopropyltryptamine; FOXY | C17H26N2O | 274.41 | 114 | 72 | 160 | 8.63 | show | DNBPMBJFRRVTSJ-UHFFFAOYSA-N | RM-reference material | 2016-02-19 | I-SEE project RM and report ( analysed in SI National Forensic Laboratory) | 1476-16 | ||
| Phenethylamines | 25I-NBOH | ![]() | 2-({[2-(4-iodo-2,5-dimethoxyphenyl)ethyl]amino}methyl)phenol | 2C-I-NBOH, NBOH-2CI, Cimbi-27 | C17H20INO3 | 413.26 | 179 | 280 | 73 | 12.04 | show | FEUZHYRXGQTBRO-UHFFFAOYSA-N | test purchase | RT and MS spectrum for di-TMS derivative (see Analytical report) | 2016-02-19 | 2016-02-19 | RESPONSE project; 2015-2017 | 1383-15 |
| Cannabinoids | CP 47,497-C8-homolog | ![]() | 2-(3-hydroxycyclohexyl)-5-(2-methylnonan-2-yl)phenol | Cannabicyclohexanol | C22H36O2 | 332.53 | 215 | 233 | 216 | 10.74 | show | HNMJDLVMIUDJNH-UHFFFAOYSA-N | RM-reference material | 2016-02-19 | I-SEE project RM and report ( analysed in SI National Forensic Laboratory) | 1463-16 | ||
| Cannabinoids | JWH-007 | ![]() | 2-methyl-3-(naphthalene-1-carbonyl)-1-pentyl-1H-indole | (2-methyl-1-pentyl-1H-indol-3-yl)-1-naphthalenyl-methanone | C25H25NO | 355.48 | 355 | 354 | 127 | 15.47 | show | IBBNKINXTRKICJ-UHFFFAOYSA-N | RM-reference material | 2016-02-19 | I-SEE project RM and report ( analysed in SI National Forensic Laboratory) | 1484-16 | ||
| Indolalkylamines (fe tryptamines) | 4-hydroxy-DiPT | ![]() | 3-{2-[bis(propan-2-yl)amino]ethyl}-1H-indol-4-ol | 4-OH DiPT, 4-Hydroxy-N,N-diisopropyltryptamine | C16H24N2O | 260.38 | 114 | 72 | 146 | 8.75 | show | KBRYKXCBGISXQV-UHFFFAOYSA-N | RM-reference material | 2016-02-19 | I-SEE project RM and report ( analysed in SI National Forensic Laboratory) | 1471-16 | ||
| Cannabinoids | JWH-210 | ![]() | 3-(4-ethylnaphthalene-1-carbonyl)-1-pentyl-1H-indole | (4-ethyl-1-naphthalenyl)(1-pentyl-1H-indol-3-yl)-methanone | C26H27NO | 369.51 | 369 | 214 | 352 | 16.55 | show | LACIUQLUNACUKC-UHFFFAOYSA-N | RM-reference material | 2016-02-19 | I-SEE project RM and report ( analysed in SI National Forensic Laboratory) | 1490-16 | ||
| Cannabinoids | AM-694 | ![]() | 1-(5-fluoropentyl)-3-(2-iodobenzoyl)-1H-indole | [1-(5-fluoropentyl)-1H-indol-3-yl](2-iodophenyl)-methanone | C20H19FINO | 435.27 | 232 | 435 | 220 | 13.70 | show | LFFIIZFINPPEMC-UHFFFAOYSA-N | RM-reference material | 2016-02-19 | I-SEE project RM and report ( analysed in SI National Forensic Laboratory) | 1479-16 | ||
| Cathinones | Ethcathinone | ![]() | 2-(ethylamino)-1-phenyl-1-propanone | N-Ethylcathinone | C11H15NO | 177.25 | 72 | 44 | 77 | 3.21 | show | LYMHIBZGTAPASQ-UHFFFAOYSA-N | RM-reference material | 2016-02-19 | I-SEE project RM and report ( analysed in SI National Forensic Laboratory) | 1483-16 | ||
| Cannabinoids | JWH-019 | ![]() | 1-hexyl-3-(naphthalene-1-carbonyl)-1H-indole | (1-hexyl-1H-indol-3-yl)-1-naphthalenyl-methanone | C25H25NO | 355.48 | 355 | 284 | 228 | 15.81 | show | PALJPGHWDUHUPO-UHFFFAOYSA-N | RM-reference material | 2016-02-19 | I-SEE project RM and report ( analysed in SI National Forensic Laboratory) | 1486-16 | ||
| Phenethylamines | 25D-NBOMe | ![]() | [2-(2,5-dimethoxy-4-methylphenyl)ethyl][(2-methoxyphenyl)methyl]amine | NBOMe-2C-D | C19H25NO3 | 315.41 | 121 | 150 | 91 | 9.47 | show | UTVHBNXCFSATDB-UHFFFAOYSA-N | RM-reference material | 2016-02-19 | I-SEE project RM and report ( analysed in SI National Forensic Laboratory) | 1465-16 | ||
| Cannabinoids | JWH-307 | ![]() | 2-(2-fluorophenyl)-4-(naphthalene-1-carbonyl)-1-pentyl-1H-pyrrole | [5-(2-fluorophenyl)-1-pentyl-1H-pyrrol-3-yl]-1-naphthalenyl-methanone | C26H24FNO | 385.48 | 385 | 155 | 127 | 15.58 | show | WYNZPDDTQGVCLZ-UHFFFAOYSA-N | RM-reference material | 2016-02-19 | I-SEE project RM and report ( analysed in SI National Forensic Laboratory) | 1493-16 | ||
| Cannabinoids | JWH-251 | ![]() | 2-(2-methylphenyl)-1-(1-pentyl-1H-indol-3-yl)ethan-1-one | 2-(2-methylphenyl)-1-(1-pentyl-1H-indol-3-yl)-ethanone | C22H25NO | 319.45 | 214 | 144 | 215 | 11.70 | show | YBIPNGRKUAVSBG-UHFFFAOYSA-N | RM-reference material | 2016-02-19 | I-SEE project RM and report ( analysed in SI National Forensic Laboratory) | 1492-16 | ||
| Phenethylamines | 2C-N | ![]() | 2,5-dimethoxy-4-nitro-benzeneethanamine | 2,5-Dimethoxy-4-nitrophenethylamine; 2‐(2,5‐dimethoxy‐4‐nitrophenyl)ethan‐1‐amine | C10H14N2O4 | 226.23 | 197 | 167 | 120 | 6.738 | show | ZMUSDZGRRJGRAO-UHFFFAOYSA-N | RM-reference material | 2016-02-19 | I-SEE project RM and report ( analysed in SI National Forensic Laboratory) | 1467-16 | ||
| Phenethylamines | Homoveratrylamine | ![]() | 2-(3,4-dimethoxyphenyl)ethan-1-amine | C10H15NO2 | 181.24 | 152 | 151 | 30 | 4.01 | show | ANOUKFYBOAKOIR-UHFFFAOYSA-N | RM-reference material | 2016-03-04 | RESPONSE project; 2015-2017 | 1342-16 | |||
| Phenethylamines | 4-Methyl-N-ethyl-norephedrine | ![]() | 1-(4-Methylphenyl)-2-ethylamino-1-propanol | 2‐(ethylamino)‐1‐(4‐methylphenyl)propan‐1‐ol | C12H19NO | 193.29 | 72 | 44 | 91 | 4.00 | show | AQJDADTYOSUEIK-UHFFFAOYSA-N | RM-reference material | 2016-03-04 | RESPONSE project; 2015-2017 | 1345-16 | ||
| Phenethylamines | HMA | ![]() | 4-(2-aminopropyl)-2-methoxyphenol | 4-hydroxy-3-methoxyamphetamine | C10H15NO2 | 181.24 | 44 | 138 | 137 | 4.01 | show | GPBOYXOSSQEJBH-UHFFFAOYSA-N | RM-reference material | 2016-03-04 | RESPONSE project; 2015-2017 | 1344-16 | ||
| Phenethylamines | 4-Ethylephedrine | ![]() | 1-(4-ethylphenyl)-2-(methylamino)propan-1-ol | C12H19NO | 193.29 | 58 | 91 | 56 | 4.24 | show | MMTHSVQWQJSUJY-UHFFFAOYSA-N | RM-reference material | 2016-03-04 | RESPONSE project; 2015-2017 | 1343-16 | |||
| Cathinones | Propylone | ![]() | 1-(2H-1,3-benzodioxol-5-yl)-2-(propylamino)propan-1-one | bk-3,4-MDPA, 3,4-methylenedioxy-N-propylcathinone, Propylone | C13H17NO3 | 235.28 | 86 | 44 | 65 | show | YFVKHKCZBSGZPE-UHFFFAOYSA-N | analytical report | 2016-03-04 | CLEN2SAND project data provided by the European Commission Joint Research Centre (JRC), DG TAXUD and the CLEN | RPT: JRC-16020009 | |||
| Piperazine derivates | DBZP | ![]() | 1,4-bis(phenylmethyl)-piperazine | DBZP, 1,4-Dibenzylpiperazine | C18H22N2 | 266.39 | 91 | 175 | 120 | 8.08 | show | YPUGLZQRXQQCSX-UHFFFAOYSA-N | RM-reference material | 2016-03-04 | RESPONSE project; 2015-2017 | 1341-16 | ||
| Phenethylamines | 2C-T-4-NBOMe | ![]() | {2-[2,5-dimethoxy-4-(propan-2-ylsulfanyl)phenyl]ethyl}[(2-methoxyphenyl)methyl]amine | 25T4-NB2OMe | C21H29NO3S | 375.53 | 121 | 150 | 91 | 11.38 | show | BOWHVFJVXBVJCU-UHFFFAOYSA-N | RM-reference material | 2016-03-08 | RESPONSE project; 2015-2017 | 1335-16 | ||
| Phenethylamines | 2C-T-7-NBOMe | ![]() | {2-[2,5-dimethoxy-4-(propylsulfanyl)phenyl]ethyl}[(2-methoxyphenyl)methyl]amine | 25T7-NB2OMe | C21H29NO3S | 375.53 | 121 | 150 | 91 | 11.89 | show | CPVMNHOHOSNFOP-UHFFFAOYSA-N | RM-reference material | 2016-03-08 | RESPONSE project; 2015-2017 | 1336-16 | ||
| Cannabinoids | UR-144 | ![]() | 1-pentyl-3-(2,2,3,3-tetramethylcyclopropanecarbonyl)-1H-indole | KM X-1, TMCP-018, MN-001, YX-17 | C21H29NO | 311.47 | 214 | 144 | 296 | 9.71 | show | NBMMIBNZVQFQEO-UHFFFAOYSA-N | RM-reference material | 2016-03-08 | RESPONSE project; 2015-2017 | 1339-16 | ||
| Phenethylamines | 2C-T-2-NBOMe | ![]() | {2-[4-(ethylsulfanyl)-2,5-dimethoxyphenyl]ethyl}[(2-methoxyphenyl)methyl]amine | 25T2-NB2OMe | C20H27NO3S | 361.50 | 121 | 150 | 91 | 11.36 | show | OZEBFZPAWCXEGK-UHFFFAOYSA-N | RM-reference material | 2016-03-08 | RESPONSE project; 2015-2017 | 1334-16 | ||
| Phenethylamines | 2C-P-NBOMe | ![]() | [2-(2,5-dimethoxy-4-propylphenyl)ethyl][(2-methoxyphenyl)methyl]amine | 25P-NB2OMe; 2-(4-Propyl-2,5-dimethoxyphenyl)-N-(2-methoxybenzyl)ethanamine | C21H29NO3 | 343.46 | 121 | 150 | 91 | 10.09 | show | QHEBYIJRKGDFGH-UHFFFAOYSA-N | RM-reference material | 2016-03-08 | 2018-05-28 | RESPONSE project; 2015-2017 | 1333-16 | |
| Cathinones | 3,4-methylenedioxy-N-propylcathinone_(Propylone) | ![]() | 1-(2H-1,3-benzodioxol-5-yl)-2-(propylamino)propan-1-one | bk-3,4-MDPA, 3,4-methylenedioxy-N-propylcathinone, Propylone | C13H17NO3 | 235.28 | 86 | 65 | 149 | 6.13 | show | YFVKHKCZBSGZPE-UHFFFAOYSA-N | collected | 2016-03-08 | Institute of forensic medicine, University of Freiburg, Germany (not identified sample). | 1446-16 | ||
| Cannabinoids | PB-22 | ![]() | quinolin-8-yl 1-pentyl-1H-indole-3-carboxylate | QUPIC | C23H22N2O2 | 358.44 | 214 | 144 | 215 | 16.38 | show | ZAVGICCEAOUWFM-UHFFFAOYSA-N | RM-reference material | 2016-03-08 | RESPONSE project; 2015-2017 | 1338-16 | ||
| Cannabinoids | LTI-701 | ![]() | 1-(5-fluoropentyl)-N-phenyl-1H-indole-3-carboxamide | C20H21FN2O | 324.40 | 232 | 144 | 233 | 14.01 | show | FZYJALPWLNXEIP-UHFFFAOYSA-N | collected | 2016-03-09 | Sample was kindly provided by Institute of forensic medicine, University of Freiburg, Germany. | 1458-16 | |||
| Cannabinoids | AMB | ![]() | methyl 3-methyl-2-[(1-pentyl-1H-indazol-3-yl)formamido]butanoate | AMP; methyl (1-pentyl-1H-indazole-3-carbonyl)-valinate | C19H27N3O3 | 345.44 | 215 | 286 | 145 | 9.97 | show | KTTMFFHXDMTTOB-UHFFFAOYSA-N | collected | 2016-03-09 | Sample was kindly provided by Institute of forensic medicine, University of Freiburg, Germany. | 1462-16 | ||
| Phenethylamines | 25I-NBF | ![]() | N-(2-fluorobenzyl)-2-(4-iodo-2,5-dimethoxyphenyl)ethanamine | 25I-NB2F, 2C-I-NBF, NBF-2C-I, Cimbi-21 | C17H19FINO2 | 415.24 | 109 | 138 | 278 | 10.11 | show | LPBKNBHMWRBPHT-UHFFFAOYSA-N | test purchase | Non soluble impurities - not identified | 2016-03-09 | 2018-04-13 | RESPONSE project; 2015-2017 | 1386-15 |
| Others | Phenmetetrazine | ![]() | 4-ethyl-3-methyl-2-phenylmorpholine | C13H19NO | 205.30 | 56 | 71 | 99 | 4.23 | show | ZOMTUQAEMGCZPK-UHFFFAOYSA-N | synthesized | 2016-03-09 | RESPONSE project; 2015-2017 | 1291-15S | |||
| Cannabinoids | XLR-11 | ![]() | 1-(5-fluoropentyl)-3-(2,2,3,3-tetramethylcyclopropanecarbonyl)-1H-indole | 5-fluoro UR-144, 5-FUR-144 | C21H28FNO | 329.46 | 232 | 144 | 314 | 10.21 | show | PXLDPUUMIHVLEC-UHFFFAOYSA-N | RM-reference material | 2016-03-10 | RESPONSE project; 2015-2017 | 1340-16 | ||
| Cathinones | Ethcathinone | ![]() | 2-(ethylamino)-1-phenylpropan-1-one | N-ethylaminopropiophenone | C11H15NO | 177.25 | 72 | 44 | 77 | 3.18 | show | LYMHIBZGTAPASQ-UHFFFAOYSA-N | RM-reference material | 2016-03-11 | RESPONSE project; 2015-2017 | 1325-16 | ||
| Cathinones | Methedrone | ![]() | 1-(4-methoxyphenyl)-2-(methylamino)propan-1-one | para-Methoxymethcathinone; PMMC;Methoxyphedrine; 4-Methedrone, bk-PMMA | C11H15NO2 | 193.24 | 58 | 135 | 77 | 4.55 | show | MQUIHBQDYYAEMH-UHFFFAOYSA-N | RM-reference material | 2016-03-11 | RESPONSE project; 2015-2017 | 1326-16 | ||
| Cathinones | MDPPP | ![]() | 1-(2H-1,3-benzodioxol-5-yl)-2-(pyrrolidin-1-yl)propan-1-one | 3′,4′-Methylenedioxy-α-pyrrolidinopropiophenone | C14H17NO3 | 247.29 | 98 | 56 | 99 | 7.12 | show | NIYQOTCYXGXMPI-UHFFFAOYSA-N | RM-reference material | 2016-03-11 | RESPONSE project; 2015-2017 | 1331-16 | ||
| Cathinones | MPBP | ![]() | 1-(4-methylphenyl)-2-(pyrrolidin-1-yl)butan-1-one | F 1938; 4-methyl PBP | C15H21NO | 231.34 | 112 | 113 | 91 | 5.93 | show | NXNPGAAZKYDOPW-UHFFFAOYSA-N | RM-reference material | 2016-03-11 | RESPONSE project; 2015-2017 | 1327-16 | ||
| Cathinones | MDPBP | ![]() | 1-(2H-1,3-benzodioxol-5-yl)-2-(pyrrolidin-1-yl)butan-1-one | 3′,4′-Methylenedioxy-α-pyrrolidinobutiophenone | C15H19NO3 | 261.32 | 112 | 113 | 149 | 7.49 | show | OLVLMDVPMCIBQW-UHFFFAOYSA-N | RM-reference material | 2016-03-11 | RESPONSE project; 2015-2017 | 1330-16 | ||
| Cathinones | Cathinone | ![]() | 2-amino-1-phenylpropan-1-one | a-Aminopropiophenone | C9H11NO | 149.13 | 44 | 77 | 51 | 2.77 | show | PUAQLLVFLMYYJJ-UHFFFAOYSA-N | RM-reference material | 2016-03-11 | RESPONSE project; 2015-2017 | 1324-16 | ||
| Cathinones | 3,4-MDPV | ![]() | 1-(2H-1,3-benzodioxol-5-yl)-2-(pyrrolidin-1-yl)pentan-1-one | 3,4-methylenedioxy pyrovalerone | C16H21NO3 | 275.35 | 126 | 127 | 149 | 7.91 | show | SYHGEUNFJIGTRX-UHFFFAOYSA-N | RM-reference material | 2016-03-11 | RESPONSE project; 2015-2017 | 1329-16 | ||
| Phenethylamines | Mescaline-NB2OMe | ![]() | [(2-methoxyphenyl)methyl][2-(3,4,5-trimethoxyphenyl)ethyl]amine | C19H25NO4 | 331.41 | 121 | 150 | 91 | 9.86 | show | USPSMWCGHVXKMN-UHFFFAOYSA-N | RM-reference material | 2016-03-11 | RESPONSE project; 2015-2017 | 1337-16 | |||
| Cathinones | Amfepramone | ![]() | 2-(diethylamino)-1-phenylpropan-1-one | Diethylpropion, Diethylcathinone, Menutil, Tenuate… | C13H19NO | 205.30 | 100 | 44 | 77 | 3.87 | show | XXEPPPIWZFICOJ-UHFFFAOYSA-N | RM-reference material | 2016-03-11 | RESPONSE project; 2015-2017 | 1323-16 | ||
| Opioids | VALERYLFENTANYL | ![]() | N‐phenyl‐N‐[1‐(2‐phenylethyl)piperidin‐4‐yl]pentanamide | C24H32N2O | 364.52 | 273 | 146 | 189 | show | VCCPXHWAJYWQMR-UHFFFAOYSA-N | analytical report | 2016-03-16 | CLEN2SAND project data provided by the European Commission Joint Research Centre (JRC), DG TAXUD and the CLEN | RPT: JRC-16010001 | ||||
| Piperazine derivates | Acetildenafil | ![]() | 5-{2-ethoxy-5-[2-(4-ethylpiperazin-1-yl)acetyl]phenyl}-1-methyl-3-propyl-1H,6H,7H-pyrazolo[4,3-d]pyrimidin-7-one | C25H34N6O3 | 466.57 | 127 | 70 | 84 | 20.72 | show | RRBRQNALHKQCAI-UHFFFAOYSA-N | test purchase | 2016-03-17 | RESPONSE project; 2015-2017 | 1542-16 | |||
| Piperidines & pyrrolidines | 4-fluoroethylphenidate | ![]() | ethyl 2-(4-fluorophenyl)-2-(2-piperidyl)acetate | 4F-EPH | C15H20FNO2 | 265.32 | 84 | 109 | 55 | show | RKXQYWFDJDYSEN-UHFFFAOYSA-N | analytical report | 2016-03-22 | CLEN2SAND project data provided by the European Commission Joint Research Centre (JRC), DG TAXUD and the CLEN | RPT: JRC-1602005 | |||
| Cannabinoids | 5F-PCN | ![]() | 1-(5-fluoropentyl)-N-(naphthalen-1-yl)-1H-pyrrolo[3,2-c]pyridine-3-carboxamide | 5-fluoro MN-21; 5-fluoro PCN | C23H22FN3O | 375.45 | 233 | 145 | 234 | 21.00 | show | BRRZRRZUERBDQL-UHFFFAOYSA-N | RM-reference material | 2016-03-24 | RESPONSE project; 2015-2017 | 1564-16 | ||
| Opioids | Despropionyl-2-fluoro fentanyl | ![]() | N-(2-fluorophenyl)-1-(2-phenylethyl)piperidin-4-amine | despropionyl-o-fluoro fentanyl | C19H23FN2 | 298.40 | 164 | 207 | 44 | show | WUNLGTOLOUTCPE-UHFFFAOYSA-N | analytical report | 2016-03-29 | CLEN2SAND project data provided by the European Commission Joint Research Centre (JRC), DG TAXUD and the CLEN | RPT: JRC-15010007 | |||
| Piperidines & pyrrolidines | GTS-21 | ![]() | (3E)-3-[(2,4-dimethoxyphenyl)methylidene]-3,4,5,6-tetrahydro-2,3'-bipyridine | 3-(2,4-Dimethoxybenzylidene)anabaseine; | C19H20N2O2 | 308.38 | 308 | 293 | 277 | 11.03 | show | RPYWXZCFYPVCNQ-RVDMUPIBSA-N | test purchase | 2016-04-07 | RESPONSE project; 2015-2017 | 1539-16 | ||
| Others | PRE-084 | ![]() | 2-(morpholin-4-yl)ethyl 1-phenylcyclohexane-1-carboxylate | Pre-084; CHEMBL305881; 2-morpholin-4-ylethyl 1-phenylcyclohexane-1-carboxylate; Pre 084; Tocris-0589; Lopac-P-2607 | C19H27NO3 | 317.43 | 100 | 113 | 91 | 9.03 | show | RQHKZUBCUZVZEF-UHFFFAOYSA-N | test purchase | 2016-04-18 | RESPONSE project; 2015-2017 | 1544-16 | ||
| Others | G-130 | ![]() | 5,5-dimethyl-2-phenylmorpholine | 2-Phenyl-5,5-dimethyltetrahydro-1,4-oxazine | C12H17NO | 191.27 | 104 | 161 | 105 | 3.85 | show | KJUOROGOOZJYAI-UHFFFAOYSA-N | test purchase | 2016-04-22 | RESPONSE project; 2015-2017 | 1541-16 | ||
| Cathinones | PV9 | ![]() | 1-phenyl-2-(pyrrolidin-1-yl)octan-1-one | α-pyrrolidinooctanophenone, α-POP | C18H27NO | 273.42 | 168 | 169 | 77 | 7.44 | show | RCGHPLZKUHDGCC-UHFFFAOYSA-N | collected | 2016-04-22 | Estonian Forensic Science Institute | 1568-16 | ||
| Cannabinoids | AB-FUBINACA | ![]() | N-(1-amino-3-methyl-1-oxobutan-2-yl)-1-(4-fluorobenzyl)-1H-indazole-3-carboxamide | 2‐({1‐[(4‐fluorophenyl)methyl]‐1H‐indazol‐3‐ yl}formamido)‐3‐methylbutanamide | C20H21FN4O2 | 368.41 | 109 | 253 | 324 | 13.34 | show | AKOOIMKXADOPDA-UHFFFAOYSA-N | RM-reference material | 2016-05-12 | I-SEE project RM and report ( analysed in SI National Forensic Laboratory) | 1477-16 | ||
| Cannabinoids | JWH-250 | ![]() | 2-(2-methoxyphenyl)-1-(1-pentyl-1H-indol-3-yl)ethan-1-one | C22H25NO2 | 335.45 | 214 | 144 | 215 | 12.36 | show | FFLSJIQJQKDDCM-UHFFFAOYSA-N | RM-reference material | 2016-05-12 | I-SEE project RM and report ( analysed in SI National Forensic Laboratory) | 1491-16 | |||
| Cannabinoids | JWH-122 | ![]() | 3-(4-methylnaphthalene-1-carbonyl)-1-pentyl-1H-indole | (4-Methyl-1-naphthyl)(1-pentyl-1H-indol-3-yl)methanone | C25H25NO | 355.48 | 355 | 214 | 298 | 16.09 | show | HUKJQMKQFWYIHS-UHFFFAOYSA-N | RM-reference material | 2016-05-12 | I-SEE project RM and report ( analysed in SI National Forensic Laboratory) | 1489-16 | ||
| Piperazine derivates | BZP | ![]() | 1-benzylpiperazine | BZP | C11H16N2 | 176.26 | 91 | 134 | 56 | 3.78 | show | IQXXEPZFOOTTBA-UHFFFAOYSA-N | RM-reference material | 2016-05-12 | I-SEE project RM and report ( analysed in SI National Forensic Laboratory) | 1480-16 | ||
| Cannabinoids | JWH-018 | ![]() | 3-(naphthalene-1-carbonyl)-1-pentyl-1H-indole | AM-678, 1-Pentyl-3-(1-naphthoyl)indole | C24H23NO | 341.45 | 341 | 214 | 284 | 14.88 | show | JDNLPKCAXICMBW-UHFFFAOYSA-N | RM-reference material | 2016-05-12 | I-SEE project RM and report ( analysed in SI National Forensic Laboratory) | 1485-16 | ||
| Cathinones | Methcathinone | ![]() | 2-(methylamino)-1-phenyl-propan-1-one | Ephedrone | C10H13NO | 163.22 | 58 | 77 | 51 | 2.90 | show | LPLLVINFLBSFRP-UHFFFAOYSA-N | RM-reference material | 2016-05-12 | I-SEE project RM and report ( analysed in SI National Forensic Laboratory) | 1464-16 | ||
| Cannabinoids | 5F-AKB48 | ![]() | N-(adamantan-1-yl)-1-(5-fluoropentyl)-1H-indazole-3-carboxamide | AKB48 N-(5-fluoropentyl) analog; 5F-APINACA | C23H30FN3O | 383.51 | 233 | 145 | 294 | 15.71 | show | UCMFSGVIEPXYIV-UHFFFAOYSA-N | RM-reference material | 2016-05-12 | I-SEE project RM and report ( analysed in SI National Forensic Laboratory) | 1474-16 | ||
| Cannabinoids | JWH-073 | ![]() | naphthalen-1-yl-(1-butylindol-3-yl)methanone | 1-Butyl-3-(1-naphthoyl) indole | C23H21NO | 327.43 | 327 | 200 | 284 | 13.82 | show | VCHHHSMPMLNVGS-UHFFFAOYSA-N | RM-reference material | 2016-05-12 | I-SEE project RM and report ( analysed in SI National Forensic Laboratory) | 1487-16 | ||
| Phenethylamines | 2C-E | ![]() | 1-(2,5-Dimethoxy-4-ethylphenyl)-2-aminoethane | 2‐(4‐ethyl‐2,5‐dimethoxyphenyl)ethan‐1‐amine | C12H19NO2 | 209.29 | 180 | 165 | 30 | 4.85 | show | VDRGNAMREYBIHA-UHFFFAOYSA-N | RM-reference material | 2016-05-12 | I-SEE project RM and report ( analysed in SI National Forensic Laboratory) | 1466-16 | ||
| Cathinones | Methylone | ![]() | 1-(2H-1,3-benzodioxol-5-yl)-2-(methylamino)propan-1-one | C11H13NO3 | 207.23 | 58 | 65 | 63 | 5.14 | show | VKEQBMCRQDSRET-UHFFFAOYSA-N | RM-reference material | 2016-05-12 | I-SEE project RM and report ( analysed in SI National Forensic Laboratory) | 1498-16 | |||
| Benzodiazepines | Cloniprazepam | ![]() | 5-(2-chlorophenyl)-1-cyclopropylmethyl-7-nitro-3H-1,4-benzodiazepin-2-one | C19H16ClN3O3 | 369.81 | 340 | 55 | 125 | 13.62 | show | CCSYKGYLSFXNTA-UHFFFAOYSA-N | RM-reference material | 2016-05-19 | RESPONSE project; 2015-2017 | 1575-16 | |||
| Cathinones | PV8 | ![]() | 1-phenyl-2-(pyrrolidin-1-yl)heptan-1-one | α-PEP | C17H25NO | 259.39 | 154 | 155 | 77 | 6.85 | show | DLRWKNLMJAIFQB-UHFFFAOYSA-N | RM-reference material | 2016-05-19 | RESPONSE project; 2015-2017 | 1587-16 | ||
| Cathinones | Naphyrone | ![]() | 1-naphthalen-2-yl-2-pyrrolidin-1-ylpentan-1-one | Naphthylpyrovalerone | C19H23NO | 281.39 | 126 | 127 | 155 | 8.88 | show | DTNUPBSOODGRKW-UHFFFAOYSA-N | RM-reference material | 2016-05-19 | RESPONSE project; 2015-2017 | 1585-16 | ||
| Cathinones | 4-Ethylethcathinone | ![]() | 2-(ethylamino)-1-(4-ethylphenyl)propan-1-one | 4-ethyl-N-ethylcathinone, 4-EEC, 4-ethylethcathinone | C13H19NO | 205.30 | 72 | 44 | 77 | 4.50 | show | FAXVCSOMTSWQNT-UHFFFAOYSA-N | RM-reference material | 2016-05-19 | RESPONSE project; 2015-2017 | 1582-16 | ||
| Benzodiazepines | Pivoxazepam | ![]() | 7-Chloro-2-oxo-5-phenyl-2,3-dihydro-1H-1,4-benzodiazepin-3-yl pivalate | 7‐chloro‐2‐oxo‐5‐phenyl‐2,3‐dihydro‐1H‐1,4‐ benzodiazepin‐3‐yl 2,2‐dimethylpropanoate | C20H19ClN2O3 | 370.83 | 329 | 313 | 73 | 10.23 | show | FTJLKTBLZOULCL-UHFFFAOYSA-N | RM-reference material | for GC-MS compound was derivatized by MSTFA: GC-RT and MS spectrum refer for TMS derivative. Be aware of possible thermal decomposition in GC. | 2016-05-19 | RESPONSE project; 2015-2017 | 1577-16 | |
| Cathinones | 4-Ethylmethcathinone | ![]() | 1-(4-ethylphenyl)-2-(methylamino)propan-1-one | 4-Ethylmethcathinone; 4-EMC | C12H17NO | 191.27 | 58 | 77 | 56 | 4.13 | show | FUYPDKFWOHBUFT-UHFFFAOYSA-N | RM-reference material | 2016-05-19 | RESPONSE project; 2015-2017 | 1583-16 | ||
| Opioids | FU-F | ![]() | N-(1-(2-phenylethyl)-4-piperidinyl)-N-phenylfuran-2-carboxamide | Furanyl fentanyl | C24H26N2O2 | 374.48 | 283 | 95 | 240 | 13.68 | show | FZJVHWISUGFFQV-UHFFFAOYSA-N | RM-reference material | 2016-05-19 | RESPONSE project; 2015-2017 | 1588-16 | ||
| Cannabinoids | LTI-701 | ![]() | 1-(5-fluoropentyl)-N-phenyl-1H-indole-3-carboxamide | C20H21FN2O | 324.40 | 232 | 144 | 233 | 14.05 | show | FZYJALPWLNXEIP-UHFFFAOYSA-N | RM-reference material | 2016-05-19 | RESPONSE project; 2015-2017 | 1580-16 | |||
| Benzodiazepines | Adinazolam | ![]() | 1-(8-chloro-6-phenyl-4H-[1,2,4]triazolo[4,5-a][1,4]benzodiazepin-1-yl)-N,N-dimethylmethanamine | Adinazolamum, Deracyn | C19H18ClN5 | 351.84 | 308 | 310 | 309 | 13.43 | show | GJSLOMWRLALDCT-UHFFFAOYSA-N | RM-reference material | 2016-05-19 | RESPONSE project; 2015-2017 | 1574-16 | ||
| Cathinones | 3,4-DMMC | ![]() | 1-(3,4-dimethylphenyl)-2-(methylamino)propan-1-one | 3,4-Dimethylmethcathinone; 1-(3,4-dimethylphenyl)-2-(methylamino)propan-1-one; 1-(3,4-dimethylphenyl)-2-methylaminopropan-1-one; 1-Propanone, 1-(3,4-dimethylphenyl)-2-(methylamino)- | C12H17NO | 191.27 | 58 | 77 | 56 | 4.33 | show | IBZRXTVDTGVBIS-UHFFFAOYSA-N | RM-reference material | 2016-05-19 | 2018-04-13 | RESPONSE project; 2015-2017 | 1581-16 | |
| Cannabinoids | JWH-166 | ![]() | (6-methoxy-1-naphthalenyl)(1-pentyl-1H-indol-3-yl)-methanone | JWH 081 6-methoxynaphthyl isomer | C25H25NO2 | 371.48 | 371 | 214 | 354 | 17.14 | show | JCOOBICVPDFZNX-UHFFFAOYSA-N | RM-reference material | 2016-05-19 | RESPONSE project; 2015-2017 | 1578-16 | ||
| Cathinones | Mexedrone | ![]() | 3-methoxy-2-(methylamino)-1-(4-methylphenyl)propan-1-one | MEX, 4-MMC-oMe, | C12H17NO2 | 207.27 | 88 | 56 | 91 | 4.54 | show | JHGDCSPZKQLBOP-UHFFFAOYSA-N | RM-reference material | 2016-05-19 | RESPONSE project; 2015-2017 | 1584-16 | ||
| Plants & extracts | Mitragynine | ![]() | (E)-2-[(2S,3S)-3-ethyl-8-methoxy-1,2,3,4,6,7,12,12b- octahydroindolo[3,2-h]quinolizin-2-yl]-3- methoxyprop-2-enoic acid methyl ester | methyl (2E)‐2‐[(2S,3S)‐3‐ethyl‐8‐methoxy‐ 1H,2H,3H,4H,6H,7H,12H,12bH‐indolo[2,3‐a]quinolizin‐2‐ yl]‐3‐methoxyprop‐2‐enoate | C23H30N2O4 | 398.50 | 214 | 397 | 398 | 16.35 | show | LELBFTMXCIIKKX-JLIIPWMNSA-N | RM-reference material | 2016-05-19 | RESPONSE project; 2015-2017 | 1590-16 | ||
| Benzodiazepines | Metizolam | ![]() | 7-(2-chlorophenyl)-4-ethyl-3-thia-1,8,11,12-tetraazatricyclo[8.3.0.02,6]trideca-2(6),4,7,10,12-pentaene | Desmethyletizolam; 4-(2-Chlorophenyl)-2-ethyl-6H-thieno[3,2-f][1,2,4]triazolo[4,3-a][1,4]diazepine | C16H13ClN4S | 328.82 | 328 | 299 | 330 | 12.86 | show | NQSSWDKQLVBUQN-UHFFFAOYSA-N | RM-reference material | 2016-05-19 | RESPONSE project; 2015-2017 | 1576-16 | ||
| Cannabinoids | JWH-368 | ![]() | [5-(3-fluorophenyl)-1-pentyl-1H-pyrrol-3-yl]-1-naphthalenyl-methanone | C26H24FNO | 385.48 | 385 | 155 | 127 | 15.65 | show | OCOICOMCAJNSCA-UHFFFAOYSA-N | RM-reference material | 2016-05-19 | RESPONSE project; 2015-2017 | 1579-16 | |||
| Cathinones | NiPP | ![]() | 2-(Isopropylamino)-1-phenylpentan-1-one | 2-IPP, NPP, 1-phenyl-2-(1-methylethylamino)pentan-1-one, N-isopropylpentedrone, NiPP | C14H21NO | 219.33 | 114 | 72 | 77 | 4.21 | show | YKMMLFOYDTYAGR-UHFFFAOYSA-N | RM-reference material | 2016-05-19 | RESPONSE project; 2015-2017 | 1586-16 | ||
| Phenethylamines | 25I-NBOMe | ![]() | 2-(4-iodo-2,5-dimethoxyphenyl)-N-[(2-methoxyphenyl)methyl]ethanamine | 2C-I-NBOMe, Cimbi5 | C18H22INO3 | 427.28 | 121 | 150 | 91 | 11.23 | show | ZFUOLNAKPBFDIJ-UHFFFAOYSA-N | RM-reference material | 2016-05-19 | RESPONSE project; 2015-2017 | 1589-16 | ||
| Cannabinoids | JWH-200 | ![]() | 1-[2-(morpholin-4-yl)ethyl]-3-(naphthalene-1-carbonyl)-1H-indole | (1-(2-morpholin-4-ylethyl)indol-3-yl)-naphthalen-1-ylmethanone | C25H24N2O2 | 384.48 | 100 | 127 | 56 | 18.38 | show | SZWYXJHTNGJPKU-UHFFFAOYSA-N | RM-reference material | 2016-05-23 | I-SEE project RM and report ( analysed in SI National Forensic Laboratory) | 1496-16 | ||
| Benzodiazepines | Ro5-4864_(Chlorodiazepam) | ![]() | 7-Chloro-5-(4-chlorophenyl)-1-methyl-3H-1,4-benzodiazepin-2-one | 4'-Chlorodiazepam; Ro 5-4864; 4-Chlorodiazepam; RO5-4864; Chlorodiazepam | C16H12Cl2N2O | 319.19 | 290 | 317 | 292 | 10.59 | show | PUMYFTJOWAJIKF-UHFFFAOYSA-N | test purchase | 2016-05-24 | 2016-08-11 | RESPONSE project; 2015-2017 | 1567-16 | |
| Others | 3-Methylphenmetrazine | ![]() | 3‐methyl‐2‐(3‐methylphenyl)morpholine | 3-Methylphenmetrazine, 3-MPM, 3-MPH, 3-methyl-2-(m-tolyl)morpholin | C12H17NO | 191.27 | 71 | 56 | 42 | 4.09 | show | QEDQZYNGDXULGO-UHFFFAOYSA-N | test purchase | 2016-05-24 | RESPONSE project; 2015-2017 | 1540-16 | ||
| Piperidines & pyrrolidines | 4F-EPH | ![]() | ethyl 2-(4-fluorophenyl)-2-(piperidin-2-yl)acetate | p-fluoroethylphenidate, 4F-EPH, 4-fluoroethylphenidate | C15H20FNO2 | 265.33 | 84 | 109 | 56 | 5.71 | show | RKXQYWFDJDYSEN-UHFFFAOYSA-N | test purchase | 2016-05-24 | RESPONSE project; 2015-2017 | 1563-16 | ||
| Cathinones | Pentylone | ![]() | 1-(2H-1,3-benzodioxol-5-yl)-2-(methylamino)pentan-1-one | β-keto-methylbenzodioxolylpentanamine; βk-{N-methyl-1-(1,3-benzodioxol-5-yl)-2-pentanamine; βk-MBDP | C13H17NO3 | 235.28 | 86 | 149 | 65 | 6.21 | show | DFMLULIEUUXXSA-UHFFFAOYSA-N | test purchase | purchased as 2-NMC | 2016-05-31 | RESPONSE project; 2015-2017 | 1533-16 | |
| Others | Methylmorphenate | ![]() | methyl 2-(morpholin-3-yl)-2-phenylacetate | C13H17NO3 | 235.28 | 86 | 91 | 150 | 5.61 | show | FTSNQYGFVFQKHY-UHFFFAOYSA-N | test purchase | 2016-05-31 | RESPONSE project; 2015-2017 | 1538-16 | |||
| Benzodiazepines | Metizolam | ![]() | 7-(2-chlorophenyl)-4-ethyl-3-thia-1,8,11,12-tetraazatricyclo[8.3.0.02,6]trideca-2(6),4,7,10,12-pentaene | Desmethyletizolam; 4-(2-Chlorophenyl)-2-ethyl-6H-thieno[3,2-f][1,2,4]triazolo[4,3-a][1,4]diazepine | C16H13ClN4S | 328.82 | 328 | 299 | 330 | 12.87 | show | NQSSWDKQLVBUQN-UHFFFAOYSA-N | test purchase | 2016-05-31 | RESPONSE project; 2015-2017 | 1562-16 | ||
| Opioids | Carfentanil | ![]() | methyl 1-(2-phenylethyl)-4-(N-propanoylanilino)piperidine-4-carboxylate | 4-[(1-Oxopropyl)phenylamino]-1-(2-phenylethyl)-4-piperidinecarboxylic Acid Methyl Ester | C24H30N2O3 | 394.52 | 303 | 304 | 105 | 12.06 | show | YDSDEBIZUNNPOB-UHFFFAOYSA-N | RM-reference material | 2016-07-05 | RESPONSE project; 2015-2017 | 1375-16 | ||
| Aminoindanes | 5-IAI | ![]() | 5-Iodo-2,3-dihydro-1H-inden-2-amine | 2,3-dihydro-5-iodo-1H-inden-2-amine; 5-Iodo-2-aminoindane | C9H10IN | 259.09 | 259 | 115 | 117 | 4.82 | show | BIHPYCDDPGNWQO-UHFFFAOYSA-N | RM-reference material | 2016-07-18 | RESPONSE project; 2015-2017 | 1599-16 | ||
| Cannabinoids | 5-fluoro-SDB-005 | ![]() | naphthalen-1-yl 1-(5-fluoropentyl)-1H-indazole-3-carboxylate | 5F-SDB-005 | C23H21FN2O2 | 376.43 | 233 | 145 | 115 | 15.70 | show | FNMFGMMHNFDPNT-UHFFFAOYSA-N | RM-reference material | 2016-07-18 | RESPONSE project; 2015-2017 | 1605-16 | ||
| Aminoindanes | MDAI | ![]() | 2H,5H,6H,7H-indeno[5,6-d][1,3]dioxol-6-amine | 5,6-methylenedioxy-2-aminoindane; 6,7-dihydro-5H-cyclopenta[f] [1,3]benzodioxol-6-amine | C10H11NO2 | 177.20 | 160 | 149 | 177 | 4.33 | show | FQDRMHHCWZAXJM-UHFFFAOYSA-N | RM-reference material | 2016-07-18 | RESPONSE project; 2015-2017 | 1597-16 | ||
| Arylcyclohexylamines | deschloro-N-ethyl-ketamine | ![]() | 2-(ethylamino)-2-phenylcyclohexan-1-one | 2-(ethylamino)-2-phenyl-cyclohexanone; Eticyclidone; O-PCE; 2-Oxo-PCE | C14H19NO | 217.31 | 160 | 104 | 189 | 5.14 | show | IDLSBAANXISGEI-UHFFFAOYSA-N | RM-reference material | 2016-07-18 | RESPONSE project; 2015-2017 | 1607-16 | ||
| Aminoindanes | 2-AI | ![]() | 2,3-dihydro-1H-inden-2-amine | 2-Aminoindane | C9H11N | 133.19 | 133 | 116 | 91 | 2.50 | show | LMHHFZAXSANGGM-UHFFFAOYSA-N | RM-reference material | 2016-07-18 | RESPONSE project; 2015-2017 | 1598-16 | ||
| Cannabinoids | PX 2 | ![]() | N-(1-amino-1-oxo-3-phenylpropan-2-yl)-1-(5-fluoropentyl)-1H-indazole-3-carboxamide | N-(1-amino-1-oxo-3-phenylpropan-2-yl)-1-(5-fluoropentyl)-1H-indazole-3-carboxamide; 5-fluoro APP-PINACA; FU-PX; 5F-APP-PINACA | C22H25FN4O2 | 396.50 | 233 | 145 | 352 | 16.60 | show | OJTAHWMZBJRSIR-UHFFFAOYSA-N | RM-reference material | 2016-07-18 | RESPONSE project; 2015-2017 | 1609-16 | ||
| Others | 2-Isovaleryl-1_3-indanedione | ![]() | 2-isovalerylindan-1,3-dione | 2-(3-methylbutanoyl)-1H-indene-1,3(2H)-dione; 2-(3-methyl-1-oxobutyl)-1H-indene-1,3(2H)-dione; Valone; Isoval; 2-Isovaleryl-1,3-indanedione; Isovaleryl indandione; 2-Isovaleryl-1,3-indandione | C14H14O3 | 230.26 | 173 | 174 | 146 | 6.06 | show | PVWMAOPFDINGAY-UHFFFAOYSA-N | RM-reference material | 2016-07-18 | RESPONSE project; 2015-2017 | 1600-16 | ||
| Cannabinoids | SDB-006 N-phenyl analog | ![]() | 1-pentyl-N-phenyl-1H-indole-3-carboxamide | C20H22N2O | 306.41 | 214 | 144 | 215 | 13.00 | show | SPUQBSMPSCYQLS-UHFFFAOYSA-N | RM-reference material | 2016-07-18 | RESPONSE project; 2015-2017 | 1606-16 | |||
| Aminoindanes | N-methyl-2AI | ![]() | N-methyl-2,3-dihydro-1H-inden-2-amine | 2,3-dihydro-N-methyl-1H-inden-2-amine NM-2AI N-methyl-2-Aminoindane | C10H13N | 147.22 | 147 | 42 | 106 | 2.75 | show | SXWZQUCTTOBHJT-UHFFFAOYSA-N | RM-reference material | 2016-07-18 | RESPONSE project; 2015-2017 | 1596-16 | ||
| Phenethylamines | 25G_NBOMe | ![]() | [2-(2,5-dimethoxy-3,4-dimethylphenyl)ethyl][(2-methoxyphenyl)methyl]amine | NBOMe-2CG; 2C-G-NBOMe; 2,5-Dimethoxy-N-(2-methoxybenzyl)-3,4-dimethylphenethylamine | C20H27NO3 | 329.44 | 121 | 150 | 91 | 9.93 | show | VDAUMFACIMNTDA-UHFFFAOYSA-N | RM-reference material | 2016-07-18 | RESPONSE project; 2015-2017 | 1604-16 | ||
| Cannabinoids | 5-fluoro-JWH-018-adamantyl analog | ![]() | 3-(adamantane-1-carbonyl)-1-(5-fluoropentyl)-1H-indole | [1-(5-fluoropentyl)-1H-indol-3-yl]tricyclo[3.3.1.13,7]dec-1-yl-methanone; 5F-AB-001; AM2201 adamantyl analog | C24H30FNO | 367.51 | 232 | 144 | 233 | 15.37 | show | WBLLMFXPGHZFFP-UHFFFAOYSA-N | RM-reference material | 2016-07-18 | RESPONSE project; 2015-2017 | 1608-16 | ||
| Cathinones | 4F-α-PVP | ![]() | 1-(4-fluorophenyl)-2-(1-pyrrolidinyl)-1-pentanone | 4-fluoro-α-PVP; 1-(4-fluorophenyl)-2-(1-pyrrolidinyl)-pentan-1-one 4-fluoro-α-Pyrrolidinopentiophenone; 4-fluoro-α-2-(1-pyrrolidinyl)-Valerophenone; 4F-alpha-PVP; 4-fluoro-α-PVP | C15H20FNO | 249.33 | 126 | 95 | 127 | 5.45 | show | BQLSUBYYRRZHRK-UHFFFAOYSA-N | RM-reference material | 2016-07-19 | RESPONSE project; 2015-2017 | 1610-16 | ||
| Cathinones | 4-Fluorobuphedrone | ![]() | 1-(4-fluorophenyl)-2-(methylamino)butan-1-one | 4-FBP, 4-F-MABP; 4F-buphedrone | C11H14FNO | 195.24 | 72 | 95 | 57 | 3.13 | show | NEZHKHMZNSFKGS-UHFFFAOYSA-N | RM-reference material | 2016-07-19 | RESPONSE project; 2015-2017 | 1615-16 | ||
| Phenethylamines | 25I-NBMD | ![]() | [(2H-1,3-benzodioxol-4-yl)methyl][2-(4-iodo-2,5-dimethoxyphenyl)ethyl]amine | Cimbi-29 | C18H20INO4 | 441.26 | 135 | 164 | 77 | 12.22 | show | NJNMIPDEUMTYNV-UHFFFAOYSA-N | RM-reference material | 2016-07-19 | RESPONSE project; 2015-2017 | 1614-16 | ||
| Arylcyclohexylamines | 2-methoxy Ketamine | ![]() | 2-(2-methoxyphenyl)-2-(methylamino)cyclohexan-1-one | C14H19NO2 | 233.31 | 176 | 148 | 205 | 6.02 | show | OYAUVHORXFUVAJ-UHFFFAOYSA-N | RM-reference material | 2016-07-19 | RESPONSE project; 2015-2017 | 1613-16 | |||
| Arylcyclohexylamines | PCEEA | ![]() | N-(2-ethoxyethyl)-1-phenylcyclohexanamine | C16H25NO | 247.38 | 91 | 159 | 204 | 6.02 | show | PRQVCBDFWYTXDD-UHFFFAOYSA-N | RM-reference material | 2016-07-19 | RESPONSE project; 2015-2017 | 1612-16 | |||
| Phenethylamines | 25E-NBOMe | ![]() | 2-(4-ethyl-2,5-dimethoxyphenyl)-N-(2-methoxybenzyl)ethan-1-amine | 2C-E-NBOMe; NBOMe-2C-E | C20H27NO3 | 329.44 | 121 | 91 | 150 | 9.69 | show | PXDVGFGXPVCNAB-UHFFFAOYSA-N | RM-reference material | 2016-07-19 | RESPONSE project; 2015-2017 | 1611-16 | ||
| Cathinones | 4F-alpha-PVP | ![]() | 1-(4-fluorophenyl)-2-(pyrrolidin-1-yl)pentan-1-one; | 4-fluoro-alpha-2-(1-pyrrolidinyl)-valerophenone; 4-fluoro-alpha-pyrollidinovalerophenone; 1-(4-fluorophenyl)-2-(pyrrolidin-1-yl)-1-pentanone | C15H20FNO | 249.32 | 126 | 95 | show | BQLSUBYYRRZHRK-UHFFFAOYSA-N | analytical report | 2016-07-22 | Hungarian Institute of Forensic Science, Budapest, Hungary | RPT: HIFS-002 | ||||
| Phenethylamines | Methamnetamine | ![]() | N-methyl-1-(naphthalen-2-yl)propan-2-amine | MNA, MNT, N-methyl-PAL-287, methylnaphetamine, Methamnetamine | C14H17N | 199.29 | 58 | 115 | 141 | show | BWWWOLYZMKACSB-UHFFFAOYSA-N | analytical report | 2016-07-22 | Hungarian Institute of Forensic Science, Budapest, Hungary | RPT: HIFS-004 | |||
| Cannabinoids | Cumyl-4CN-BINACA | ![]() | 1-(4-cyanobutyl)-N-(1-methyl-1-phenylethyl)-1H-indazole-3-carboxamide | SGT-78, CUMYL-CYBINACA, Cumyl-CB-PINACA | C22H24N4O | 360.45 | 226 | 345 | 145 | show | JGTSOWOPISVAHG-UHFFFAOYSA-N | analytical report | 2016-07-22 | Hungarian Institute of Forensic Science, Budapest, Hungary | RPT: HIFS-001 | |||
| Cathinones | Dipentylone | ![]() | 1-(1,3-benzodioxol-5-yl)-2-(dimethylamino)pentan-1-one | 2 (dimethylamino) 3’,4’ (methylendioxy)valerophenone | C14H19NO3 | 249.31 | 100 | 58 | 71 | show | PQTJKFUXRBKONZ-UHFFFAOYSA-N | analytical report | 2016-07-22 | Hungarian Institute of Forensic Science, Budapest, Hungary | RPT: HIFS-005 | |||
| Arylcyclohexylamines | Deschloroketamine | ![]() | 2-(methylamino)-2-phenylcyclohexan-1-one | 2-(methylamino)-2-phenylcyclohexanone | C13H17NO | 203.28 | 146 | 175 | 104 | show | ZAGBSZSITDFFAF-UHFFFAOYSA-N | analytical report | 2016-07-22 | Hungarian Institute of Forensic Science, Budapest, Hungary | RPT: HIFS-003 | |||
| Opioids | Acryloyl-F | ![]() | N-(1-phenethylpiperidin-4-yl)-N-phenylacrylamide | Acrylfentanyl; Acryloylfentanyl; ACF; 1-phenethyl-4-N-acryloylanilinopiperidine; Acryloyl-F | C22H26N2O | 334.46 | 243 | 146 | 200 | 11.17 | show | RFQNLMWUIJJEQF-UHFFFAOYSA-N | test purchase | 2016-07-27 | RESPONSE project; 2015-2017 | 1565-16 | ||
| Phenethylamines | 25H-NBOMe | ![]() | [2-(2,5-dimethoxyphenyl)ethyl][(2-methoxyphenyl)methyl]amine | 2-(2,5-dimethoxyphenyl)-N-(2-methoxybenzyl)ethanamine; 2C-H-NBOMe | C18H23NO3 | 301.39 | 121 | 150 | 91 | 9.21 | show | RMLXCDMTGWSEOU-UHFFFAOYSA-N | RM-reference material | 2016-07-27 | RESPONSE project; 2015-2017 | 1625-16 | ||
| Phenethylamines | 30C-NBOMe | ![]() | [2-(4-chloro-2,5-dimethoxyphenyl)ethyl][(3,4,5-trimethoxyphenyl)methyl]amine | 2-(4-chloro-2,5-dimethoxyphenyl)-N-(3,4,5-trimethoxybenzyl)ethanamine | C20H26ClNO5 | 395.88 | 181 | 182 | 210 | 12.31 | show | ZQYYVTABADQBTJ-UHFFFAOYSA-N | RM-reference material | 2016-07-27 | RESPONSE project; 2015-2017 | 1624-16 | ||
| Phenethylamines | 25T-NBOMe | ![]() | {2-[2,5-dimethoxy-4-(methylsulfanyl)phenyl]ethyl}[(2-methoxyphenyl)methyl]amine | 2,5-dimethoxy-N-[(2-methoxyphenyl)methyl]-4-(methylthio)-benzeneethanamine; 2C-T-NBOMe; 25T2-NBOMe; | C19H25NO3S | 347.47 | 121 | 91 | 150 | 11.09 | show | ZWPIZVVOKGWMFW-UHFFFAOYSA-N | RM-reference material | 2016-07-27 | RESPONSE project; 2015-2017 | 1623-16 | ||
| Opioids | 4Cl-iBF | ![]() | N-(4-chlorophenyl)-N-(1-phenethylpiperidin-4-yl)isobutyramide | 4-Cl-iBF | C23H29ClN2O | 384.95 | 293 | 223 | 180 | 12.22 | show | YWHLYGSHOQKCJG-UHFFFAOYSA-N | test purchase | 2016-07-29 | RESPONSE project; 2015-2017 | 1566-16 | ||
| Others | Indane | ![]() | 2,3-dihydro-1H-indene | 1,2-hydrindene, hydrindonaphthene, hydrindene | C9H10 | 118.18 | 117 | 118 | 115 | 2.09 | show | PQNFLJBBNBOBRQ-UHFFFAOYSA-N | RM-reference material | 2016-08-03 | RESPONSE project; 2015-2017 | 1618-16 | ||
| Others | 1,3-Indanedione | ![]() | 2,3-dihydro-1H-indene-1,3-dione | 1,3-Dioxoindan | C9H6O2 | 146.15 | 146 | 104 | 76 | 2.90 | show | UHKAJLSKXBADFT-UHFFFAOYSA-N | RM-reference material | 2016-08-03 | RESPONSE project; 2015-2017 | 1617-16 | ||
| Arylcyclohexylamines | Ketamine related compound A | ![]() | 1-[(2-chlorophenyl)(methylimino)methyl]cyclopentan-1-ol | 1-[(2-Chlorophenyl)(methylimino)methyl]cyclopentanol | C13H16ClNO | 237.73 | 152 | 154 | 138 | 5.51 | show | FJGPXUPMNZOTLX-UHFFFAOYSA-N | RM-reference material | 2016-08-10 | RESPONSE project; 2015-2017 | 1601-16 | ||
| Benzodiazepines | Nitrazolam | ![]() | 3-methyl-12-nitro-9-phenyl-2,4,5,8-tetraazatricyclo[8.4.0.02,6]tetradeca-1(14),3,5,8,10,12-hexaene | 1-methyl-8-nitro-6-phenyl-4H-[1,2,4]triazolo[4,3-a][1,4]benzodiazepine | C17H13N5O2 | 319.32 | 302 | 204 | 272 | 14.61 | show | OYRPNABWTHDOFK-UHFFFAOYSA-N | collected | 2016-08-10 | Institute of forensic medicine, University of Freiburg, Germany (NMR confirmed sample). | 1452-16 | ||
| Opioids | 4F-iBF | ![]() | N-(4-fluorophenyl)-2-methyl-N-[1-(2-phenylethyl)piperidin-4-yl]propanamide | N-(4-Fluorophenyl)-N-(1-phenethyl-4-piperidinyl)isobutyramide; 4-fluoro-isobutrylfentanyl | C23H29FN2O | 368.50 | 277 | 207 | 164 | 10.78 | show | OZDOSQNUJIXEOR-UHFFFAOYSA-N | test purchase | 2016-08-10 | RESPONSE project; 2015-2017 | 1573-16 | ||
| Phenethylamines | Methamnetamine | ![]() | N-methyl-1-(naphthalen-2-yl)propan-2-amine | MNA, MNT, N-methyl-PAL-287, methylnaphetamine, Methamnetamine | C14H17N | 199.30 | 58 | 115 | 141 | 5.35 | show | BWWWOLYZMKACSB-UHFFFAOYSA-N | collected | 2016-08-12 | 2017-08-02 | Institute of forensic medicine, University of Freiburg, Germany. | 1440-16 | |
| Piperazine derivates | Sunifiram | ![]() | 1-(4-benzoylpiperazin-1-yl)propan-1-one | DM-235 | C14H18N2O2 | 246.30 | 105 | 85 | 77 | 8.61 | show | DGOWDUFJCINDGI-UHFFFAOYSA-N | test purchase | Nootropic | 2016-08-12 | RESPONSE project; 2015-2017 | 1537-16 | |
| Piperazine derivates | Methoxypiperamide | ![]() | 1-(4-methoxybenzoyl)-4-methylpiperazine | (4-Methoxyphenyl)(4-methylpiperazin-1-yl)methanone; Methoxypiperamide; MEXP, MeOP | C13H18N2O2 | 234.30 | 70 | 135 | 83 | 7.40 | show | DWPVVZZGGGCRRM-UHFFFAOYSA-N | collected | 2016-08-16 | Institute of forensic medicine, University of Freiburg, Germany. | 1439-16 | ||
| Others | Nitracaine | ![]() | 3-(diethylamino)-2,2-dimethylpropyl 4-nitrobenzoate | N,N-diethyl-2,2-dimethyl-3-((4-nitrobenzoyl)oxy)propan-1-amin | C16H24N2O4 | 308.38 | 86 | 87 | 58 | 8.05 | show | SPTIETJWCCCJSE-UHFFFAOYSA-N | collected | 2016-08-25 | Institute of forensic medicine, University of Freiburg, Germany. | 1443-16 | ||
| Benzodiazepines | Fonazepam | ![]() | 5-(2-fluoro-phenyl)-7-nitro-1,3-dihydro benzo[e][1,4]diazepin-2-one | N-desmethylflunitrazepam; desmethylflunitrazepam; norflunitrazepam; demethylflunitrazepam; Ro 5-4435 | C15H10FN3O3 | 299.26 | 298 | 224 | 271 | 10.68 | show | KNGIGRDYBQPXKQ-UHFFFAOYSA-N | collected | 2016-08-31 | Institute of forensic medicine, University of Freiburg, Germany. | 1646-16 | ||
| Cannabinoids | JWH-308 | ![]() | 2-(4-fluorophenyl)-4-(naphthalene-1-carbonyl)-1-pentyl-1H-pyrrole | 1-pentyl-3-(1-naphthoyl)-5-(4-fluorophenyl)-pyrrole; (5-(4-fluorophenyl)-1-pentyl-1H-pyrrol-3-yl)(naphthalen-1-yl)methanone | C26H24FNO | 385.48 | 155 | 127 | 385 | 15.66 | show | PJNACIYIFHTDCK-UHFFFAOYSA-N | RM-reference material | 2016-09-08 | I-SEE project RM and report ( analysed in SI National Forensic Laboratory) | 1654-16 | ||
| Cannabinoids | 5F-MDMB-PINACA | ![]() | methyl (2S)-2-{[1-(5-fluoropentyl)-1H-indazol-3-yl]formamido}-3,3-dimethylbutanoate | 5F-ADB, ADB-5F, 5F-methyl-AMB, 5-fluoro-MAMB | C20H28FN3O3 | 377.46 | 233 | 145 | 131 | 10.58 | show | PWEKNGSNNAKWBL-QGZVFWFLSA-N | RM-reference material | (impurity detected by GC-MS) | 2016-09-08 | I-SEE project RM and report ( analysed in SI National Forensic Laboratory) | 1652-16 | |
| Arylcyclohexylamines | Tiletamine | ![]() | 2-(ethylamino)-2-(thiophen-2-yl)cyclohexan-1-one | C12H17NOS | 223.33 | 166 | 110 | 195 | 5.10 | show | QAXBVGVYDCAVLV-UHFFFAOYSA-N | RM-reference material | 2016-09-08 | 2018-04-11 | I-SEE project RM and report ( analysed in SI National Forensic Laboratory) | 1645-16 | ||
| Cannabinoids | JWH-369 | ![]() | 2-(2-chlorophenyl)-4-(naphthalene-1-carbonyl)-1-pentyl-1H-pyrrole | [5-(2-chlorophenyl)-1-pentyl-1H-pyrrol-3-yl]-1-naphthalenyl-methanone | C26H24ClNO | 401.93 | 155 | 127 | 401 | 16.75 | show | SUELCWQJMQQCTF-UHFFFAOYSA-N | RM-reference material | 2016-09-08 | I-SEE project RM and report ( analysed in SI National Forensic Laboratory) | 1653-16 | ||
| Phenethylamines | 25B-NBOMe | ![]() | [2-(4-bromo-2,5-dimethoxyphenyl)ethyl][(2-methoxyphenyl)methyl]amine | NBOMe-2C-B, Cimbi-36, Nova, BOM 2-CB, 2C-B-NBOMe | C18H22BrNO3 | 380.28 | 121 | 150 | 91 | 10.54 | show | SUXGNJVVBGJEFB-UHFFFAOYSA-N | RM-reference material | 2016-09-08 | I-SEE project RM and report ( analysed in SI National Forensic Laboratory) | 1649-16 | ||
| Phenethylamines | TMA-2 | ![]() | 1-(2,4,5-trimethoxyphenyl)propan-2-amine | CHEMBL8389 | C12H19NO3 | 225.29 | 44 | 182 | 167 | 5.23 | show | TVSIMAWGATVNGK-UHFFFAOYSA-N | RM-reference material | 2016-09-08 | I-SEE project RM and report ( analysed in SI National Forensic Laboratory) | 1651-16 | ||
| Phenethylamines | 2C-B-fly | ![]() | 2-{8-bromo-4,10-dioxatricyclo[7.3.0.03,7]dodeca-1,3(7),8-trien-2-yl}ethan-1-amine | 2C-bromo-fly | C12H14BrNO2 | 284.15 | 254 | 256 | 115 | 8.19 | show | YZDFADGMVOSVIX-UHFFFAOYSA-N | RM-reference material | 2016-09-08 | I-SEE project RM and report ( analysed in SI National Forensic Laboratory) | 1647-16 | ||
| Phenethylamines | 5-MAPDI | ![]() | [1‐(2,3‐dihydro‐1H‐inden‐5‐yl)propan‐2‐yl](methyl)amine | indanylmethylaminopropane, 1-(2,3-dihydro-1H-inden-5-yl)-N-methylpropan-2-amine, IMA , IMP , Indanylmethylaminopropane , N-Methyl-3,4-trimethyleneamphetamine | C13H19N | 189.30 | 58 | 115 | 56 | 4.19 | show | MHBKJTHGGWQKSG-UHFFFAOYSA-N | test purchase | 2016-09-13 | RESPONSE project; 2015-2017 | 1658-16 | ||
| Benzodiazepines | Meclonazepam | ![]() | 5-(2-chlorophenyl)-3-methyl-7-nitro-1,3-dihydro-1,4-benzodiazepin-2-one | 3-methylclonazepam | C16H12ClN3O3 | 329.74 | 294 | 288 | 286 | 11.60 | show | LMUVYJCAFWGNSY-UHFFFAOYSA-N | test purchase | 2016-09-15 | RESPONSE project; 2015-2017 | 1670-16 | ||
| Indolalkylamines (fe tryptamines) | 4-AcO-DMT | ![]() | 3-[2-(Dimethylamino)ethyl]-1H-indol-4-yl acetate | 4-acetoxy-N,N-dimethyltryptamine, O-Acetylpsilocin, Psilacetin, 4-Acetoxy-DMT | C14H18N2O2 | 246.31 | 58 | 146 | 59 | 7.81 | show | RTLRUOSYLFOFHV-UHFFFAOYSA-N | test purchase | 2016-09-15 | RESPONSE project; 2015-2017 | 1667-16 | ||
| Piperidines & pyrrolidines | 4-Me-TMP | ![]() | methyl-2-(4-methylphenyl)-2-(piperidin-2-yl)acetate | methyl 2-(2-piperidyl)-2-(p-tolyl)acetate, threo-4-Methylmethylphenidate, 4-Methylmethylphenidate, 4MeTMP | C15H21NO2 | 247.34 | 84 | 105 | 164 | 6.07 | show | WJZNCJIOIACDBR-UHFFFAOYSA-N | test purchase | 2016-09-15 | RESPONSE project; 2015-2017 | 1669-16 | ||
| Cannabinoids | AMB-FUBICA | ![]() | methyl 2‐({1‐[(4‐fluorophenyl)methyl]‐1H‐indol‐3‐yl}formamido)‐3‐methylbutanoate | FUB-AMB-indole; MMB-FUBICA; (N-[[1-[(4-fluorophenyl)methyl]-1H-indol-3-yl]carbonyl]-L-valine, methyl ester (Cayman- L- isomer defined) | C22H23FN2O3 | 382.43 | 109 | 252 | 268 | 13.21 | show | NYQOGZPXNJSYDW-UHFFFAOYSA-N | test purchase | 2016-09-21 | RESPONSE project; 2015-2017 | 1657-16 | ||
| Indolalkylamines (fe tryptamines) | 4-HO-MiPT | ![]() | 3-{2-[methyl(propan-2-yl)amino]ethyl}-1H-indol-4-ol | 4-hydroxy-N,N-methylisopropyltryptamine; miprocin, 4-hydroxy-N-methyl-N-isopropyltryptamine | C14H20N2O | 232.33 | 86 | 232 | 146 | 7.97 | show | RXKGHZCQFXXWFQ-UHFFFAOYSA-N | test purchase | 2016-09-21 | RESPONSE project; 2015-2017 | 1664-16 | ||
| Indolalkylamines (fe tryptamines) | ETH-LAD | ![]() | N,N,6-triethyl-6,11-diazatetracyclo[7.6.1.02,7.012,16]hexadeca-1(16),2,9,12,14-pentaene-4-carboxamide | N-ethyl-nor-LSD | C21H27N3O | 337.47 | 235 | 181 | 337 | 15.27 | show | MYNOUXJLOHVSMQ-UHFFFAOYSA-N | collected | 2016-09-22 | RESPONSE project; 2015-2017 | 1678-16 | ||
| Arylalkylamines | 6-IT | ![]() | 1-(1H-indol-6-yl)propan-2-amine | (2-(1H-Indol-6-yl)-1-methylethyl)amine; [2-(1H-Indol-6-yl)-1-methylethyl]amine; 6-Aminopropylindole; alpha-methyl-1H-indole-6-ethanamine | C11H14N2 | 174.25 | 131 | 44 | 130 | 5.48 | show | QCFIFKAOUKPFPU-UHFFFAOYSA-N | RM-reference material | 2016-09-22 | RESPONSE project; 2015-2017 | 1644-16 | ||
| Cathinones | 4-MPD | ![]() | 2-(methylamino)-1-(4-methylphenyl)pentan-1-one | 4-Methylpentedrone; 1-(4-Methylphenyl)-2-methylamino-pentan-1-one; 2-(methylamino)-1-(p-tolyl)pentan-1-one | C13H19NO | 205.30 | 86 | 44 | 91 | 4.48 | show | AKVKBEDACKJNPO-UHFFFAOYSA-N | collected | 2016-09-30 | FSI Ivan Vučetić, Zagreb, Croatia (NMR confirmed sample) | 1695-16 | ||
| Others | Phenibut | ![]() | 4-amino-3-phenylbutanoic acid | Fenibut, Phenygam, Phenylgamma, PHG, PhGABA | C10H13NO2 | 179.22 | 104 | 161 | 103 | 5.07 | show | DAFOCGYVTAOKAJ-UHFFFAOYSA-N | seized | 2016-09-30 | Slovenian Customs Laboratory | 1674-16 | ||
| Cannabinoids | 5F-PB-22 | ![]() | quinolin-8-yl 1-(5-fluoropentyl)-1H-indole-3-carboxylate | 5-fluoro QUPIC, 5-fluoro-PB-22 | C23H21FN2O2 | 376.43 | 232 | 144 | 233 | 17.11 | show | MBOCMBFDYVSGLJ-UHFFFAOYSA-N | seized | 2016-10-03 | RESPONSE project; 2015-2017 | 1673-16 | ||
| Piperidines & pyrrolidines | Coluracetam | ![]() | N-{2,3-dimethyl-5H,6H,7H,8H-furo[2,3-b]quinolin-4-yl}-2-(2-oxopyrrolidin-1-yl)acetamide | BCI-540, MKC-231 | C19H23N3O3 | 341.40 | 98 | 215 | 70 | 15.63 | show | PSPGQHXMUKWNDI-UHFFFAOYSA-N | test purchase | nootropic | 2016-10-03 | RESPONSE project; 2015-2017 | 1677-16 | |
| Phenethylamines | 25C-NB3OMe | ![]() | [2-(4-chloro-2,5-dimethoxyphenyl)ethyl][(3-methoxyphenyl)methyl]amine | N-(3-methoxybenzyl)-2-(4-chloro-2,5-dimethoxyphenyl)ethylamine; 3-Methoxy-25C-NBOMe | C18H22ClNO3 | 335.83 | 121 | 150 | 91 | 10.34 | show | CSLNJUOCJZCEIR-UHFFFAOYSA-N | RM-reference material | 2016-10-10 | I-SEE project RM and report ( analysed in SI National Forensic Laboratory) | 1688-16 | ||
| Cathinones | TH-PBP | ![]() | 2-(pyrrolidin-1-yl)-1-(5,6,7,8-tetrahydronaphthalen-2-yl)butan-1-one | 3',4'-tetramethylene-alpha-Pyrrolidinobutiophenone | C18H25NO | 271.40 | 112 | 113 | 91 | 8.45 | show | DNKYSKGKPOHTKY-UHFFFAOYSA-N | RM-reference material | 2016-10-10 | I-SEE project RM and report ( analysed in SI National Forensic Laboratory) | 1684-16 | ||
| Arylalkylamines | 5-AEDB | ![]() | 2-(2,3-dihydro-1-benzofuran-5-yl)ethan-1-amine | 5-(2-Aminoethyl)-2,3-dihydrobenzofuran | C10H13NO | 163.22 | 134 | 133 | 30 | 3.97 | show | GDRWGOBKFDGTJB-UHFFFAOYSA-N | RM-reference material | 2016-10-10 | I-SEE project RM and report ( analysed in SI National Forensic Laboratory) | 1679-16 | ||
| Arylalkylamines | TDIQ | ![]() | 2H,5H,6H,7H,8H-[1,3]dioxolo[4,5-g]isoquinoline | 5,6,7,8-tetrahydro-1,3-dioxolo[4,5-g]isoquinoline; MDTHIQ; 6,7-Methylenedioxy-1,2,3,4-tetrahydroisoquinoline | C10H11NO2 | 177.20 | 148 | 176 | 177 | 4.75 | show | JHLDJOBIUVJSTG-UHFFFAOYSA-N | RM-reference material | 2016-10-10 | I-SEE project RM and report ( analysed in SI National Forensic Laboratory) | 1682-16 | ||
| Cathinones | 3,4-Trimethylene-alpha-PVP | ![]() | 1-(2,3-dihydro-1H-inden-5-yl)-2-(pyrrolidin-1-yl)pentan-1-one | 3',4'-trimethylene-.alpha.-Pyrrolidinovalerophenone; Indanyl-.alpha.-PVP; 3',4'-trimethylene-.alpha.-PVP; | C18H25NO | 271.40 | 126 | 127 | 115 | 8.13 | show | NBZPCEWLKPSIIL-UHFFFAOYSA-N | RM-reference material | 2016-10-10 | I-SEE project RM and report ( analysed in SI National Forensic Laboratory) | 1683-16 | ||
| Phenethylamines | DOBU | ![]() | 1-(4-butyl-2,5-dimethoxyphenyl)propan-2-amine | 4-butyl-2,5-dimethoxy-alpha-methyl-benzeneethanamine | C15H25NO2 | 251.37 | 208 | 165 | 209 | 6.04 | show | NGVDYAULSQKEGW-UHFFFAOYSA-N | RM-reference material | 2016-10-10 | I-SEE project RM and report ( analysed in SI National Forensic Laboratory) | 1689-16 | ||
| Phenethylamines | DOAM | ![]() | 1-(2,5-dimethoxy-4-pentylphenyl)propan-2-amine | 2,5-Dimethoxy-4-amylamphetamine; 2,5-Dimethoxy-4-pentylamphetamine | C16H27NO2 | 265.40 | 222 | 165 | 223 | 6.63 | show | VLJORLCVOAUUKM-UHFFFAOYSA-N | RM-reference material | 2016-10-10 | I-SEE project RM and report ( analysed in SI National Forensic Laboratory) | 1690-16 | ||
| Indolalkylamines (fe tryptamines) | 6-MeO-DiPT | ![]() | [2-(6-methoxy-1H-indol-3-yl)ethyl]bis(propan-2-yl)amine | 6-methoxy-N,N-Diisopropyltryptamine; 6-Methoxy DiPT; 6-methoxy-N,N-bis(1-methylethyl)-1H-indole-3-ethanamine | C17H26N2O | 274.41 | 114 | 72 | 160 | 8.81 | show | VVHSFCPALYIWMT-UHFFFAOYSA-N | RM-reference material | 2016-10-10 | I-SEE project RM and report ( analysed in SI National Forensic Laboratory) | 1693-16 | ||
| Phenethylamines | 2C-iP | ![]() | 2-[2,5-dimethoxy-4-(propan-2-yl)phenyl]ethan-1-amine | 2-(4-isopropyl-2,5-dimethoxyphenyl)ethan-1-amine | C13H21NO2 | 223.32 | 194 | 179 | 30 | 5.09 | show | XUGPCRRUMVWELT-UHFFFAOYSA-N | RM-reference material | 2016-10-10 | I-SEE project RM and report ( analysed in SI National Forensic Laboratory) | 1691-16 | ||
| Cannabinoids | EMB-FUBINACA | ![]() | ethyl 2-({1-[(4-fluorophenyl)methyl]-1H-indazol-3-yl}formamido)-3-methylbutanoate | 5-fluoro EMB-FUBINACA; FU-AEB; ethyl (1-(4-fluorobenzyl)-1H-indazole-3-carbonyl)-L-valinate | C22H24FN3O3 | 397.44 | 253 | 109 | 324 | 12.02 | show | YOECWCNJGHHTMN-UHFFFAOYSA-N | RM-reference material | 2016-10-10 | 2016-11-14 | I-SEE project RM and report ( analysed in SI National Forensic Laboratory) | 1686-16 | |
| Cathinones | 3,4-Trimethylenepentedrone | ![]() | 1-(2,3-dihydro-1H-inden-5-yl)-2-(methylamino)pentan-1-one | 3',4'-trimethylene-.alpha.-methylamino-Valerophenone; Indanylpentedrone | C15H21NO | 231.34 | 86 | 115 | 87 | 6.49 | show | ZCTUUSNQUQURDL-UHFFFAOYSA-N | RM-reference material | 2016-10-10 | I-SEE project RM and report ( analysed in SI National Forensic Laboratory) | 1680-16 | ||
| Phenethylamines | 2C-P-NBOMe | ![]() | [2-(2,5-dimethoxy-4-propylphenyl)ethyl][(2-methoxyphenyl)methyl]amine | 25P-NB2OMe; 2-(4-Propyl-2,5-dimethoxyphenyl)-N-(2-methoxybenzyl)ethanamine | C21H29NO3 | 343.46 | 121 | 150 | 91 | 10.09 | show | QHEBYIJRKGDFGH-UHFFFAOYSA-N | RM-reference material | 2016-10-13 | 2018-05-28 | I-SEE project RM and report ( analysed in SI National Forensic Laboratory) | 1681-16 | |
| Arylcyclohexylamines | 3-MeO-PCMMo | ![]() | 4-((1-(3-methoxyphenyl)cyclohexyl)methyl)morpholine | C18H27NO2 | 289.40 | 100 | 101 | 56 | 8.09 | show | KVDDTOKOCUZIFC-UHFFFAOYSA-N | test purchase | 2016-10-18 | RESPONSE project; 2015-2017 | 1662-16 | |||
| Cannabinoids | 5F-MDMB-PICA | ![]() | methyl 2-{[1-(5-fluoropentyl)-1H-indol-3-yl]formamido}-3,3-dimethylbutanoate | 5F-MDMB-2201, MDMB-2201 | C21H29FN2O3 | 376.46 | 232 | 144 | 233 | show | CHSUEEBESACQDV-UHFFFAOYSA-N | analytical report | 2016-10-20 | CLEN2SAND project data provided by the European Commission Joint Research Centre (JRC), DG TAXUD and the CLEN | RPT: JRC-16100003 | |||
| Cannabinoids | CUMYL-4CN-BINACA | ![]() | 1-(4-cyanobutyl)-N-(1-methyl-1-phenylethyl)-1H-indazole-3-carboxamide | SGT-78, CUMYL-CYBINACA; Cumyl-CB-PINACA | C22H24N4O | 360.45 | 226 | 345 | 145 | 14.04 | show | JGTSOWOPISVAHG-UHFFFAOYSA-N | test purchase | purchased as R-30490 | 2016-10-24 | RESPONSE project; 2015-2017 | 1666-16 | |
| Cannabinoids | MN-24 | ![]() | N-(naphthalen-1-yl)-1-pentyl-1H-indole-3-carboxamide | JWH-018 Carboxamide Derivative, MN-24, NNEI, AM-6527 | C24H24N2O | 356.47 | 214 | 144 | 215 | 18.12 | show | GWCQNKRMTGVYIZ-UHFFFAOYSA-N | collected | 2016-10-25 | Institute of forensic medicine, University of Freiburg, Germany. | 1457-16 | ||
| Cathinones | 4-MEAP | ![]() | 2-(ethylamino)-1-(4-methylphenyl)pentan-1-one | 4-Methyl-N-ethylnorpentedrone; 2-(ethylamino)-4'-methyl- valerophenone; 1-p-Tolyl-2-ethylamino-pentanone-(1) | C14H21NO | 219.33 | 100 | 58 | 91 | 4.85 | show | IKIANZXWCBSIGA-UHFFFAOYSA-N | collected | 2016-10-25 | FSI Ivan Vučetić, Zagreb, Croatia (NMR confirmed sample) | 1696-16 | ||
| Cannabinoids | EG-2201 | ![]() | 9-(5-fluoropentyl)-3-(naphthalene-1-carbonyl)-9H-carbazole | (9-(5-fluoropentyl)-9H-carbazol-3-yl)(naphthalen-1-yl)methanone | C28H24FNO | 409.50 | 334 | 409 | 127 | 21.95 | show | LYDDINAZVHIBGP-UHFFFAOYSA-N | collected | 2016-10-25 | 2018-04-13 | Institute of forensic medicine, University of Freiburg, Germany. | 1461-16 | |
| Cannabinoids | A-834735 | ![]() | 1-[(oxan-4-yl)methyl]-3-(2,2,3,3-tetramethylcyclopropanecarbonyl)-1H-indole | [1-[(tetrahydro-2H-pyran-4-yl)methyl]-1H-indol-3-yl](2,2,3,3-tetramethylcyclopropyl)-methanone | C22H29NO2 | 339.48 | 242 | 324 | 69 | 11.48 | show | NQTMRZNYLIGQCF-UHFFFAOYSA-N | collected | 2016-10-25 | Institute of forensic medicine, University of Freiburg, Germany. | 1453-16 | ||
| Phenethylamines | 25N-NBOMe | ![]() | 2-(2,5-Dimethoxy-4-nitrophenyl)-N-(2-methoxybenzyl)ethanamine | 2C-N-NBOMe, NBOMe-2C-N | C18H22N2O5 | 346.38 | 121 | 91 | 150 | 11.42 | show | TXCKTIBHURMASQ-UHFFFAOYSA-N | RM-reference material | 2016-10-26 | RESPONSE project; 2015-2017 | 1621-16 | ||
| Phenethylamines | 25I-NBOMe-metabolite | ![]() | 4-({[2-(4-iodo-2,5-dimethoxyphenyl)ethyl]amino}methyl)-3-methoxyphenol | 2C-I-NBOMe-M1 | C18H22INO4 | 443.28 | 137 | 290 | 179 | 17.02 | show | SOVZUKWDXFGFTI-UHFFFAOYSA-N | RM-reference material | GC-RT and MS spectrum refer for acetyl derivative of compound, non dervatized compound decomposed to 2C-I | 2016-10-27 | I-SEE project RM and report ( analysed in SI National Forensic Laboratory) | 1656-16 | |
| Opioids | Valerylfentanyl | ![]() | N-phenyl-N-[1-(2-phenylethyl)piperidin-4-yl]pentanamide | Penta-Fentanyl, fentanyl pentanamide analogue, TCE, VF | C24H32N2O | 364.52 | 273 | 146 | 189 | 12.28 | show | VCCPXHWAJYWQMR-UHFFFAOYSA-N | test purchase | 2016-10-27 | RESPONSE project; 2015-2017 | 1665-16 | ||
| Indolalkylamines (fe tryptamines) | 7-MeO-DiPT | ![]() | [2-(7-methoxy-1H-indol-3-yl)ethyl]bis(propan-2-yl)amine | 7-methoxy-N,N-Diisopropyltryptamine; 7-MeO DiPT; N-isopropyl-N-(2-(7-methoxy-1H-indol-3-yl)ethyl)propan-2-amine | C17H26N2O | 274.41 | 114 | 72 | 115 | 8.37 | show | CYDOUMFFIKOFBJ-UHFFFAOYSA-N | RM-reference material | 2016-11-17 | I-SEE project RM and report ( analysed in SI National Forensic Laboratory) | 1694-16 | ||
| Indolalkylamines (fe tryptamines) | 5-MeO-EPT | ![]() | ethyl[2-(5-methoxy-1H-indol-3-yl)ethyl]propylamine | 5-Methoxy-EPT; 5-methoxy-N-ethyl-N-Propyltryptamine; N-ethyl-N-(2-(5-methoxy-1H-indol-3-yl)ethyl)propan-1-amine | C16H24N2O | 260.38 | 100 | 58 | 101 | 8.33 | show | OQHFIOKNGNJPPF-UHFFFAOYSA-N | RM-reference material | 2016-11-17 | I-SEE project RM and report ( analysed in SI National Forensic Laboratory) | 1687-16 | ||
| Indolalkylamines (fe tryptamines) | 4-MeO-DiPT | ![]() | [2-(4-methoxy-1H-indol-3-yl)ethyl]bis(propan-2-yl)amine | 4-MeO DiPT; 4-methoxy-N,N-Diisopropyltryptamine; N-isopropyl-N-(2-(4-methoxy-1H-indol-3-yl)ethyl)propan-2-amine | C17H26N2O | 274.41 | 114 | 72 | 115 | 8.43 | show | WIVWUNUDMXNQJD-UHFFFAOYSA-N | RM-reference material | 2016-11-17 | I-SEE project RM and report ( analysed in SI National Forensic Laboratory) | 1692-16 | ||
| Opioids | Methoxyacetyl-F | ![]() | 2-methoxy-N-phenyl-N-[1-(2-phenylethyl)piperidin-4-yl]acetamide | Methoxy-AcF, Methoxyacetyl fentanyl | C22H28N2O2 | 352.48 | 261 | 158 | 218 | 11.87 | show | SADNVKRDSWWFTK-UHFFFAOYSA-N | test purchase | 2016-12-02 | RESPONSE project; 2015-2017 | 1733-16 | ||
| Phenethylamines | MDA 2-aldoxime analog | ![]() | N-[3-(2H-1,3-benzodioxol-5-yl)-2-methylpropylidene]hydroxylamine | alpha-Methyl-1,3-benzodioxole-5-propanal oxime; | C11H13NO3 | 207.23 | 135 | 77 | 51 | 5.36 | show | ISLHQWBNLXYVQG-UHFFFAOYSA-N | RM-reference material | (mixture of two isomers Z,E) | 2016-12-03 | I-SEE project RM and report ( analysed in SI National Forensic Laboratory) | 1648-16 | |
| Cathinones | 4-CMC | ![]() | 1-(4-chlorophenyl)-2-(methylamino)propan-1-one | 4-chloromethcatinone; clephedrone | C10H12ClNO | 197.66 | 58 | 111 | 75 | 3.81 | show | UEJBEYOXRNGPEI-UHFFFAOYSA-N | collected | 2016-12-06 | Hungarian Institute of Forensic Science, Budapest, Hungary | 1399-15 | ||
| Opioids | U-49900 | ![]() | 3,4-dichloro-N-[2-(diethylamino)cyclohexyl]-N-methylbenzamide | U-49900 | C18H26Cl2N2O | 357.32 | 112 | 153 | 86 | 10.19 | show | AXACJBKFKCCIOR-UHFFFAOYSA-N | test purchase | 2016-12-07 | RESPONSE project; 2015-2017 | 1734-16 | ||
| Cathinones | alpha-PiHP | ![]() | 4-methyl-1-phenyl-2-(pyrrolidin-1-yl)pentan-1-one | α-PiHP | C16H23NO | 245.37 | 140 | 98 | 141 | 5.88 | show | UOZWZANRCOALQL-UHFFFAOYSA-N | test purchase | common name changed from alpha-PHiP to alpha-PiHP | 2016-12-07 | 2017-05-18 | RESPONSE project; 2015-2017 | 1723-16 |
| Others | RTI-111 | ![]() | methyl 3-(3,4-dichlorophenyl)-8-methyl-8-azabicyclo[3.2.1]octane-2-carboxylate | Dichloropane, 2β-Carbomethoxy-3β-(3,4-dichlorophenyl)tropane, O-401 | C16H19Cl2NO2 | 328.23 | 82 | 83 | 96 | 8.82 | show | AMIHUYQKNJHXPT-UHFFFAOYSA-N | test purchase | 2016-12-09 | RESPONSE project; 2015-2017 | 1722-16 | ||
| Indolalkylamines (fe tryptamines) | DPT | ![]() | [2-(1H-indol-3-yl)ethyl]dipropylamine | N-[2-(1H-indol-3-yl)]ethyl-N-propylpropan-1-amine | C16H24N2 | 244.38 | 114 | 130 | 115 | 7.57 | show | BOOQTIHIKDDPRW-UHFFFAOYSA-N | test purchase | 2016-12-09 | RESPONSE project; 2015-2017 | 1663-16 | ||
| Cathinones | TH-PVP | ![]() | 2-(pyrrolidin-1-yl)-1-(5,6,7,8-tetrahydronaphthalen-2-yl)pentan-1-one | C19H27NO | 285.43 | 126 | 127 | 91 | 8.79 | show | MMIKQWIZKBYLKZ-UHFFFAOYSA-N | RM-reference material | 2016-12-09 | I-SEE project RM and report ( analysed in SI National Forensic Laboratory) | 1685-16 | |||
| Cathinones | alpha-PVT | ![]() | 2-(pyrrolidin-1-yl)-1-(thiophen-2-yl)pentan-1-one | α-Pyrrolidinopentiothiophenone | C13H19NOS | 237.36 | 126 | 127 | 111 | 5.84 | show | OOSRPGUQJAKBLV-UHFFFAOYSA-N | test purchase | 2016-12-09 | RESPONSE project; 2015-2017 | 1726-16 | ||
| Phenethylamines | Proscaline | ![]() | 2-(3,5-dimethoxy-4-propoxyphenyl)ethan-1-amine | 2-(3,5-dimethoxy-4-propoxyphenyl)ethanamine, 4-propoxy-3,5-DMPEA | C13H21NO3 | 239.32 | 167 | 168 | 210 | 5.93 | show | HYWLMSUAZVDUFW-UHFFFAOYSA-N | test purchase | 2016-12-12 | RESPONSE project; 2015-2017 | 1731-16 | ||
| Arylcyclohexylamines | 3-MeO-PCE | ![]() | N-ethyl-1-(3-methoxyphenyl)cyclohexan-1-amine | 3-Methoxyeticyclidine | C15H23NO | 233.35 | 190 | 233 | 176 | 5.83 | show | OFGOOZLOGUNDFS-UHFFFAOYSA-N | test purchase | 2016-12-15 | RESPONSE project; 2015-2017 | 1732-16 | ||
| Cathinones | alpha-PPP-MeO | ![]() | 3-methoxy-1-phenyl-2-(pyrrolidin-1-yl)propan-1-one | 1-(3-methoxy-1-oxo-1-phenylpropan-2-yl)pyrrolidine; 2-pyrrolidino-3-methoxy-propiophenone; alpha-PPP-MeO; PMeOPP | C14H19NO2 | 233.31 | 128 | 96 | 70 | show | TVBNCCGCIPGJQO-UHFFFAOYSA-N | analytical report | 2016-12-20 | CLEN2SAND project data provided by the European Commission Joint Research Centre (JRC), DG TAXUD and the CLEN | RPT: JRC-16090003 | |||
| Phenethylamines | 25B-NBOH | ![]() | 2-({[2-(4-bromo-2,5-dimethoxyphenyl)ethyl]amino}methyl)phenol | 2C-B-NBOH, NBOH-2C-B | C17H20BrNO3 | 366.25 | 179 | 280 | 73 | 11.35 | show | RSUNJYKZRKIBNB-UHFFFAOYSA-N | test purchase | GC-RT and MS spectrum refer for di-TMS derivative; nonderivatized cpd. decomposed to 2C-B | 2016-12-23 | RESPONSE project; 2015-2017 | 1697-16 | |
| Opioids | 2-Fluorofentanyl | ![]() | N-(2-fluorophenyl)-N-[1-(2-phenylethyl)piperidin-4-yl]propanamide | ortho-Fluorofentanyl; 2-FF; o-FF; o-fluorofentanyl | C22H27FN2O | 354.47 | 263 | 164 | 207 | 10.90 | show | BKUWDIVZCJNXRA-UHFFFAOYSA-N | RM-reference material | 2017-01-05 | RESPONSE project; 2015-2017 | 1701-16 | ||
| Phenethylamines | UWA-101 | ![]() | [2-(2H-1,3-benzodioxol-5-yl)-1-cyclopropylethyl](methyl)amine | α-cyclopropyl-MDMA | C13H17NO2 | 219.28 | 84 | 42 | 135 | 5.44 | show | DNROCNZQNQSVOG-UHFFFAOYSA-N | RM-reference material | 2017-01-05 | RESPONSE project; 2015-2017 | 1699-16 | ||
| Others | W-19 | ![]() | N-[(2Z)-1-[2-(4-aminophenyl)ethyl]piperidin-2-ylidene]-4-chlorobenzene-1-sulfonamide | W-18 metabolite | C19H22ClN3O2S | 391.91 | 119 | 106 | 111 | 18.91 | show | LPAZQXGIOLCCTG-QOCHGBHMSA-N | RM-reference material | 2017-01-05 | 2018-07-15 | RESPONSE project; 2015-2017 | 1703-16 | |
| Opioids | AH-8529 | ![]() | 4-chloro-N-{[1-(dimethylamino)cyclohexyl]methyl}benzamide | C16H23ClN2O | 294.82 | 126 | 139 | 127 | 9.36 | show | NROYLFLWMSYSMA-UHFFFAOYSA-N | RM-reference material | 2017-01-05 | RESPONSE project; 2015-2017 | 1706-16 | |||
| Phenethylamines | 25B-NBOH | ![]() | 2-({[2-(4-bromo-2,5-dimethoxyphenyl)ethyl]amino}methyl)phenol | 2C-B-NBOH, NBOH-2C-B | C17H20BrNO3 | 366.25 | 179 | 280 | 73 | 11.30 | show | RSUNJYKZRKIBNB-UHFFFAOYSA-N | RM-reference material | GC-RT and MS spectrum refer for di-TMS derivative; nonderivatized cpd. decomposed to 2C-B | 2017-01-05 | RESPONSE project; 2015-2017 | 1700-16 | |
| Cathinones | Propylone | ![]() | 1-(2H-1,3-benzodioxol-5-yl)-2-(propylamino)propan-1-one | 3',4'-Methylenedioxy-N-propylaminocathinone; Propyl-3,4-methylenedioxycathinone; PRONE | C13H17NO3 | 235.28 | 86 | 149 | 65 | 6.14 | show | YFVKHKCZBSGZPE-UHFFFAOYSA-N | RM-reference material | 2017-01-05 | RESPONSE project; 2015-2017 | 1705-16 | ||
| Cannabinoids | 3F-AMB | ![]() | methyl (2S)-2-{[1-(3-fluoropentyl)-1H-indazol-3-yl]formamido}-3-methylbutanoate | methyl (1-(3-fluoropentyl)-1H-indazole-3-carbonyl)-L-valinate 3-fluoro AMP | C19H26FN3O3 | 363.43 | 233 | 145 | 304 | 10.04 | show | YPUVLRMGECVDHZ-VYIIXAMBSA-N | RM-reference material | 2017-01-05 | RESPONSE project; 2015-2017 | 1702-16 | ||
| Cathinones | iPRONE | ![]() | 1-(2H-1,3-benzodioxol-5-yl)-2-[(propan-2-yl)amino]propan-1-one | 3',4'-Methylenedioxy-N-isopropylaminocathinone; 1-(1,3-Benzodioxol-5-yl)-2-(propan-2-ylamino)propan-1-one | C13H17NO3 | 235.28 | 86 | 44 | 149 | 5.69 | show | ZGELXFOIEWJEFM-UHFFFAOYSA-N | RM-reference material | 2017-01-05 | RESPONSE project; 2015-2017 | 1704-16 | ||
| Cathinones | 4_Methyl_PV8 | ![]() | 1-(4-methylphenyl)-2-(pyrrolidin-1-yl)heptan-1-one | p-methyl-PV8; para-methyl-PV8: PV8 4-methyl analog | C18H27NO | 273.42 | 154 | 155 | 91 | 7.50 | show | ARMHZEVLKNFPAJ-UHFFFAOYSA-N | RM-reference material | 2017-01-06 | RESPONSE project; 2015-2017 | 1714-16 | ||
| Cannabinoids | 5-Bromo-THJ-018 | ![]() | 1-(5-bromopentyl)-3-(naphthalene-1-carbonyl)-1H-indazole | 5-bromopentyl JWH 018 indazole analog; THJ 018 bromo analog | C23H21BrN2O | 421.34 | 127 | 271 | 155 | 16.95 | show | CHDPCRSBPAVUIZ-UHFFFAOYSA-N | RM-reference material | 2017-01-06 | RESPONSE project; 2015-2017 | 1712-16 | ||
| Phenethylamines | MMDA-2 | ![]() | 1-(6-methoxy-2H-1,3-benzodioxol-5-yl)propan-2-amine | 2-methoxy-4,5-methylenedioxyamphetamine | C11H15NO3 | 209.25 | 44 | 166 | 151 | 4.87 | show | GPVJAXJRAZVITB-UHFFFAOYSA-N | RM-reference material | 2017-01-06 | RESPONSE project; 2015-2017 | 1717-16 | ||
| Others | Deschloro W-19 | ![]() | N-[(2Z)-1-[2-(4-aminophenyl)ethyl]piperidin-2-ylidene]benzenesulfonamide | (Z)-N-(1-(4-aminophenethyl)piperidin-2-ylidene)benzenesulfonamide | C19H23N3O2S | 357.47 | 119 | 77 | 106 | 17.54 | show | LEPJQUCPARWIPK-VZCXRCSSSA-N | RM-reference material | 2017-01-06 | RESPONSE project; 2015-2017 | 1709-16 | ||
| Cathinones | 5-Methoxymethylone | ![]() | 1-(7-methoxy-2H-1,3-benzodioxol-5-yl)-2-(methylamino)propan-1-one | 2-A1MP ßk-MMDMA | C12H15NO4 | 237.25 | 58 | 56 | 179 | 6.51 | show | MPMHRFOOZMFFBD-UHFFFAOYSA-N | RM-reference material | 2017-01-06 | RESPONSE project; 2015-2017 | 1752-16 | ||
| Cathinones | 4-Chloropentedrone | ![]() | 1-(4-chlorophenyl)-2-(methylamino)pentan-1-one | 4-CPD; 4-chloro-α-methylamino-Pentiophenone; 4-chloro-α-methylamino-Valerophenone | C12H16ClNO | 225.72 | 86 | 44 | 111 | 4.86 | show | OPCMVVKRCLOEDQ-UHFFFAOYSA-N | RM-reference material | 2017-01-06 | RESPONSE project; 2015-2017 | 1708-16 | ||
| Opioids | 4F-iBF | ![]() | N-(4-fluorophenyl)-2-methyl-N-[1-(2-phenylethyl)piperidin-4-yl]propanamide | 4-FIBF; FIBF; p-FIBF; 4-Fluoroisobutyrylfentanyl; para-Fluoroisobutyryl-fentanyl | C23H29FN2O | 368.50 | 277 | 207 | 164 | 10.75 | show | OZDOSQNUJIXEOR-UHFFFAOYSA-N | RM-reference material | 2017-01-06 | RESPONSE project; 2015-2017 | 1710-16 | ||
| Phenethylamines | 25H-NB4OMe | ![]() | [2-(2,5-dimethoxyphenyl)ethyl][(4-methoxyphenyl)methyl]amine | 25H-NBOMe 4-methoxy isomer | C18H23NO3 | 301.39 | 121 | 150 | 122 | 9.51 | show | RIQSJIKRFRLJRV-UHFFFAOYSA-N | RM-reference material | 2017-01-06 | RESPONSE project; 2015-2017 | 1711-16 | ||
| Cannabinoids | MMB-CHMICA | ![]() | methyl 2-{[1-(cyclohexylmethyl)-1H-indol-3-yl]formamido}-3-methylbutanoate | AMB-CHMICA; methyl (1-(cyclohexylmethyl)-1H-indole-3-carbonyl)valinate; methyl 2-(1-(cyclohexylmethyl)-1H-indole-3-carbonylamino)-3-methylbutanoate; | C22H30N2O3 | 370.49 | 240 | 256 | 144 | 13.48 | show | ROWZIXRLVUOMCJ-UHFFFAOYSA-N | RM-reference material | 2017-01-06 | RESPONSE project; 2015-2017 | 1715-16 | ||
| Opioids | 3-Fluorofentanyl | ![]() | N-(3-fluorophenyl)-N-[1-(2-phenylethyl)piperidin-4-yl]propanamide | 3-FF; m-FF; meta-Fluorofentanyl | C22H27FN2O | 354.47 | 263 | 164 | 207 | 10.74 | show | SLTQVWMQISKVDN-UHFFFAOYSA-N | RM-reference material | 2017-01-06 | RESPONSE project; 2015-2017 | 1751-16 | ||
| Cathinones | 3,4-Methylenedioxy-PV9 | ![]() | 1-(2H-1,3-benzodioxol-5-yl)-2-(pyrrolidin-1-yl)octan-1-one | MDPV three carbon homolog; Methylenedioxy-Pyrovalerone three carbon homolog | C19H27NO3 | 317.43 | 168 | 169 | 149 | 9.31 | show | SUZXRHPREJMNOG-UHFFFAOYSA-N | RM-reference material | 2017-01-06 | RESPONSE project; 2015-2017 | 1716-16 | ||
| Opioids | Valerylfentanyl | ![]() | N-phenyl-N-[1-(2-phenylethyl)piperidin-4-yl]pentanamide | NIH 10488; Pentanoyl fentanyl; Pentanyl fentanyl; Penta-Fentanyl; fentanyl pentanamide analogue; TCE; VF | C24H32N2O | 364.52 | 273 | 146 | 189 | 12.24 | show | VCCPXHWAJYWQMR-UHFFFAOYSA-N | RM-reference material | 2017-01-06 | RESPONSE project; 2015-2017 | 1713-16 | ||
| Opioids | AH-8533 | ![]() | 2-chloro-N-{[1-(dimethylamino)cyclohexyl]methyl}benzamide | C16H23ClN2O | 294.82 | 126 | 139 | 127 | 9.12 | show | ZEXNERUNUXHAFO-UHFFFAOYSA-N | RM-reference material | 2017-01-06 | RESPONSE project; 2015-2017 | 1707-16 | |||
| Cathinones | 1-(4-methylphenyl)-2-(piperidin-1-yl)propan-1-one | ![]() | 1-(4-methylphenyl)-2-(piperidin-1-yl)propan-1-one | C15H21NO | 231.34 | 112 | 113 | 41 | 5.97 | show | DHZOVKWINAURCF-UHFFFAOYSA-N | collected | Analytical report temporarily unavailable - 17/01/2017; Analytical report attached again 03/04/2014;Sample was synthesised and distributed by HIFS, Hungary in the frame of ENFSI-DWG PT 2016 | 2017-01-10 | 2017-04-03 | RESPONSE project; 2015-2017 | 1753-17 | |
| Opioids | Methene-U-47700 | ![]() | 2-(3,4-dichlorophenyl)-N-(2-(dimethylamino)cyclohexyl)-N-methylacetamide | METHENE-U-47700; U-51754 | C17H24Cl2N2O | 343.29 | 84 | 125 | 71 | 10.29 | show | ISJUYFBACBKWBV-UHFFFAOYSA-N | test purchase | 2017-01-13 | RESPONSE project; 2015-2017 | 1729-16 | ||
| Opioids | THF-F | ![]() | N-phenyl-N-[1-(2-phenylethyl)piperidin-4-yl]oxolane-2-carboxamide | TETRAHYDROFURAN-F; THF-F; THF-fentanyl; Tetrahydrofuranylfentanyl | C24H30N2O2 | 378.52 | 287 | 71 | 146 | 13.87 | show | OHJNHKUFSKAANI-UHFFFAOYSA-N | test purchase | Analytical report updated: some analytical data (TOF, IC, NMR) added | 2017-01-13 | 2017-03-01 | RESPONSE project; 2015-2017 | 1659-16 |
| Phenethylamines | 3C-E | ![]() | 1-(4-ethoxy-3,5-dimethoxyphenyl)propan-2-amine | 3,5-Dimethoxy-4-ethoxy-amphetamine | C13H21NO3 | 239.31 | 44 | 196 | 167 | 5.40 | show | AHLXCGRWNKUNTQ-UHFFFAOYSA-N | collected | 2017-01-27 | RESPONSE project; 2015-2017 | 1438-16 | ||
| Phenethylamines | Methallylescaline | ![]() | 2-{3,5-dimethoxy-4-[(2-methylprop-2-en-1-yl)oxy]phenyl}ethan-1-amine | MAL; 4-methallyloxy-3,5-dimethoxyphenethylamine | C14H21NO3 | 251.33 | 167 | 168 | 55 | 6.31 | show | FOXJFBFFGULACD-UHFFFAOYSA-N | collected | 2017-01-27 | Institute of Forensic medicine, University Freiburg, Germany | 1441-16 | ||
| Indolalkylamines (fe tryptamines) | NDTDI | ![]() | 3-({2-azatricyclo[6.3.1.0⁴,¹²]dodeca-1(11),3,8(12),9-tetraen-6-yl}(methyl)amino)-N,N-diethylpropanamide | N,N-diethyl-3-(methyl(1,3,4,5-tetrahydrobenzo[cd]indol-4-yl)amino)propanamide | C19H27N3O | 313.44 | 144 | 186 | 154 | 12.28 | show | JECGWOMOCPQHDH-UHFFFAOYSA-N | test purchase | 2017-02-06 | RESPONSE project; 2015-2017 | 1737-16 | ||
| Cathinones | MPHP | ![]() | 1-(4-methylphenyl)-2-(pyrrolidin-1-yl)hexan-1-one | 4'-Methyl-alpha-pyrrolidinohexanophenone, 4'-MePHP, 4'-Me-alpha-PHP, PV-4, 4-Methyl-2-pyrrolidinohexanophenone, PV4 | C17H25NO | 259.39 | 140 | 141 | 91 | 6.98 | show | YOSQVMGMENUCDX-UHFFFAOYSA-N | collected | 2017-02-13 | Forensic Science Institute Zurich, Switzerland (NMR confirmed sample) | 1762-17 | ||
| Arylcyclohexylamines | Deschloroketamine | ![]() | 2-(methylamino)-2-phenylcyclohexan-1-one | DXE, DCK, 2'-Oxo-PCM, 2-Phenyl-2-(methylamino)cyclohexanone | C13H17NO | 203.28 | 146 | 175 | 104 | 4.94 | show | ZAGBSZSITDFFAF-UHFFFAOYSA-N | collected | 2017-02-13 | Forensic Science Institute Zurich, Switzerland (NMR confirmed sample) | 1761-17 | ||
| Cathinones | Dimethylone | ![]() | 1-(2H-1,3-benzodioxol-5-yl)-2-(dimethylamino)propan-1-one | bk-MDDMA | C12H15NO3 | 221.26 | 72 | 65 | 73 | 5.40 | show | OSNIIMCBVLBNGS-UHFFFAOYSA-N | test purchase | 2017-02-16 | RESPONSE project; 2015-2017 | 1748-16 | ||
| Cannabinoids | 5F-AKB-57 | ![]() | adamantan-1-yl 1-(5-fluoropentyl)-1H-indazole-3-carboxylate | 5-flouro-APINAC, 5-fluoro AKB57, (3s,5s,7s)-adamantan-1-yl 1-(5-fluoropentyl)-1H-indazole-3-carboxylate; | C23H29FN2O2 | 384.50 | 135 | 92 | 93 | 14.26 | show | FOBFXVSQNAVUMG-UHFFFAOYSA-N | RM-reference material | 2017-02-17 | RESPONSE project; 2015-2017 | 1757-17 | ||
| Piperidines & pyrrolidines | 4-Anilino-1-Benzylpiperidine | ![]() | 1-benzyl-N-phenylpiperidin-4-amine | NSC 76613, N-phenyl-1-(phenylmethyl)-4-piperidinamine | C18H22N2 | 266.39 | 91 | 173 | 172 | 9.01 | show | FSXGJIFBTBJMHV-UHFFFAOYSA-N | RM-reference material | 2017-02-17 | RESPONSE project; 2015-2017 | 1759-17 | ||
| Piperidines & pyrrolidines | 4-Anilinopiperidine | ![]() | N-phenylpiperidin-4-amine | C11H16N2 | 176.26 | 83 | 82 | 93 | 4.93 | show | LKRMTUUCKBQGFO-UHFFFAOYSA-N | RM-reference material | 2017-02-17 | RESPONSE project; 2015-2017 | 1758-17 | |||
| Benzodiazepines | Etizolam | ![]() | 7-(2-chlorophenyl)-4-ethyl-13-methyl-3-thia-1,8,11,12-tetraazatricyclo[8.3.0.02,6]trideca-2(6),4,7,10,12-pentaene | C17H15ClN4S | 342.85 | 342 | 344 | 313 | 13.79 | show | VMZUTJCNQWMAGF-UHFFFAOYSA-N | test purchase | 2017-02-17 | RESPONSE project; 2015-2017 | 1747-16 | |||
| Opioids | AH-7959 | ![]() | 3,4-dichloro-N-{[1-(piperidin-1-yl)cyclohexyl]methyl}benzamide | C19H26Cl2N2O | 369.33 | 166 | 167 | 173 | 12.63 | show | WTOAYCRIVUCNNR-UHFFFAOYSA-N | RM-reference material | 2017-02-17 | RESPONSE project; 2015-2017 | 1756-17 | |||
| Indolalkylamines (fe tryptamines) | Ru-28306 | ![]() | N,N-dimethyl-2-azatricyclo[6.3.1.0⁴,¹²]dodeca-1(12),3,8,10-tetraen-6-amine | N,N-dimethyl-1,3,4,5-tetrahydrobenzo[cd]indol-4-amine | C13H16N2 | 200.28 | 200 | 144 | 154 | 7.05 | show | BQOANWOQEHVATQ-UHFFFAOYSA-N | test purchase | 2017-02-23 | RESPONSE project; 2015-2017 | 1755-17 | ||
| Cannabinoids | NM-2201 | ![]() | naphthalen-1-yl 1-(5-fluoropentyl)-1H-indole-3-carboxylate | CBL-2201, 5-Fluoro-SDB-005 Indole | C24H22FNO2 | 375.44 | 232 | 144 | 212 | 17.08 | show | PRGFSQYZCKCBQO-UHFFFAOYSA-N | seized | 2017-02-23 | RESPONSE project; 2015-2017 | 1776-17 | ||
| Opioids | Benzodioxole-F | ![]() | N-phenyl-N-[1-(2-phenylethyl)piperidin-4-yl]-2H-1,3-benzodioxole-5-carboxamide | N-(1-phenethylpiperidin-4-yl)-N-phenylbenzo[d][1,3]dioxole-5-carboxamide, Benzodioxole-fentanyl, BZD-F | C27H28N2O3 | 428.53 | 149 | 337 | 150 | 18.53 | show | ZFAAZMIOHJNKGD-UHFFFAOYSA-N | test purchase | 2017-03-05 | RESPONSE project; 2015-2017 | 1672-16 | ||
| Cannabinoids | 5F-3,5-ADB-PFUPPYCA | ![]() | 2-{[1-(5-fluoropentyl)-3-(4-fluorophenyl)-1H-pyrazol-5-yl]formamido}-3,3-dimethylbutanamide | ADB-FUPYCA; 3,5-5-fluoro ADB-FUPPYCA; AZ-037 | C21H28F2N4O2 | 406.48 | 189 | 277 | 249 | 12.92 | show | CMXMZASHZSECQV-UHFFFAOYSA-N | RM-reference material | 2017-03-06 | RESPONSE project; 2015-2017 | 1765-17 | ||
| Opioids | Cyclopentanyl-F | ![]() | N‐phenyl‐N‐[1‐(2‐phenylethyl)piperidin‐4‐yl]cyclopentanecarboxamide | Cyclopentyfentanyl; Cyclopentyl fentanyl, CPF | C25H32N2O | 376.54 | 285 | 69 | 189 | 13.74 | show | PEASFKSPITUZGT-UHFFFAOYSA-N | test purchase | 2017-03-06 | 2017-04-18 | RESPONSE project; 2015-2017 | 1661-16 | |
| Cannabinoids | 5F-MDMB-PINACA | ![]() | methyl 2-{[1-(5-fluoropentyl)-1H-indazol-3-yl]formamido}-3,3-dimethylbutanoate | 5F-ADB; 5F-methyl-AMB; 5-fluoro-MAMB; 5-fluoro ADB | C20H28FN3O3 | 377.46 | 233 | 145 | 289 | 10.64 | show | PWEKNGSNNAKWBL-UHFFFAOYSA-N | test purchase | 2017-03-06 | RESPONSE project; 2015-2017 | 1749-16 | ||
| Cannabinoids | 5F-MDMB-PICA | ![]() | methyl 2-{[1-(5-fluoropentyl)-1H-indol-3-yl]formamido}-3,3-dimethylbutanoate | 5F-MDMB-2201; MDMB-2201; | C21H29FN2O3 | 376.47 | 232 | 144 | 233 | 11.90 | show | CHSUEEBESACQDV-UHFFFAOYSA-N | test purchase | 2017-03-08 | RESPONSE project; 2015-2017 | 1777-17 | ||
| Cannabinoids | 2F-NNEI | ![]() | 1-(2-fluoropentyl)-N-(naphthalen-1-yl)-1H-indole-3-carboxamide | 2-fluoro MN-24; 2-fluoro NNEI | C24H23FN2O | 374.46 | 232 | 233 | 144 | 18.02 | show | HSKUHSPFXOBHMD-UHFFFAOYSA-N | RM-reference material | 2017-03-09 | 2018-04-13 | RESPONSE project; 2015-2017 | 1772-17 | |
| Cannabinoids | ADB-BINACA | ![]() | 2-[(1-benzyl-1H-indazol-3-yl)formamido]-3,3-dimethylbutanamide | N-(1-amino-3,3-dimethyl-1-oxobutan-2-yl)-1-benzyl-1H-indazole-3-carboxamide | C21H24N4O2 | 364.45 | 91 | 235 | 320 | 13.64 | show | IUFIUAWRCUVUCQ-UHFFFAOYSA-N | RM-reference material | 2017-03-09 | RESPONSE project; 2015-2017 | 1767-17 | ||
| Cannabinoids | 5Cl-THJ-018 | ![]() | 1-(5-chloropentyl)-3-(naphthalene-1-carbonyl)-1H-indazole | 5-chloropentyl JWH 018 indazole analog; THJ 018 chloro analog; (1-(5-chloropentyl)-1H-indazol-3-yl)(naphthalen-1-yl)methanone | C23H21ClN2O | 376.88 | 127 | 271 | 375 | 16.13 | show | KLRDJQQYGMTILS-UHFFFAOYSA-N | RM-reference material | 2017-03-09 | RESPONSE project; 2015-2017 | 1774-17 | ||
| Cannabinoids | AB-BICA | ![]() | (2S)-2-[(1-benzyl-1H-indol-3-yl)formamido]-3-methylbutanamide | N-[(1S)-1-(aminocarbonyl)-2-methylpropyl]-1-(phenylmethyl)-1H-indole-3-carboxamide | C21H23N3O2 | 349.43 | 91 | 234 | 235 | 15.71 | show | KWZMKPNXFPNTEJ-IBGZPJMESA-N | RM-reference material | 2017-03-09 | RESPONSE project; 2015-2017 | 1769-17 | ||
| Cannabinoids | MMB-FUBICA | ![]() | methyl 2-({1-[(4-fluorophenyl)methyl]-1H-indol-3-yl}formamido)-3-methylbutanoate | FUB-AMB-indol, AMB-FUBICA; N-[[1-[(4-fluorophenyl)methyl]-1H-indol-3-yl]carbonyl]-L-valine, methyl ester | C22H23FN2O3 | 382.44 | 109 | 252 | 268 | 13.21 | show | NYQOGZPXNJSYDW-UHFFFAOYSA-N | RM-reference material | 2017-03-09 | RESPONSE project; 2015-2017 | 1773-17 | ||
| Cannabinoids | ADB-BICA | ![]() | 2-[(1-benzyl-1H-indol-3-yl)formamido]-3,3-dimethylbutanamide | N-(1-amino-3,3-dimethyl-1-oxobutan-2-yl)-1-benzyl-1H-indole-3-carboxamide | C22H25N3O2 | 363.46 | 234 | 91 | 235 | 15.88 | show | OGVITAUBEIIKNT-UHFFFAOYSA-N | RM-reference material | 2017-03-09 | RESPONSE project; 2015-2017 | 1768-17 | ||
| Cannabinoids | 4F-NNEI | ![]() | 1-(4-fluoropentyl)-N-(naphthalen-1-yl)-1H-indole-3-carboxamide | 4-fluoro MN-24; 4-fluoro NNEI | C24H23FN2O | 374.46 | 232 | 212 | 144 | 18.48 | show | PSTMVUJRDHDKHN-UHFFFAOYSA-N | RM-reference material | 2017-03-09 | RESPONSE project; 2015-2017 | 1771-17 | ||
| Cannabinoids | MDMB-FUBICA | ![]() | methyl (2S)-2-({1-[(4-fluorophenyl)methyl]-1H-indol-3-yl}formamido)-3,3-dimethylbutanoate | N-[[1-[(4-fluorophenyl)methyl]-1H-indol-3-yl]carbonyl]-3-methyl-L-valine, methyl ester | C23H25FN2O3 | 396.46 | 109 | 252 | 253 | 13.47 | show | RVAWIZIGOSKPBP-HXUWFJFHSA-N | RM-reference material | 2017-03-09 | RESPONSE project; 2015-2017 | 1766-17 | ||
| Cannabinoids | 5F-Bepirapim | ![]() | 3-(4-benzylpiperazine-1-carbonyl)-1-(5-fluoropentyl)-1H-indole | BZP-2201, NNL-2;(4-benzylpiperazin-1-yl)(1-(5-fluoropentyl)-1H-indol-3-yl)methanone | C25H30FN3O | 407.53 | 91 | 232 | 146 | 18.78 | show | WHHDMGMJHFYVEK-UHFFFAOYSA-N | RM-reference material | 2017-03-09 | RESPONSE project; 2015-2017 | 1770-17 | ||
| Opioids | Furanyl norfentanyl | ![]() | N-phenyl-N-(piperidin-4-yl)furan-2-carboxamide | N-phenyl-N-4-piperidinyl-2-furancarboxamide | C16H18N2O2 | 270.33 | 95 | 175 | 82 | 8.57 | show | DDSUGTXSJFAMIM-UHFFFAOYSA-N | RM-reference material | 2017-03-24 | RESPONSE project; 2015-2017 | 1781-17 | ||
| Cathinones | 3-MEC | ![]() | 2-(ethylamino)-1-(3-methylphenyl)propan-1-one | 3-Methylethylcathinone, 3-Methylethcathinone | C12H17NO | 191.27 | 72 | 44 | 91 | 3.76 | show | GEKLDGQKEZAPFZ-UHFFFAOYSA-N | test purchase | 2017-03-27 | RESPONSE project; 2015-2017 | 1724-16 | ||
| Piperazine derivates | pFPP | ![]() | 1-(4-fluorophenyl)piperazine | p-Fluorophenylpiperazine; flippiperazine; 4-FPP | C10H13FN2 | 180.23 | 138 | 180 | 122 | 3.89 | show | AVJKDKWRVSSJPK-UHFFFAOYSA-N | RM-reference material | 2017-03-31 | RESPONSE project; 2015-2017 | 1788-17 | ||
| Opioids | 2-Fluorofentanyl | ![]() | N-(2-fluorophenyl)-N-[1-(2-phenylethyl)piperidin-4-yl]propanamide | ortho-Fluorofentanyl; 2-FF; o-FF, o-fluorofentanyl | C22H27FN2O | 354.47 | 263 | 164 | 207 | 10.90 | show | BKUWDIVZCJNXRA-UHFFFAOYSA-N | RM-reference material | 2017-03-31 | RESPONSE project; 2015-2017 | 1784-17 | ||
| Cannabinoids | AMB-CHMINACA | ![]() | methyl 2-{[1-(cyclohexylmethyl)-1H-indazol-3-yl]formamido}-3-methylbutanoate | Methyl 2-(1-(cyclohexylmethyl)-1H-indazole-3-carboxamide)-3-methylbutanoate; MA-CHMINACA; AMB N-methylcyclohexyl analog; MAB-AB-CHMINACA | C21H29N3O3 | 371.48 | 241 | 145 | 312 | 11.65 | show | CRGGXDSTBHQLKJ-UHFFFAOYSA-N | RM-reference material | 2017-03-31 | RESPONSE project; 2015-2017 | 1790-17 | ||
| Cannabinoids | MDMB-CHMINACA | ![]() | methyl (2S)-2-{[1-(cyclohexylmethyl)-1H-indazol-3-yl]formamido}-3,3-dimethylbutanoate | MDMB(N)-CHM; (S)-MDMB-CHMINACA; N-[[1-(cyclohexylmethyl)-1H-indazol-3-yl]carbonyl]-3-methyl-L-valine, methyl ester | C22H31N3O3 | 385.51 | 241 | 145 | 131 | 11.82 | show | DGQMLBSSRFFINY-LJQANCHMSA-N | RM-reference material | 2017-03-31 | RESPONSE project; 2015-2017 | 1789-17 | ||
| Arylalkylamines | M-ALPHA | ![]() | [1-(2H-1,3-benzodioxol-5-yl)propyl](methyl)amine | Alpha-ethyl-N-methyl-3,4-methylenedioxybenzylamine; 1-methylamino-1-(3,4-methylenedioxy-phenyl)propane | C11H15NO2 | 193.25 | 164 | 42 | 165 | 3.81 | show | NLINVDHEDVEOMJ-UHFFFAOYSA-N | RM-reference material | 2017-03-31 | RESPONSE project; 2015-2017 | 1787-17 | ||
| Cannabinoids | AB-001 | ![]() | 3-(adamantane-1-carbonyl)-1-pentyl-1H-indole | JWH-018 adamantoyl derivative; JWH-018 adamantyl analog; 1-pentyl-3-(1-adamantoyl)indole; 1-Adamantyl-(1-pentyl-1H-indol-3-yl)methanone | C24H31NO | 349.52 | 214 | 144 | 215 | 14.14 | show | SHWDYCMMUPPWQM-UHFFFAOYSA-N | RM-reference material | 2017-03-31 | RESPONSE project; 2015-2017 | 1783-17 | ||
| Piperazine derivates | pMeOPP | ![]() | 1-(4-methoxyphenyl)piperazine | 1-(4-Anisyl)piperazine; 4-MeOPP; MeOPP; p-Methoxyphenylpiperazine | C11H16N2O | 192.26 | 150 | 192 | 120 | 5.50 | show | MRDGZSKYFPGAKP-UHFFFAOYSA-N | RM-reference material | 2017-04-04 | RESPONSE project; 2015-2017 | 1785-17 | ||
| Cannabinoids | APICA | ![]() | N-(adamantan-1-yl)-1-pentyl-1H-indole-3-carboxamide | JWH-018 adamantyl carboxamide; 1-Pentyl-N-(tricyclo[3.3.1.13.7]dec-1-yl)-1H-indole-3-carboxamide; SDB 001; 2NE1 | C24H32N2O | 364.53 | 214 | 144 | 307 | 16.56 | show | MDJYHWLDDJBTMX-UHFFFAOYSA-N | RM-reference material | 2017-04-06 | RESPONSE project; 2015-2017 | 1792-17 | ||
| Phenethylamines | 2C-G | ![]() | 2-(2,5-dimethoxy-3,4-dimethylphenyl)ethan-1-amine | 3,4-dimethyl-2,5-dimethoxyphenethylamine; 2-(2,5-dimethoxy-3,4-dimethylphenyl)ethanamine; 2,5-dimethoxy-3,4-dimethyl-benzeneethanamine | C12H19NO2 | 209.29 | 165 | 180 | 178 | 5.16 | show | NFOHGLKGLZIHJQ-UHFFFAOYSA-N | RM-reference material | 2017-04-06 | RESPONSE project; 2015-2017 | 1796-17 | ||
| Cathinones | 4-BMC | ![]() | 1-(4-bromophenyl)-2-(methylamino)propan-1-one | 4-Bromomethcathinone; Brephedrone; 4-BMAP; 1-(4-bromophenyl)-2-methylaminopropan-1-one; 1-(4-bromophenyl)-2-(methylamino)-1-propanone | C10H12BrNO | 242.12 | 58 | 56 | 76 | 4.50 | show | OOJXMFNDUXHDOV-UHFFFAOYSA-N | RM-reference material | 2017-04-06 | RESPONSE project; 2015-2017 | 1798-17 | ||
| Cathinones | 3-BMC | ![]() | 1-(3-bromophenyl)-2-(methylamino)propan-1-one | 3-Bromomethcathinone; 1-(3-bromophenyl)-2-methylaminopropan-1-one; 1-(3-bromophenyl)-2-(methylamino)-1-propanone; 3-BMAP | C10H12BrNO | 242.12 | 58 | 56 | 76 | 4.40 | show | PXLYROINIXKFAW-UHFFFAOYSA-N | RM-reference material | 2017-04-06 | RESPONSE project; 2015-2017 | 1797-17 | ||
| Phenethylamines | 2C-F | ![]() | 2-(4-fluoro-2,5-dimethoxyphenyl)ethan-1-amine | 4-fluoro-2,5-dimethoxyphenethylamine; 4-fluoro-2,5-dimethoxy-benzeneethanamine | C10H14FNO2 | 199.22 | 170 | 30 | 155 | 4.00 | show | QAVFEDRVOUKIPM-UHFFFAOYSA-N | RM-reference material | 2017-04-06 | RESPONSE project; 2015-2017 | 1795-17 | ||
| Cannabinoids | 5F-3,5-AB-PFUPPYCA | ![]() | 2-{[1-(5-fluoropentyl)-3-(4-fluorophenyl)-1H-pyrazol-5-yl]formamido}-3-methylbutanamide | N-(1-amino-3-methyl-1-oxobutan-2-yl)-1-(5-fluoropentyl)-3-(4-fluorophenyl)-1H-pyrazole-5-carboxamide; 5F-3,5-AB-FUPPYCA; 5-fluoro AB-FUPPYCA; AZ-037, AZ-037-isomer | C20H26F2N4O2 | 392.45 | 189 | 249 | 277 | 12.79 | show | JPKXVUNTSWGYKJ-UHFFFAOYSA-N | test purchase | 2017-04-10 | RESPONSE project; 2015-2017 | 1668-16 | ||
| Cannabinoids | ATHPINACA_isomer 1 | ![]() | N-(adamantan-1-yl)-1-[(oxan-4-yl)methyl]-1H-indazole-3-carboxamide | AD-THPINACA; Adamantyl-THPINACA; 1-[(tetrahydro-2H-pyran-4-yl)methyl]-N-tricyclo[3.3.1.13,7]dec-1-yl-1H-indazole-3-carboxamide; N-(1-adamantyl)-1-(tetrahydropyran-4-ylmethyl)indazole-3-carboxamide | C24H31N3O2 | 393.53 | 135 | 243 | 145 | 17.56 | show | WFDRVDUEMGJILX-UHFFFAOYSA-N | RM-reference material | 2017-04-10 | RESPONSE project; 2015-2017 | 1807-17 | ||
| Cannabinoids | ATHPINACA_isomer 2 | ![]() | N-(adamantan-2-yl)-1-[(oxan-4-yl)methyl]-1H-indazole-3-carboxamide | Adamantyl-THPINACA; AD-THPINACA;N-(2-Adamantyl)-1-(tetrahydro-2H-pyran-4-ylmethyl)-1H-indazole-3-carboxamide | C24H31N3O2 | 393.53 | 150 | 151 | 131 | 17.95 | show | XFZLBNDGZVRJNJ-UHFFFAOYSA-N | RM-reference material | 2017-04-10 | RESPONSE project; 2015-2017 | 1808-17 | ||
| Cannabinoids | AB-005 | ![]() | 1-[(1-methylpiperidin-2-yl)methyl]-3-(2,2,3,3-tetramethylcyclopropanecarbonyl)-1H-indole | [1-[(1-methyl-2-piperidinyl)methyl]-1H-indol-3-yl](2,2,3,3-tetramethylcyclopropyl)-methanone | C23H32N2O | 352.52 | 98 | 99 | 70 | 11.90 | show | MOBWRRIAIHYXLB-UHFFFAOYSA-N | RM-reference material | 2017-04-12 | RESPONSE project; 2015-2017 | 1782-17 | ||
| Cathinones | BMDB | ![]() | 1-(2H-1,3-benzodioxol-5-yl)-2-(benzylamino)butan-1-one; 1-(1,3-benzodioxol-5-yl)-2-(benzylamino)butan-1-one | 2-Benzylamino-1-(3,4-methylenedioxyphenyl)butan-1-one | C18H19NO3 | 297.35 | 91 | 148 | 149 | 9.21 | show | ROBPFIVMZCNMJW-UHFFFAOYSA-N | RM-reference material | 2017-04-12 | RESPONSE project; 2015-2017 | 1799-17 | ||
| Cannabinoids | AB-005 azepane isomer | ![]() | 1-(1-methylazepan-2-yl)-3-(2,2,3,3-tetramethylcyclopropanecarbonyl)-1H-indole | C23H32N2O | 352.52 | 112 | 58 | 84 | 12.01 | show | VBJJSVQSAWSBQA-UHFFFAOYSA-N | RM-reference material | 2017-04-12 | RESPONSE project; 2015-2017 | 1794-17 | |||
| Cannabinoids | ADB-FUBINACA | ![]() | 2-({1-[(4-fluorophenyl)methyl]-1H-indazol-3-yl}formamido)-3,3-dimethylbutanamide; N-(1-amino-3,3-dimethyl-1-oxobutan-2-yl)-1-(4-fluorobenzyl)-1H-indazole-3-carboxamide | N-[1-(aminocarbonyl)-2,2-dimethylpropyl]-1-[(4-fluorophenyl)methyl]-1H-indazole-3-carboxamide | C21H23FN4O2 | 382.44 | 109 | 253 | 338 | 13.41 | show | ZSSGCSINPVBLQD-UHFFFAOYSA-N | RM-reference material | 2017-04-12 | RESPONSE project; 2015-2017 | 1793-17 | ||
| Cannabinoids | M5FPIC | ![]() | methyl 1-(5-fluoropentyl)-1H-indole-3-carboxylate | PB-22 N-(5-fluoropentyl) analog-A ME; 5F-PB-22 methylester analogue | C15H18FNO2 | 263.31 | 188 | 263 | 232 | 8.17 | show | ZTIFWEBSTLDAMT-UHFFFAOYSA-N | RM-reference material | 2017-04-12 | RESPONSE project; 2015-2017 | 1791-17 | ||
| Opioids | Alpha-methylbutyrylfentanyl | ![]() | N-phenyl-N-[1-(1-phenylpropan-2-yl)piperidin-4-yl]butanamide | alpha-methyl Butyryl fentanyl; alpha-Methyl butanoyl fentanyl; Butanoyl fentanyl; N-Phenyl-N-[1-(2-phenyl-1-methylethyl)-4-piperidinyl]butanamide; α-methyl Butyryl fentanyl | C24H32N2O | 364.53 | 273 | 91 | 56 | 11.90 | show | IPIGJTVNMCMXMT-UHFFFAOYSA-N | RM-reference material | 2017-04-13 | RESPONSE project; 2015-2017 | 1811-17 | ||
| Opioids | Alpha-methylacetylfentanyl | ![]() | N-phenyl-N-[1-(1-phenylpropan-2-yl)piperidin-4-yl]acetamide | α-methylacetylfentanyl; Acetyl-alpha-methylfentanyl; alphamethylacetylfentanyl; alpha-Methylfentanyl acetyl analog: N-(1-(1-Methyl-2-phenethyl)-4-piperidinyl)-N-phenylacetamide; alpha-Methylacetylfentanyl; Acetyl-alpha-methylfentanil; N-[1-(1-methyl-2-phenylethyl)-4-piperidyl]acetanilide | C22H28N2O | 336.48 | 245 | 56 | 91 | 11.06 | show | OKTLVZBUKMRPLL-UHFFFAOYSA-N | RM-reference material | 2017-04-13 | RESPONSE project; 2015-2017 | 1812-17 | ||
| Opioids | Benzyl-Carfentanil | ![]() | methyl 1-benzyl-4-(N-phenylpropanamido)piperidine-4-carboxylate | benzyl carfentanil; 4-[(1-oxopropyl)phenylamino]-1-benzyl-4-piperidinecarboxylic acid methyl ester | C23H28N2O3 | 380.49 | 91 | 140 | 172 | 11.17 | show | QKRGHVDSVANHAD-UHFFFAOYSA-N | RM-reference material | 2017-04-13 | RESPONSE project; 2015-2017 | 1805-17 | ||
| Opioids | Beta-methylfentanyl | ![]() | N-phenyl-N-[1-(2-phenylpropyl)piperidin-4-yl]propanamide | N-[3-methyl-1-(2-phenylethyl)piperidin-4-yl]-N-phenylbutanamide; 3-MBF; beta-methyl Fentanyl; β-Methylfentanyl | C23H30N2O | 350.51 | 245 | 146 | 189 | 10.96 | show | UXIGUKSHASXDNI-UHFFFAOYSA-N | RM-reference material | 2017-04-13 | RESPONSE project; 2015-2017 | 1810-17 | ||
| Opioids | 3-Methylbutyrylfentanyl | ![]() | N-[(3R,4S)-3-methyl-1-(2-phenylethyl)piperidin-4-yl]-N-phenylbutanamide | N-[3-methyl-1-(2-phenylethyl)piperidin-4-yl]-N-phenylbutanamide | C24H32N2O | 364.53 | 273 | 160 | 105 | 11.86 | show | ZPAOSKLOFZWBLS-UHFFFAOYSA-N | RM-reference material | 2017-04-13 | RESPONSE project; 2015-2017 | 1809-17 | ||
| Opioids | 4-fluoro acrylfentanyl | ![]() | N-(4-fluorophenyl)-N-[1-(2-phenylethyl)piperidin-4-yl]prop-2-enamide | 4-F Acrylfentanyl; p-fluoro Acrylfentanyl; para-fluoro Acrylfentanyl | C22H25FN2O | 352.45 | 261 | 55 | 164 | 10.87 | show | ZTLLQVADDIYHJU-UHFFFAOYSA-N | RM-reference material | In the report typo error was corrected | 2017-04-13 | 2017-05-18 | RESPONSE project; 2015-2017 | 1806-17 |
| Cannabinoids | MAM-2201 | ![]() | 1-(5-fluoropentyl)-3-(4-methylnaphthalene-1-carbonyl)-1H-indole | 4'-methyl-AM-2201; 1-(5-fluoropentyl)-3-(4-methyl-naphthoyl)indole; AM2201 4-methylnaphthyl analog; JWH 122 N-(5-fluoropentyl) analog; 5"-Fluoro-JWH-122; JWH-122 Fluoropentyl Derivative; [1-(5-fluoropentyl)-1H-indol-3-yl](4-methyl-1-naphthalenyl)-methanone | C25H24FNO | 373.47 | 373 | 298 | 232 | 16.89 | show | IGBHZHCGWLHBAE-UHFFFAOYSA-N | RM-reference material | 2017-04-14 | RESPONSE project; 2015-2017 | 1803-17 | ||
| Cannabinoids | BAY-59-3074 | ![]() | 3-[2-cyano-3-(trifluoromethyl)phenoxy]phenyl 4,4,4-trifluorobutane-1-sulfonate | 4,4,4-trifluoro-1-butanesulfonic acid, 3-[2-cyano-3-(trifluoromethyl)phenoxy]phenyl ester; BAY59-3074 | C18H13F6NO4S | 453.36 | 279 | 91 | 64 | 9.27 | show | LWUSZIVDPJPVBW-UHFFFAOYSA-N | RM-reference material | 2017-04-14 | RESPONSE project; 2015-2017 | 1804-17 | ||
| Phenethylamines | 3,4-HHMA | ![]() | 4-[2-(methylamino)propyl]benzene-1,2-diol | 3,4-Dihydroxymethamphetamine; α-Methylepinine; alpha-Methylepinine | C10H15NO2 | 181.24 | 58 | 56 | 42 | 5.17 | show | NTCPGTZTPGFNOM-UHFFFAOYSA-N | RM-reference material | 2017-04-14 | 2017-05-18 | RESPONSE project; 2015-2017 | 1802-17 | |
| Aminoindanes | MEAI | ![]() | 5-methoxy-2,3-dihydro-1H-inden-2-amine | 5-methoxy-2-Aminoindane, 5-MeO-AI, 2,3-dihydro-5-methoxy-1H-Inden-2-amine | C10H13NO | 163.22 | 146 | 163 | 148 | 3.71 | show | HLXHCNWEVQNNKA-UHFFFAOYSA-N | test purchase | 2017-04-24 | RESPONSE project; 2015-2017 | 1780-17 | ||
| Opioids | Furanylethyl Fentanyl | ![]() | N-{1-[2-(furan-2-yl)ethyl]piperidin-4-yl}-N-phenylpropanamide | N-[1-[2-(2-furanyl)ethyl]-4-piperidinyl]-N-phenyl-propanamide | C20H26N2O2 | 326.44 | 245 | 146 | 189 | 9.89 | show | AFTQVAQNGJXATO-UHFFFAOYSA-N | RM-reference material | 2017-05-30 | RESPONSE project; 2015-2017 | 1821-17 | ||
| Phenethylamines | 25I-NB4OMe- | ![]() | [2-(4-iodo-2,5-dimethoxyphenyl)ethyl][(4-methoxyphenyl)methyl]amine | 25I-NBOMe 4-methoxy isomer; 2-(4-iodo-2,5-dimethoxyphenyl)-N-(4-methoxybenzyl)ethan-1-amine; 4-methoxy-25I-NBOMe | C18H22INO3 | 427.28 | 121 | 150 | 122 | 11.70 | show | NWOROGLTELSWAZ-UHFFFAOYSA-N | RM-reference material | 2017-05-30 | RESPONSE project; 2015-2017 | 1823-17 | ||
| Arylcyclohexylamines | 2F-ketamine | ![]() | 2-(2-fluorophenyl)-2-(methylamino)cyclohexan-1-one | 2-fluorodeschloroketamine; 2-(2-fluorophenyl)-2-methylamino-cyclohexanone; 2-Fl-2'-Oxo-PCM; | C13H16FNO | 221.28 | 164 | 193 | 136 | 5.00 | show | PHFAGYYTDLITTB-UHFFFAOYSA-N | test purchase | Analytical report added. | 2017-05-30 | 2017-08-02 | RESPONSE project; 2015-2017 | 1818-17 |
| Cannabinoids | ADB-FUBICA | ![]() | 2-({1-[(4-fluorophenyl)methyl]-1H-indol-3-yl}formamido)-3,3-dimethylbutanamide | N-(1-amino-3,3-dimethyl-1-oxobutan-2-yl)-1-(4-fluorobenzyl)-1H-indole-3-carboxamide | C22H24FN3O2 | 381.45 | 109 | 252 | 253 | 15.63 | show | QIFOZYUACLDTAJ-UHFFFAOYSA-N | RM-reference material | 2017-05-30 | RESPONSE project; 2015-2017 | 1822-17 | ||
| Indolalkylamines (fe tryptamines) | AMT | ![]() | 1-(1H-indol-3-yl)propan-2-amine | alpha-methyltryptamine; 2-(1H-indol-3-yl)-1-methyl-ethylamine | C11H14N2 | 174.25 | 131 | 130 | 44 | 5.43 | show | QSQQQURBVYWZKJ-UHFFFAOYSA-N | test purchase | 2017-05-30 | RESPONSE project; 2015-2017 | 1816-17 | ||
| Cannabinoids | 5Cl-AB-PINACA | ![]() | 2-{[1-(5-chloropentyl)-1H-indazol-3-yl]formamido}-3-methylbutanamide | N-[1-(aminocarbonyl)-2-methylpropyl]-1-(5-chloropentyl)-1H-indazole-3-carboxamide; 5-chloro-AB-PINACA; 5Cl-ABP | C18H25ClN4O2 | 364.87 | 249 | 320 | 145 | 13.60 | show | VUPMALPMUYUYES-UHFFFAOYSA-N | test purchase | 2017-05-30 | RESPONSE project; 2015-2017 | 1815-17 | ||
| Cathinones | 3-CEC | ![]() | 1-(3-chlorophenyl)-2-(ethylamino)propan-1-one | 3-chloroethcathinone;PAL-36 | C11H14ClNO | 211.69 | 72 | 44 | 111 | 4.16 | show | ZMJIUWPWADQNLC-UHFFFAOYSA-N | test purchase | 2017-05-30 | RESPONSE project; 2015-2017 | 1819-17 | ||
| Cannabinoids | 5F-3,5-AB-PFUPPYCA | ![]() | (2S)-2-{[1-(5-fluoropentyl)-3-(4-fluorophenyl)-1H-pyrazol-5-yl]formamido}-3-methylbutanamide | AB-FUPPYCA; AZ-037; (S)-N-(1-amino-3-methyl-1-oxobutan-2-yl)-1-(5-fluoropentyl)-3-(4-fluorophenyl)-1H-pyrazole-5-carboxamide; 3,5-5F-AB-FUPPYCA | C20H26F2N4O2 | 392.45 | 189 | 249 | 277 | 12.76 | show | JPKXVUNTSWGYKJ-SFHVURJKSA-N | RM-reference material | 2017-06-05 | RESPONSE project; 2015-2017 | 1800-17 | ||
| Cannabinoids | 5F-3,5-AB-PFUPPYCA | ![]() | (2S)-2-{[1-(5-fluoropentyl)-3-(4-fluorophenyl)-1H-pyrazol-5-yl]formamido}-3-methylbutanamide | AB-FUPPYCA; AZ-037; (S)-N-(1-amino-3-methyl-1-oxobutan-2-yl)-1-(5-fluoropentyl)-3-(4-fluorophenyl)-1H-pyrazole-5-carboxamide; 3,5-5F-AB-FUPPYCA | C20H26F2N4O2 | 392.45 | 189 | 249 | 277 | 12.75 | show | JPKXVUNTSWGYKJ-SFHVURJKSA-N | RM-reference material | 2017-06-05 | RESPONSE project; 2015-2017 | 1800-17B | ||
| Phenethylamines | 4-MA-NBOMe | ![]() | [(2-methoxyphenyl)methyl][1-(4-methylphenyl)propan-2-yl]amine | 4-Methylamphetamine NBOMe; N-(2-methoxybenzyl)-1-(p-tolyl)propan-2-amine | C18H23NO | 269.39 | 121 | 164 | 91 | 7.61 | show | CBRKBJHWROLUDO-UHFFFAOYSA-N | RM-reference material | 2017-07-17 | RESPONSE-2 project (NFL Slovenia);partially co-funded by ISF funds of EU | 1830-17 | ||
| Cathinones | N,N-Diethylpentylone | ![]() | 1-(2H-1,3-benzodioxol-5-yl)-2-(diethylamino)pentan-1-one | 1-(1,3-benzodioxol-5-yl)-2-(diethylamino)-1-pentanone; N,N-Diethylpentylone | C16H23NO3 | 277.36 | 128 | 129 | 149 | 7.08 | show | CUPSLSIMIHCVIA-UHFFFAOYSA-N | RM-reference material | 2017-07-17 | RESPONSE-2 project (NFL Slovenia);partially co-funded by ISF funds of EU | 1831-17 | ||
| Cathinones | MMMP | ![]() | 2-methyl-1-[4-(methylsulfanyl)phenyl]-2-(morpholin-4-yl)propan-1-one | Caccure 907; MMMP; MTMP; 2-methyl-1-(4-(methylthio)phenyl)-2-morpholinopropan-1-one | C15H21NO2S | 279.40 | 128 | 129 | 84 | 8.52 | show | LWRBVKNFOYUCNP-UHFFFAOYSA-N | RM-reference material | 2017-07-17 | RESPONSE-2 project (NFL Slovenia);partially co-funded by ISF funds of EU | 1828-17 | ||
| Phenethylamines | Homarylamine | ![]() | [2-(2H-1,3-benzodioxol-5-yl)ethyl](methyl)amine | MDMPEA; MK-71; N-Methylhomopiperonylamine; N-methyl-3,4-Methylenedioxyphenethylamine; N-methyl-1,3-benzodioxole-5-ethanamine | C10H13NO2 | 179.22 | 44 | 136 | 135 | 3.77 | show | OPJOMVMFYOUDPK-UHFFFAOYSA-N | RM-reference material | 2017-07-17 | RESPONSE-2 project (NFL Slovenia);partially co-funded by ISF funds of EU | 1824-17 | ||
| Phenethylamines | 4-MMA-NBOMe | ![]() | [(2-methoxyphenyl)methyl](methyl)[1-(4-methylphenyl)propan-2-yl]amine | N-(ortho-methoxybenzyl)-4-Methylmethamphetamine; N-(2-methoxybenzyl)-N-methyl-1-(p-tolyl)propan-2-amine | C19H25NO | 283.42 | 121 | 178 | 91 | 7.91 | show | OPOYXGQXRAORRI-UHFFFAOYSA-N | RM-reference material | 2017-07-17 | RESPONSE-2 project (NFL Slovenia);partially co-funded by ISF funds of EU | 1829-17 | ||
| Cannabinoids | 5F-CYPPICA | ![]() | N-(cyclopropylmethyl)-1-(5-fluoropentyl)-1H-indole-3-carboxamide | 5-fluoro AMP; 5-fluoro AMP Indole; 5-fluoro CYPPICA | C18H23FN2O | 302.39 | 232 | 144 | 233 | 11.02 | show | ZBWTXQPFLUBXFN-UHFFFAOYSA-N | RM-reference material | 2017-07-17 | RESPONSE-2 project (NFL Slovenia);partially co-funded by ISF funds of EU | 1832-17 | ||
| Cathinones | 3-CEC | ![]() | 1-(3-chlorophenyl)-2-(ethylamino)propan-1-one | 3-Chloroethcathinone; 1-(3-chlorophenyl)-2-(ethylamino)propan-1-one | C11H14ClNO | 211.69 | 72 | 44 | 111 | 4.15 | show | ZMJIUWPWADQNLC-UHFFFAOYSA-N | RM-reference material | 2017-07-17 | RESPONSE-2 project (NFL Slovenia);partially co-funded by ISF funds of EU | 1827-17 | ||
| Arylalkylamines | N-methyl-1-phenylpropylamine | ![]() | methyl(1-phenylpropyl)amine | N-methyl-1-Phenylpropan-1-amine; alpha-ethyl-N-methyl-benzenemethanamine | C10H15N | 149.24 | 120 | 42 | 91 | 2.33 | show | YELGXBUYFOSFJM-UHFFFAOYSA-N | RM-reference material | 2017-08-01 | RESPONSE-2 project (NFL Slovenia);partially co-funded by ISF funds of EU | 1825-17 | ||
| Cathinones | 4Cl-PVP | ![]() | 1-(4-chlorophenyl)-2-(pyrrolidin-1-yl)pentan-1-one | C15H20ClNO | 265.78 | 126 | 127 | 111 | 6.78 | show | NIGBFBTVONRYQN-UHFFFAOYSA-N | test purchase | Sample was purchased as JWH-424; the salt form of identified compound is sulphate | 2017-08-16 | RESPONSE-2 project (NFL Slovenia);partially co-funded by ISF funds of EU | 1744-17 | ||
| Cathinones | PV9 | ![]() | 1-phenyl-2-(pyrrolidin-1-yl)octan-1-one | α-pyrrolidinooctanophenone, α-POP | C18H27NO | 273.42 | 168 | 169 | 77 | 7.46 | show | RCGHPLZKUHDGCC-UHFFFAOYSA-N | test purchase | Sample was purchased as 4-SDMC | 2017-08-16 | RESPONSE-2 project (NFL Slovenia);partially co-funded by ISF funds of EU | 1739-17 | |
| Opioids | Cyclohexyl fentanyl | ![]() | N-phenyl-N-[1-(2-phenylethyl)piperidin-4-yl]cyclohexanecarboxamide | N-(1-phenethylpiperidin-4-yl)-N-phenylcyclohexanecarboxamide | C26H34N2O | 390.57 | 83 | 299 | 189 | 14.74 | show | CWLVCTNETVWMMZ-UHFFFAOYSA-N | RM-reference material | 2017-08-18 | RESPONSE-2 project (NFL Slovenia);partially co-funded by ISF funds of EU | 1844-17 | ||
| Phenethylamines | 25H-NBOH | ![]() | 2-({[2-(2,5-dimethoxyphenyl)ethyl]amino}methyl)phenol | [2-(2,5-dimethoxyphenyl)ethyl](trimethylsilyl)({2-[(trimethylsilyl)oxy]phenyl}methyl)amine, 2-[[[2-(2,5-dimethoxyphenyl)ethyl]amino]methyl]-phenol | C17H21NO3 | 287.36 | 179 | 73 | 280 | 9.85 | show | GWSDQXKNRDQTTQ-UHFFFAOYSA-N | RM-reference material | for GC-MS compound was derivatized by MSTFA: GC-RT and MS spectrum refer to di- TMS derivative; nonderivatized cpd. decomposed to 2C-H | 2017-08-18 | RESPONSE-2 project (NFL Slovenia);partially co-funded by ISF funds of EU | 1839-17 | |
| Piperazine derivates | 2-FPP | ![]() | 1-(2-fluorophenyl)piperazine | 1-(ortho-Fluorophenyl)piperazine; ortho-FPP; o-FPP | C10H13FN2 | 180.23 | 138 | 180 | 122 | 3.64 | show | IVTZRJKKXSKXKO-UHFFFAOYSA-N | RM-reference material | 2017-08-18 | RESPONSE-2 project (NFL Slovenia);partially co-funded by ISF funds of EU | 1842-17 | ||
| Opioids | 4-Fluoro_Methoxyacetyl_fentanyl | ![]() | N-(4-fluorophenyl)-2-methoxy-N-[1-(2-phenylethyl)piperidin-4-yl]acetamide | para-fluoro Methoxyacetyl fentanyl; 4F-Methoxyacetyl fentanyl | C22H27FN2O2 | 370.47 | 279 | 105 | 96 | 11.49 | show | KDXSBALZECTNCT-UHFFFAOYSA-N | RM-reference material | 2017-08-18 | RESPONSE-2 project (NFL Slovenia);partially co-funded by ISF funds of EU | 1846-17 | ||
| Piperazine derivates | 3-FPP | ![]() | 1-(3-fluorophenyl)piperazine | 1-(meta-Fluorophenyl)piperazine; meta-FPP; 3-FPP | C10H13FN2 | 180.23 | 138 | 180 | 122 | 4.08 | show | KIFCSMQTGWVMOD-UHFFFAOYSA-N | RM-reference material | 2017-08-18 | RESPONSE-2 project (NFL Slovenia);partially co-funded by ISF funds of EU | 1851-17 | ||
| Cannabinoids | CHM-122 | ![]() | 1-(cyclohexylmethyl)-3-(4-methylnaphthalene-1-carbonyl)-1H-indole | [1-(cyclohexylmethyl)-1H-indol-3-yl](4-methyl-1-naphthalenyl)-methanone | C27H27NO | 381.52 | 298 | 169 | 381 | 18.73 | show | LRHHYHXSAWSXNA-UHFFFAOYSA-N | RM-reference material | 2017-08-18 | RESPONSE-2 project (NFL Slovenia);partially co-funded by ISF funds of EU | 1848-17 | ||
| Benzodiazepines | 7-Aminoflunitrazepam | ![]() | 7-amino-5-(2-fluorophenyl)-1-methyl-2,3-dihydro-1H-1,4-benzodiazepin-2-one | 7-amino-5-(2-fluorophenyl)-1,3-dihydro-1-methyl-2H-1,4-benzodiazepin-2-one | C16H14FN3O | 283.31 | 283 | 255 | 254 | 10.45 | show | LTCDLGUFORGHGY-UHFFFAOYSA-N | RM-reference material | 1mg/ml solution in acetonitrile | 2017-08-18 | RESPONSE-2 project (NFL Slovenia);partially co-funded by ISF funds of EU | 1849-17 | |
| Opioids | 2-FIBF | ![]() | N-(2-fluorophenyl)-2-methyl-N-[1-(2-phenylethyl)piperidin-4-yl]propanamide | N-(2-fluorophenyl)-N-(1-phenethylpiperidin-4-yl)isobutyramide; 2-FIBF, ortho-Fluoroisobutyryl fentanyl, o-FIBF, 2-Fluoroisobutyryl fentanyl | C23H29FN2O | 368.50 | 277 | 164 | 207 | 10.91 | show | NEWBKHYGTFTPMC-UHFFFAOYSA-N | RM-reference material | 2017-08-18 | RESPONSE-2 project (NFL Slovenia);partially co-funded by ISF funds of EU | 1843-17 | ||
| Cannabinoids | MEP-FUBICA | ![]() | methyl (2S)-2-({1-[(4-fluorophenyl)methyl]-1H-indol-3-yl}formamido)pentanoate | methyl (S)-2-(1-(4-fluorobenzyl)-1H-indole-3-carboxamido)pentanoate; methyl 2-({1-[(4-fluorophenyl)methyl]-1H-indol-3-yl}formamido)pentanoate;MMB-FUBICA isomer 1 | C22H23FN2O3 | 382.44 | 109 | 252 | 253 | 13.58 | show | NJKBTNATMCPTGH-IBGZPJMESA-N | RM-reference material | 2017-08-18 | RESPONSE-2 project (NFL Slovenia);partially co-funded by ISF funds of EU | 1845-17 | ||
| Opioids | Cyclopropyl fentanyl | ![]() | N-phenyl-N-[1-(2-phenylethyl)piperidin-4-yl]cyclopropanecarboxamide | N-(1-phenethylpiperidin-4-yl)-N-phenylcyclopropanecarboxamide | C23H28N2O | 348.49 | 257 | 146 | 69 | 11.88 | show | OIQSKDSKROTEMN-UHFFFAOYSA-N | RM-reference material | 2017-08-18 | RESPONSE-2 project (NFL Slovenia);partially co-funded by ISF funds of EU | 1850-17 | ||
| Arylcyclohexylamines | 2-fluoro Deschloroketamine | ![]() | 2-(2-fluorophenyl)-2-(methylamino)cyclohexan-1-one | 2-(2-fluorophenyl)-2-(methylamino)-cyclohexanone; 2-FDCK | C13H16FNO | 221.28 | 164 | 136 | 193 | 5.00 | show | PHFAGYYTDLITTB-UHFFFAOYSA-N | RM-reference material | 2017-08-18 | RESPONSE-2 project (NFL Slovenia);partially co-funded by ISF funds of EU | 1847-17 | ||
| Cathinones | 2-CEC | ![]() | 1-(2-chlorophenyl)-2-(ethylamino)propan-1-one | 2-Chloroethcathinone, 1-(2-chlorophenyl)-2-(ethylamino)-1-propanone | C11H14ClNO | 211.69 | 72 | 44 | 111 | 4.02 | show | SSLLMDUMCHGPJN-UHFFFAOYSA-N | RM-reference material | 2017-08-18 | RESPONSE-2 project (NFL Slovenia);partially co-funded by ISF funds of EU | 1841-17 | ||
| Cathinones | N-methyl Benzedrone | ![]() | 2-[benzyl(methyl)amino]-1-(4-methylphenyl)propan-1-one | 2-(benzyl(methyl)amino)-1-(p-tolyl)propan-1-one | C18H21NO | 267.37 | 91 | 148 | 65 | 7.67 | show | UIOKRZKDMRJWFG-UHFFFAOYSA-N | RM-reference material | 2017-08-18 | RESPONSE-2 project (NFL Slovenia);partially co-funded by ISF funds of EU | 1838-17 | ||
| Benzodiazepines | Etizolam | ![]() | 7-(2-chlorophenyl)-4-ethyl-13-methyl-3-thia-1,8,11,12-tetraazatricyclo[8.3.0.02,6]trideca-2(6),4,7,10,12-pentaene | Etilaam, Etizola, Sedekopan, Etizest, Pasaden, Depas | C17H15ClN4S | 342.85 | 342 | 344 | 313 | 13.60 | show | VMZUTJCNQWMAGF-UHFFFAOYSA-N | seized | 2017-08-18 | RESPONSE-2 project (NFL Slovenia);partially co-funded by ISF funds of EU | 1835-17 | ||
| Opioids | Cyclobutyl fentanyl | ![]() | N-phenyl-N-[1-(2-phenylethyl)piperidin-4-yl]cyclobutanecarboxamide | N-(1-phenethylpiperidin-4-yl)-N-phenylcyclobutanecarboxamide | C24H30N2O | 362.52 | 271 | 55 | 146 | 12.94 | show | XHRDMQWXMFOAIX-UHFFFAOYSA-N | RM-reference material | 2017-08-18 | RESPONSE-2 project (NFL Slovenia);partially co-funded by ISF funds of EU | 1840-17 | ||
| Others | DMAA | ![]() | 4-methylhexan-2-amine | 1,3-dimethylamylamine, Forthan, Forthane, Floradrene, Geranamine | C7H17N | 115.22 | 44 | 41 | 42 | 2.12 | show | YAHRDLICUYEDAU-UHFFFAOYSA-N | seized | 2017-08-18 | RESPONSE-2 project (NFL Slovenia);partially co-funded by ISF funds of EU | 1834-17 | ||
| Piperidines & pyrrolidines | Ethylphenidate | ![]() | ethyl 2-phenyl-2-(piperidin-2-yl)acetate | 2-Piperidineaceticacid, a-phenyl-, ethyl ester; EPH; EP | C15H21NO2 | 247.34 | 84 | 91 | 55 | 5.79 | show | AIVSIRYZIBXTMM-UHFFFAOYSA-N | RM-reference material | 2017-09-27 | RESPONSE project; 2015-2017 | 1619-16 | ||
| Cannabinoids | Cumyl-PeGaClone | ![]() | 5-pentyl-2-(2-phenylpropan-2-yl)-1H,2H,5H-pyrido[4,3-b]indol-1-one | 2-(1-methyl-1-phenyl-ethyl)-5-pentyl-pyrido[4,3-b]indol-1-one; Cumyl pegaclone; SGT-151 | C25H28N2O | 372.51 | 254 | 197 | 118 | 16.08 | show | AWHWTKXMUJLSRM-UHFFFAOYSA-N | collected | 2017-10-20 | Forensic Science Institute Zurich, Switzerland | 1860-17 | ||
| Cannabinoids | Cumyl-4CN-B7AICA | ![]() | 1-(4-cyanobutyl)-N-(2-phenylpropan-2-yl)-1H-pyrrolo[2,3-b]pyridine-3-carboxamide | N-Cumyl-1-(4-cyanobutyl)-7-azaindol-3-carboxamide; 1-(4-cyanobutyl)-N-(1-methyl-1-phenyl-ethyl)pyrrolo[2,3-b]pyridine-3-carboxamide; 1-(4-cyanobutyl)-N-(2-phenylpropan-2-yl)-7-azaindole-3-carboxamide | C22H24N4O | 360.46 | 226 | 145 | 117 | 15.13 | show | DYPZVGXELGJCHD-UHFFFAOYSA-N | collected | 2017-10-20 | Forensic Science Institute Zurich, Switzerland (NMR confirmed sample) | 1859-17 | ||
| Phenethylamines | 3C-P | ![]() | 1-(3,5-dimethoxy-4-propoxylphenyl)propan-2-amine | alpha-Methyl-4-propoxy-3,5-dimethoxyphenethylamine | C14H23NO3 | 253.34 | 168 | 210 | 167 | 6.03 | show | KKMCHCCXGKYEKJ-UHFFFAOYSA-N | collected | 2017-10-20 | Forensic Science Institute Zurich, Switzerland | 1855-17 | ||
| Opioids | Benzylfentanyl | ![]() | N-(1-benzylpiperidin-4-yl)-N-phenylpropanamide | R-4129; Benzyl Fentanyl; N-(1-Benzyl-4-piperidinyl)-N-phenylpropanamide | C21H26N2O | 322.45 | 91 | 82 | 173 | 10.37 | show | POQDXIFVWVZVML-UHFFFAOYSA-N | collected | 2017-10-20 | Forensic Science Institute Zurich, Switzerland | 1856-17 | ||
| Benzodiazepines | Flunitrazolam | ![]() | 9-(2-fluorophenyl)-3-methyl-12-nitro-2,4,5,8-tetraazatricyclo[8.4.0.0²,⁶]tetradeca-1(14),3,5,8,10,12-hexaene | 1-methyl-8-nitro-6-(2-fluorophenyl)-4H-[1,2,4]triazolo[4,3-a][1,4]benzodiazepine | C17H12FN5O2 | 337.31 | 222 | 308 | 221 | 13.66 | show | RDLAGIOILLWVTM-UHFFFAOYSA-N | collected | 2017-10-20 | Forensic Science Institute Zurich, Switzerland (NMR confirmed sample) | 1852-17 | ||
| Cathinones | DL-4662 | ![]() | 1-(3,4-dimethoxyphenyl)-2-(ethylamino)pentan-1-one | 3,4-Dimethoxy-N-ethylnorpentedrone, DL 4662; 3',4'-Dimethoxy-alpha-(ethylamino)valerophenone | C15H23NO3 | 265.35 | 100 | 101 | 58 | 6.98 | show | WZVCLFAACAERMB-UHFFFAOYSA-N | collected | 2017-10-20 | Forensic Science Institute Zurich, Switzerland (NMR confirmed sample) | 1857-17 | ||
| Opioids | 2-iP-Fu-F | ![]() | N-[1-(2-phenylethyl)piperidin-4-yl]-N-[2-(propan-2-yl)phenyl]furan-2-carboxamide | Furanyl fentanyl 2-isopropylphenyl analog; 2-isopropyl Fu-F; 2-isopropyl Furanyl fentanyl; o-isopropyl Fu-F; o-isopropyl Furanyl fentanyl; ortho-isopropyl Furanyl fentanyl; | C27H32N2O2 | 416.56 | 325 | 95 | 282 | 15.52 | show | AYVSHUVVWFNBHR-UHFFFAOYSA-N | RM-reference material | 2017-10-23 | RESPONSE-2 project (NFL Slovenia);partially co-funded by ISF funds of EU | 1861-17 | ||
| Opioids | 4Cl-Fu-F | ![]() | N-(4-chlorophenyl)-N-[1-(2-phenylethyl)piperidin-4-yl]furan-2-carboxamide | p-chloro Fu-F; 4-chloro Fu-F; p-chloro Furanyl fentanyl; 4-chloro Furanyl fentanyl; para-chloro Furanyl fentany; N-(4-chlorophenyl)-N-(1-phenethylpiperidin-4-yl)furan-2-carboxamide | C24H25ClN2O2 | 408.93 | 317 | 95 | 274 | 15.49 | show | AZXDRBNBIMRBJI-UHFFFAOYSA-N | RM-reference material | 2017-10-23 | RESPONSE-2 project (NFL Slovenia);partially co-funded by ISF funds of EU | 1862-17 | ||
| Cathinones | Metamfepramone | ![]() | 2-dimethylamino-1-phenylpropan-1-one | 2-(dimethylamino)propiophenone; N,N-Dimethylcathinone; Dimethylpropione; Dimepropione | C11H15NO | 177.25 | 72 | 77 | 42 | 3.13 | show | KBHMHROOFHVLBA-UHFFFAOYSA-N | collected | 2017-10-23 | Forensic Science Institute Zurich, Switzerland | 1854-17 | ||
| Opioids | Cyclopentenyl fentanyl | ![]() | N-phenyl-N-[1-(2-phenylethyl)piperidin-4-yl]cyclopent-1-ene-1-carboxamide | N-(1-phenethylpiperidin-4-yl)-N-phenylcyclopent-1-ene-1-carboxamide | C25H30N2O | 374.53 | 95 | 283 | 96 | 14.20 | show | SYSQDIUBJXIHAM-UHFFFAOYSA-N | RM-reference material | 2017-10-23 | RESPONSE-2 project (NFL Slovenia);partially co-funded by ISF funds of EU | 1863-17 | ||
| Cathinones | 4-MC | ![]() | 2-amino-1-(4-methylphenyl)propan-1-one | 4-methylcathinone; nor-mephedrone; 2-amino-1-(4-methylphenyl)-1-propanone; | C10H13NO | 163.22 | 44 | 91 | 119 | 3.35 | show | OHULHWHSUJEYIT-UHFFFAOYSA-N | collected | 2017-10-24 | Forensic Science Institute Zurich, Switzerland | 1853-17 | ||
| Others | P2NP | ![]() | 2-nitroprop-1-en-1-yl benzene | NSC 2014; P2NP; phenyl-2-nitropropene; 1-phenyl-2-nitropropene; methylnitrostyrene; trans-β-Methyl-β-nitrostyrene; β-Methyl-β-nitrostyrene; (2-Nitroprop-1-en-1-yl)benzene; Benzene, (2-nitro-1-propenyl)-; 2-Nitro-1-phenylpropene | C9H9NO2 | 163.18 | 115 | 91 | 105 | 3.45 | show | WGSVFWFSJDAYBM-UHFFFAOYSA-N | seized | We were not able to obtain exact monoisotopic mass by HPLC-TOF; the structure of the substance as E isomere was confirmed by NMR | 2017-10-24 | RESPONSE-2 project (NFL Slovenia);partially co-funded by ISF funds of EU | 1721-16 | |
| Indolalkylamines (fe tryptamines) | ALD-52 | ![]() | 11-acetyl-N,N-diethyl-6-methyl-6,11-diazatetracyclo[7.6.1.0²,⁷.0¹²,¹⁶]hexadeca-1(16),2,9,12,14-pentaene-4-carboxamide | 1-acetyllysergic acid diethylamide, 4-acetyl-N,N-diethyl-7-methyl-6,6a,8,9-tetrahydroindolo[4,3-fg]quinoline-9-carboxamide | C22H27N3O2 | 365.48 | 263 | 72 | 221 | 16.95 | show | FJOWXGYLIWJFCH-UHFFFAOYSA-N | test purchase | 2017-10-26 | RESPONSE project; 2015-2017 | 1404-16 | ||
| Others | IDRA-21 | ![]() | 7-chloro-3-methyl-3,4-dihydro-2H-1λ⁶,2,4-benzothiadiazine-1,1-dione | 7-chloro-3-methyl-3,4-dihydro-2H-benzo[e][1,2,4]thiadiazine 1,1- dioxide | C8H9ClN2O2S | 232.68 | 126 | 217 | 142 | 8.05 | show | VZRNTCHTJRLTMU-UHFFFAOYSA-N | test purchase | nootropic | 2017-10-26 | RESPONSE project; 2015-2017 | 1675-16 | |
| Aminoindanes | 4,5-MDAI | ![]() | 2H,6H,7H,8H-indeno[4,5-d][1,3]dioxol-7-amine | 7,8-dihydro-6H-indeno[4,5-d]-1,3-dioxol-7-amine | C10H11NO2 | 177.20 | 177 | 160 | 149 | 4.35 | show | AHYFDWHTTFREHS-UHFFFAOYSA-N | RM-reference material | 2017-11-10 | RESPONSE-2 project (NFL Slovenia);partially co-funded by ISF funds of EU | 1877-17 | ||
| Cathinones | 4-MDEC | ![]() | 2-(diethylamino)-1-(4-methylphenyl)propan-1-one | N,N-Diethyl-4-methylcathinone; 2-(diethylamino)-1-(p-tolyl)propan-1-one; 4-methyl-N,N-diethylcathinone; N,N-DEMC; 4-MEC ET | C14H21NO | 219.33 | 100 | 44 | 101 | 4.64 | show | SPARQPFHQXMJOR-UHFFFAOYSA-N | collected | sample is a mixture of 4-MDEC and diethylamine in the molar ratio 2 :1 (see NMR analytical report ) | 2017-11-10 | Forensic Science Institute Zurich, Switzerland. | 1858-17 | |
| Opioids | 4Cl-butyryl-fentanyl | ![]() | N-(4-chlorophenyl)-N-[1-(2-phenylethyl)piperidin-4-yl]butanamide | para-Chlorobutyryl fentanyl; N-(4-chlorophenyl)-N-[1-(2-phenylethyl)-4-piperidinyl]-butanamide | C23H29ClN2O | 384.95 | 293 | 180 | 223 | 12.84 | show | YRAMWTYYYLTADR-UHFFFAOYSA-N | RM-reference material | 2017-11-10 | RESPONSE-2 project (NFL Slovenia);partially co-funded by ISF funds of EU | 1876-17 | ||
| Opioids | Norcarfentanyl | ![]() | methyl 4-(N-phenylpropanamido)piperidine-4-carboxylate | 4-Piperidinecarboxylicacid, 4-[(1-oxopropyl)phenylamino]-, methyl ester; 4-[(1-oxopropyl)phenylamino]-4-Piperidinecarboxylic acid, methyl ester | C16H22N2O3 | 290.36 | 141 | 126 | 82 | 7.97 | show | HFNFODVRYCEIQL-UHFFFAOYSA-N | RM-reference material | 2017-11-15 | RESPONSE-2 project (NFL Slovenia);partially co-funded by ISF funds of EU | 1870-17 | ||
| Opioids | N-Methylcarfentanyl | ![]() | methyl 1-methyl-4-(N-phenylpropanamido)piperidine-4-carboxylate | 4-Piperidinecarboxylic acid, 1-methyl-4-((1-oxopropyl)phenylamino)-, methyl ester; 1-methyl-4-[(1-oxopropyl)phenylamino]-4-Piperidinecarboxylic acid, methyl ester; R-32395; n-methyl Norcarfentanil | C17H24N2O3 | 304.39 | 96 | 155 | 140 | 7.77 | show | KKEVIELPQLXPRR-UHFFFAOYSA-N | RM-reference material | 2017-11-15 | RESPONSE-2 project (NFL Slovenia);partially co-funded by ISF funds of EU | 1871-17 | ||
| Benzodiazepines | 3-Hydroxyflubromazepam | ![]() | 7-bromo-5-(2-fluorophenyl)-3-hydroxy-2,3-dihydro-1H-1,4-benzodiazepin-2-one | 7-bromo-5-(2-fluorophenyl)-1,3-dihydro-3-hydroxy-2H-1,4-benzodiazepin-2-one | C15H10BrFN2O2 | 349.16 | 223 | 302 | 304 | 9.16 | show | LAAYFWALJDHMAB-UHFFFAOYSA-N | RM-reference material | 2017-11-15 | RESPONSE-2 project (NFL Slovenia);partially co-funded by ISF funds of EU | 1874-17 | ||
| Benzodiazepines | Meclonazepam | ![]() | (3S)-5-(2-chlorophenyl)-3-methyl-7-nitro-2,3-dihydro-1H-1,4-benzodiazepin-2-one | (3S)-5-(2-chlorophenyl)-3-methyl-7-nitro-1,3-dihydro-1,4-benzodiazepin-2-one | C16H12ClN3O3 | 329.74 | 294 | 288 | 286 | 11.66 | show | LMUVYJCAFWGNSY-VIFPVBQESA-N | RM-reference material | 2017-11-15 | RESPONSE-2 project (NFL Slovenia);partially co-funded by ISF funds of EU | 1873-17 | ||
| Opioids | Norfentanyl | ![]() | N-phenyl-N-(piperidin-4-yl)propanamide | N-phenyl-N-4-piperidinyl-propanamide; NSC 89293 | C14H20N2O | 232.33 | 83 | 82 | 175 | 6.90 | show | PMCBDBWCQQBSRJ-UHFFFAOYSA-N | RM-reference material | 2017-11-15 | RESPONSE-2 project (NFL Slovenia);partially co-funded by ISF funds of EU | 1872-17 | ||
| Opioids | Methoxyacetyl-F | ![]() | 2-methoxy-N-phenyl-N-[1-(2-phenylethyl)piperidin-4-yl]acetamide | Methoxy-AcF, Methoxyacetyl fentanyl | C22H28N2O2 | 352.48 | 261 | 158 | 105 | 11.85 | show | SADNVKRDSWWFTK-UHFFFAOYSA-N | seized | citrate salt of compound; sample was purchased as "Ching" | 2017-11-15 | RESPONSE-2 project (NFL Slovenia);partially co-funded by ISF funds of EU | 1878-17 | |
| Opioids | 2-Me-Fu-F | ![]() | N-(2-methylphenyl)-N-[1-(2-phenylethyl)piperidin-4-yl]furan-2-carboxamide | orto-methyl Furanyl Fentanyl; Furanyl fentanyl 2-methylphenyl analog; 2-methyl Furanyl fentanyl; o-methyl Furanyl fentanyl | C25H28N2O2 | 388.51 | 95 | 297 | 254 | 14.19 | show | BFKNHOZXFOQILA-UHFFFAOYSA-N | RM-reference material | 2017-11-17 | RESPONSE-2 project (NFL Slovenia);partially co-funded by ISF funds of EU | 1879-17 | ||
| Opioids | Benzylfentanyl | ![]() | N-(1-benzylpiperidin-4-yl)-N-phenylpropanamide | R-4129 Benzyl Fentanyl N-(1-Benzyl-4-piperidinyl)-N-phenylpropanamide | C21H26N2O | 322.45 | 91 | 82 | 173 | 10.40 | show | POQDXIFVWVZVML-UHFFFAOYSA-N | seized | empirical formula corrected 25/03/2018 | 2017-11-20 | 2018-03-25 | RESPONSE-2 project (NFL Slovenia);partially co-funded by ISF funds of EU | 1887-17 |
| Cathinones | bk-IMP | ![]() | 1-(2,3-dihydro-1H-inden-5-yl)-N-methyl-1-oxopropan-2-amine | bk-IMP; 1-(indan-5yl)-2-(methylamino)propan-1-one | C13H17NO | 203.28 | 58 | 115 | 91 | 5.50 | show | FHGNUKAARRYOMM-UHFFFAOYSA-N | test purchase | purchased as adrafinil | 2017-11-21 | RESPONSE-2 project (NFL Slovenia);partially co-funded by ISF funds of EU | 1867-17 | |
| Opioids | U-47931E | ![]() | 4-bromo-N-[2-(dimethylamino)cyclohexyl]benzamide | Bromadoline | C15H21BrN2O | 325.25 | 84 | 125 | 71 | 8.99 | show | UFDJFJYMMIZKLG-UHFFFAOYSA-N | test purchase | 2017-11-21 | RESPONSE-2 project (NFL Slovenia);partially co-funded by ISF funds of EU | 1869-17 | ||
| Piperidines & pyrrolidines | 1-(1,3-diphenylpropan-2yl)pyrrolidine | ![]() | 1-(1,3-diphenylpropan-2-yl)pyrrolidine | C19H23N | 265.40 | 174 | 175 | 91 | 7.74 | show | VQECHRQHFMUVRS-UHFFFAOYSA-N | test purchase | purchased as diphenyl-PBP | 2017-11-21 | RESPONSE-2 project (NFL Slovenia);partially co-funded by ISF funds of EU | 1865-17 | ||
| Cathinones | Eutylone | ![]() | 1-(2H-1,3-benzodioxol-5-yl)-2-(ethylamino)butan-1-one | ß-Keto-1,3-benzodioxolyl-N-ethylbutanamine; 1-(1,3-Benzodioxol-5-yl)-2-(ethylamino)butan-1-one; bk-EBDB | C13H17NO3 | 235.28 | 86 | 58 | 149 | 6.01 | show | YERSNXHEOIYEGX-UHFFFAOYSA-N | test purchase | 2017-11-21 | RESPONSE-2 project (NFL Slovenia);partially co-funded by ISF funds of EU | 1864-17 | ||
| Phenethylamines | 25H-NBMD | ![]() | [(2H-1,3-benzodioxol-4-yl)methyl][2-(2,5-dimethoxyphenyl)ethyl]amine | 2C-H-NBMD | C18H21NO4 | 315.37 | 135 | 164 | 152 | 9.84 | show | BLVQROVWUSBBFY-UHFFFAOYSA-N | RM-reference material | 2017-12-04 | RESPONSE-2 project (NFL Slovenia);partially co-funded by ISF funds of EU | 1885-17 | ||
| Cannabinoids | JWH-098 | ![]() | 3-(4-methoxynaphthalene-1-carbonyl)-2-methyl-1-pentyl-1H-indole | (4-methoxy-1-naphthalenyl)(2-methyl-1-pentyl-1H-indol-3-yl)-methanone; 2-Methyl-1-pentyl-3-(4-methoxynaphthoyl)indole | C26H27NO2 | 385.51 | 385 | 370 | 185 | 17.66 | show | CNTCHEBQQFICNR-UHFFFAOYSA-N | RM-reference material | 2017-12-04 | RESPONSE-2 project (NFL Slovenia);partially co-funded by ISF funds of EU | 1883-17 | ||
| Opioids | 4Cl-Acrylfentanyl | ![]() | N-(4-chlorophenyl)-N-[1-(2-phenylethyl)piperidin-4-yl]prop-2-enamide | N-(4-chlorophenyl)-N-(1-phenethylpiperidin-4-yl)acrylamide; 4-chloro Acryloylfentanyl; p-chloro Acryloylfentanyl; 4-chloro Acrylfentanyl; p-chloro Acrylfentanyl; 4Cl-acryl-F | C22H25ClN2O | 368.91 | 277 | 55 | 234 | 12.38 | show | CSFZVPAQJHDOCD-UHFFFAOYSA-N | RM-reference material | 2017-12-04 | RESPONSE-2 project (NFL Slovenia);partially co-funded by ISF funds of EU | 1886-17 | ||
| Piperidines & pyrrolidines | Methylphenidate | ![]() | methyl 2-phenyl-2-(piperidin-2-yl)acetate | Concerta; Medikinet; NSC 169868; Ritalin; α-Phenyl-2-piperidineacetic acid, methyl ester; methyl 2-phenyl-2-piperidin-2-ylacetate; Methyl phenyl(piperidin-2-yl)acetate | C14H19NO2 | 233.31 | 84 | 91 | 150 | 5.44 | show | DUGOZIWVEXMGBE-UHFFFAOYSA-N | RM-reference material | 2017-12-04 | RESPONSE-2 project (NFL Slovenia);partially co-funded by ISF funds of EU | 1880-17 | ||
| Opioids | 4Cl-Cyclopropyl-F | ![]() | N-(4-chlorophenyl)-N-[1-(2-phenylethyl)piperidin-4-yl]cyclopropanecarboxamide | 4-chloro Cyclopropyl fentanyl; p-chloro Cyclopropyl fentanyl; N-(4-chlorophenyl)-N-(1-phenethylpiperidin-4-yl)cyclopropanecarboxamide | C23H27ClN2O | 382.93 | 291 | 69 | 223 | 13.39 | show | IPGLBSCVAGTNBX-UHFFFAOYSA-N | RM-reference material | 2017-12-04 | RESPONSE-2 project (NFL Slovenia);partially co-funded by ISF funds of EU | 1894-17 | ||
| Cannabinoids | JWH-016 | ![]() | 1-butyl-2-methyl-3-(naphthalene-1-carbonyl)-1H-indole | (1-butyl-2-methyl-1H-indol-3-yl)-1-naphthalenyl-methanone; 1-Butyl-2-methyl-3-(1-naphthoyl)indole | C24H23NO | 341.45 | 341 | 127 | 340 | 14.30 | show | QKXRHYJSCZFHEK-UHFFFAOYSA-N | RM-reference material | 2017-12-04 | RESPONSE-2 project (NFL Slovenia);partially co-funded by ISF funds of EU | 1882-17 | ||
| Phenethylamines | 3-MeOMA | ![]() | [1-(3-methoxyphenyl)propan-2-yl](methyl)amine | meta-methoxymethamphetamine; 3-methoxymethamphetamine; MMMA; 1-(3-methoxyphenyl)-N-methyl-propan-2-amine | C11H17NO | 179.26 | 58 | 56 | 91 | 3.36 | show | USQWRDRXXKZFDI-UHFFFAOYSA-N | RM-reference material | 2017-12-04 | RESPONSE-2 project (NFL Slovenia);partially co-funded by ISF funds of EU | 1881-17 | ||
| Cannabinoids | JWH-309 | ![]() | 2-(naphthalen-1-yl)-4-(naphthalene-1-carbonyl)-1-pentyl-1H-pyrrole | 1-naphthalenyl[5-(1-naphthalenyl)-1-pentyl-1H-pyrrol-3-yl]-methanone | C30H27NO | 417.55 | 417 | 155 | 416 | 20.14 | show | WVISOUYKTUUDFW-UHFFFAOYSA-N | RM-reference material | 2017-12-04 | RESPONSE-2 project (NFL Slovenia);partially co-funded by ISF funds of EU | 1884-17 | ||
| Benzodiazepines | Bromazolam | ![]() | 12-bromo-3-methyl-9-phenyl-2,4,5,8-tetraazatricyclo[8.4.0.0²,⁶]tetradeca-1(14),3,5,8,10,12-hexaene | 8-bromo-1-methyl-6-phenyl-4H-[1,2,4]triazolo[4,3-a][1,4]benzodiazepine | C17H13BrN4 | 353.22 | 204 | 323 | 325 | 13.79 | show | KCEIOBKDDQAYCM-UHFFFAOYSA-N | test purchase | 2017-12-06 | RESPONSE-2 project (NFL Slovenia);partially co-funded by ISF funds of EU | 1868-17 | ||
| Cannabinoids | AB-7-FUBAICA | ![]() | (2S)-2-({1-[(4-fluorophenyl)methyl]-1H-pyrrolo[2,3-b]pyridin-3-yl}formamido)-3-methylbutanamide | (S)-N-(1-amino-3-methyl-1-oxobutan-2-yl)-1-(4-fluorobenzyl)-1H-pyrrolo[2,3-b]pyridine-3-carboxamide | C20H21FN4O2 | 368.41 | 109 | 253 | 254 | 14.37 | show | AIZFETCNFVMZGT-KRWDZBQOSA-N | RM-reference material | 2017-12-07 | RESPONSE-2 project (NFL Slovenia);partially co-funded by ISF funds of EU | 1895-17 | ||
| Others | Phenylpiracetam | ![]() | 2-(2-oxo-4-phenylpyrrolidin-1-yl)acetamide | 4-Phenyl-2-pyrrolidone-1-acetamide; fonturacetam; Phenotropil; Carphedon; 4-phenylpiracetam, phenotropil | C12H14N2O2 | 218.26 | 174 | 160 | 104 | 7.81 | show | LYONXVJRBWWGQO-UHFFFAOYSA-N | seized | 2017-12-07 | RESPONSE-2 project (NFL Slovenia);partially co-funded by ISF funds of EU | 1888-17 | ||
| Opioids | 4Cl-Cyclopentyl-F | ![]() | N-(4-chlorophenyl)-N-[1-(2-phenylethyl)piperidin-4-yl]cyclopentanecarboxamide | 4-chloro Cyclopentanoyl fentanyl; para-chloro Cyclopentanoyl; p-chloro Cyclopentanoyl fentanyl; 4-chloro Cyclopentyl fentanyl; p-chloro Cyclopentyl fentanyl; 4Cl-CP-F; N-(4-chlorophenyl)-N-(1-phenethylpiperidin-4-yl)cyclopentanecarboxamide | C25H31ClN2O | 410.99 | 69 | 319 | 105 | 15.63 | show | SJMSXMAHJSSXOR-UHFFFAOYSA-N | RM-reference material | 2017-12-07 | RESPONSE-2 project (NFL Slovenia);partially co-funded by ISF funds of EU | 1897-17 | ||
| Benzodiazepines | Thionordiazepam | ![]() | 7-chloro-5-phenyl-2,3-dihydro-1H-1,4-benzodiazepine-2-thione | 7-chloro-5phenyl-1,3-dihydro-2H-1,4-benzodiazepine-2-thione | C15H11ClN2S | 286.78 | 286 | 223 | 285 | 10.95 | show | ULILTJWAJZIROM-UHFFFAOYSA-N | in house RM | 2017-12-07 | RESPONSE-2 project (NFL Slovenia);partially co-funded by ISF funds of EU | 1893-17 | ||
| Opioids | Methacrylfentanyl | ![]() | 2-methyl-N-phenyl-N-[1-(2-phenylethyl)piperidin-4-yl]prop-2-enamide | Methacrylic fentanyl; Methacrylic-F; N-(1-phenethylpiperidin-4-yl)-N-phenylmethacrylamide | C23H28N2O | 348.49 | 257 | 69 | 214 | 11.31 | show | YRRFMVAFZJGZNS-UHFFFAOYSA-N | RM-reference material | 2017-12-07 | RESPONSE-2 project (NFL Slovenia);partially co-funded by ISF funds of EU | 1896-17 | ||
| Cathinones | alpha-PPP | ![]() | 1-phenyl-2-(pyrrolidin-1-yl)propan-1-one | alpha-Pyrrolidinopropiophenone | C13H17NO | 203.28 | 98 | 56 | 77 | show | KPUJAQRFIJAORQ-UHFFFAOYSA-N | analytical report | 2017-12-15 | Hungarian Institute of Forensic Science, Budapest, Hungary | RPT: HIFS-006 | |||
| Cathinones | AMAPN | ![]() | 2-(methylamino)-1-(naphthalen-1-yl)propan-1-one | AMPAN | C14H15NO | 213.28 | 58 | 127 | 56 | show | QIACKSHQBOUATI-UHFFFAOYSA-N | analytical report | 2017-12-20 | Hungarian Institute of Forensic Science, Budapest, Hungary | RPT: HIFS-007 | |||
| Cathinones | 5Cl-bk-MPA | ![]() | 1-(5-chlorothiophen-2-yl)-2-(methylamino)propan-1-one | 1-(5-chlorothiophen-2-yl)-2-(methylamino)propan-1-one | C8H10ClNOS | 203.68 | 58 | 73 | 56 | show | VTSPXQPERGVFBV-UHFFFAOYSA-N | analytical report | 2017-12-20 | Hungarian Institute of Forensic Science, Budapest, Hungary | RPT: HIFS-008 | |||
| Cathinones | BMDP | ![]() | 1-(2H-1,3-benzodioxol-5-yl)-2-(benzylamino)propan-1-one | 3,4-methylenedioxy-N-benzyl cathinone; N-Benzyl-3,4-methylenedioxycathinone | C17H17NO3 | 283.33 | 91 | 134 | 65 | 8.97 | show | KRNIYOJEASBDDP-UHFFFAOYSA-N | seized | 2017-12-21 | 2020-01-06 | RESPONSE-2 project (NFL Slovenia);partially co-funded by ISF funds of EU | 1875-17 | |
| Phenethylamines | EFLEA | ![]() | N-[1-(2,3-dihydro-1,4-benzodioxin-6-yl)propan-2-yl]-N-methylhydroxylamine | N-hydroxy-3,4-ethylenedioxy-N-methylamphetamine; N-Hydroxy-N-methyl-1-(2,3-dihydro-1,4-benzodioxin-6-yl)propane-2-amine; 1-(2,3-Dihydro-1,4-benzodioxin-6-yl)-N-hydroxy-N-methylpropan-2-amine | C12H17NO3 | 223.27 | 146 | 149 | 147 | 6.76 | show | FFWSMXIWPUUWNK-UHFFFAOYSA-N | test purchase | for GC-MS compound was derivatized by MSTFA: GC-RT and MS spectrum refer to TMS derivative | 2018-01-09 | RESPONSE-2 project (NFL Slovenia);partially co-funded by ISF funds of EU | 1866-17 | |
| Phenethylamines | Hordenine | ![]() | 4-[2-(dimethylamino)ethyl]phenol | p-(2-Dimethylaminoethyl)phenol; N,N-dimethyltyramine | C10H15NO | 165.24 | 58 | 42 | 77 | 3.54 | show | KUBCEEMXQZUPDQ-UHFFFAOYSA-N | seized | 2018-01-10 | RESPONSE-2 project (NFL Slovenia);partially co-funded by ISF funds of EU | 1890-17 | ||
| Others | Noopept | ![]() | ethyl 2-{[1-(2-phenylacetyl)pyrrolidin-2-yl]formamido}acetate | Omberacetam; N-phenylacetyl-L-prolylglycine ethyl ester; GVS-111 | C17H22N2O4 | 318.37 | 70 | 188 | 91 | 9.85 | show | PJNSMUBMSNAEEN-UHFFFAOYSA-N | seized | 2018-01-10 | RESPONSE-2 project (NFL Slovenia);partially co-funded by ISF funds of EU | 1889-17 | ||
| Cannabinoids | Cumyl-PeGaClone | ![]() | 5-pentyl-2-(2-phenylpropan-2-yl)-1H,2H,5H-pyrido[4,3-b]indol-1-one | 2-(1-methyl-1-phenyl-ethyl)-5-pentyl-pyrido[4,3-b]indol-1-one; Cumyl pegaclone; SGT-151 | C25H28N2O | 372.51 | 254 | 197 | 255 | 16.11 | show | AWHWTKXMUJLSRM-UHFFFAOYSA-N | test purchase | powdered sample | 2018-01-18 | RESPONSE-2 project (NFL Slovenia);partially co-funded by ISF funds of EU | 1905-18 | |
| Phenethylamines | 4-FEA | ![]() | ethyl[1-(4-fluorophenyl)propan-2-yl]amine | 4-Fluoroethamphetamine; N-ethyl-4-fluoroamphetamine | C11H16FN | 181.25 | 72 | 44 | 109 | 2.61 | show | PUJNOWQUPWZVER-UHFFFAOYSA-N | test purchase | 2018-01-24 | RESPONSE-2 project (NFL Slovenia);partially co-funded by ISF funds of EU | 1900-18 | ||
| Phenethylamines | 25E-NBOH | ![]() | 2-({[2-(4-ethyl-2,5-dimethoxyphenyl)ethyl]amino}methyl)phenol | NBOH-2C-E | C19H25NO3 | 315.41 | 179 | 280 | 73 | 10.30 | show | SYBINTRPEZWFLZ-UHFFFAOYSA-N | test purchase | for GC-MS compound was derivatized by MSTFA: GC-RT and MS spectrum refers to di- TMS derivative; nonderivatized cpd. decomposed to 2C-E | 2018-01-24 | RESPONSE-2 project (NFL Slovenia);partially co-funded by ISF funds of EU | 1901-18 | |
| Arylcyclohexylamines | 3-HO-PCP | ![]() | 3-[1-(piperidin-1-yl)cyclohexyl]phenol | 3-Hydroxyphencyclid | C17H25NO | 259.39 | 288 | 330 | 331 | 8.20 | show | AMSXTZUCNOKUEN-UHFFFAOYSA-N | test purchase | for GC-MS compound was derivatized by MSTFA: GC-RT and MS spectrum refer for TMS derivative. | 2018-01-29 | RESPONSE-2 project (NFL Slovenia);partially co-funded by ISF funds of EU | 1904-18 | |
| Opioids | Isopropyl-U-47700 | ![]() | 3,4-dichloro-N-[2-(dimethylamino)cyclohexyl]-N-(propan-2-yl)benzamide | C18H26Cl2N2O | 357.32 | 84 | 124 | 125 | 9.67 | show | LGYQSYWASFBSHJ-UHFFFAOYSA-N | test purchase | 2018-01-29 | RESPONSE-2 project (NFL Slovenia);partially co-funded by ISF funds of EU | 1902-18 | |||
| Benzodiazepines | Flualprazolam | ![]() | 12-chloro-9-(2-fluorophenyl)-3-methyl-2,4,5,8-tetraazatricyclo[8.4.0.0²,⁶]tetradeca-1(14),3,5,8,10,12-hexaene | 8-chloro-6-(2-fluorophenyl)-1-methyl-4H-benzo[f][1,2,4]triazolo[4,3-a][1,4]diazepine | C17H12ClFN4 | 326.76 | 222 | 297 | 299 | 12.11 | show | MPZVLJCMGPYWQQ-UHFFFAOYSA-N | test purchase | 2018-01-29 | RESPONSE-2 project (NFL Slovenia);partially co-funded by ISF funds of EU | 1903-18 | ||
| Cathinones | 4-CDC | ![]() | 1-(4-chlorophenyl)-2-(dimethylamino)propan-1-one | 4-chloro-N,N-dimethylcathinone; 4-CDC; 4-CDMD; 4-chloro-N,N-DMC; 4-chloro-N,N-DMC | C11H14ClNO | 211.69 | 72 | 111 | 75 | 4.12 | show | XMBDJBGDUKIOFM-UHFFFAOYSA-N | seized | 2018-02-06 | National Romanian Police | 1908-18 | ||
| Cannabinoids | 5F-MDMB-P7AICA | ![]() | methyl 2-{[1-(5-fluoropentyl)-1H-pyrrolo[2,3-b]pyridin-3-yl]formamido}-3,3-dimethylbutanoate | methyl-[2-(1-(5-fluoropentyl)-1H-pyrrolo[2,3-b]pyridine-3-carboxamido)-3,3-dimethylbutanoate]; | C20H28FN3O3 | 377.46 | 233 | 145 | 234 | 11.10 | show | LIRBKFHBIDESHO-UHFFFAOYSA-N | test purchase | sample was purchased as 4’N 5F-ADB (5F-MDMB-P4-AICA); impurity was detected by by GC-MS, HPLC_TOF; entry was revised and Analytical report added -12.02.2018; | 2018-02-12 | RESPONSE-2 project (NFL Slovenia);partially co-funded by ISF funds of EU | 1899-17 | |
| Opioids | U-48800 | ![]() | 2-(2,4-Dichlorophenyl)-N-(2-(dimethylamino)cyclohexyl)-N-methylacetamide | U-48800 | C17H24Cl2N2O | 343.29 | 84 | 125 | 71 | 9.91 | show | FKUWIGXXBMULOI-UHFFFAOYSA-N | analytical report and sample | 2018-02-14 | ADEBAR project, Germany | 17/ADB-042; 1909-18 | ||
| Cathinones | N-Methylethylone | ![]() | 1-(2H-1,3-benzodioxol-5-yl)-2-[ethyl(methyl)amino]propan-1-one | N-Ethylmethylone; 3,4-Methylenedioxy-N-ethyl-N-methylcathinone; 1-(benzo[d][1,3]dioxol-5-yl)-2-(ethyl(methyl)amino)propan-1-one; MDMEC | C13H17NO3 | 235.28 | 86 | 58 | 87 | 5.89 | show | AKDKKEIHDXROHU-UHFFFAOYSA-N | RM-reference material | 2018-04-09 | RESPONSE-2 project (NFL Slovenia);partially co-funded by ISF funds of EU | 1919-18 | ||
| Benzodiazepines | 7-Aminoclonazepam | ![]() | 7-amino-5-(2-chlorophenyl)-2,3-dihydro-1H-1,4-benzodiazepin-2-one | 7-amino-5-(2-chlorophenyl)-1,3-dihydro-2H-1,4-benzodiazepin-2-one; 7-Aclz | C15H12ClN3O | 285.73 | 285 | 256 | 257 | 11.64 | show | HEFRPWRJTGLSSV-UHFFFAOYSA-N | RM-reference material | 2018-04-09 | RESPONSE-2 project (NFL Slovenia);partially co-funded by ISF funds of EU | 1918-18 | ||
| Indolalkylamines (fe tryptamines) | 4-AcO-DPT | ![]() | 3-[2-(dipropylamino)ethyl]-1H-indol-4-yl acetate | 4-acetoxy-N,N-Dipropyltryptamine; 4-AcO-DPT; 4-acetoxy DPT | C18H26N2O2 | 302.42 | 114 | 115 | 86 | 9.35 | show | KRUGABVNKKKCJN-UHFFFAOYSA-N | RM-reference material | 2018-04-09 | RESPONSE-2 project (NFL Slovenia);partially co-funded by ISF funds of EU | 1916-18 | ||
| Phenethylamines | 3,4-EDMA | ![]() | [1-(2,3-dihydro-1,4-benzodioxin-6-yl)propan-2-yl](methyl)amine | 3,4-Ethylenedioxy-N-methylamphetamine; 1-(2,3-dihydrobenzo[b][1,4]dioxin-6-yl)-N-methylpropan-2-amine | C12H17NO2 | 207.27 | 58 | 150 | 65 | 5.09 | show | UJKWLAZYSLJTKA-UHFFFAOYSA-N | RM-reference material | 2018-04-09 | RESPONSE-2 project (NFL Slovenia);partially co-funded by ISF funds of EU | 1921-18 | ||
| Opioids | N-methyl U-47931E | ![]() | 4-bromo-N-[2-(dimethylamino)cyclohexyl]-N-methylbenzamide | trans-4-bromo-N-[2-(dimethylamino)cyclohexyl]-N-methyl-benzamide | C16H23BrN2O | 339.28 | 84 | 125 | 71 | 9.17 | show | XQCGUPNNNXRBDG-UHFFFAOYSA-N | RM-reference material | 2018-04-09 | RESPONSE-2 project (NFL Slovenia);partially co-funded by ISF funds of EU | 1917-18 | ||
| Piperazine derivates | 1-Benzyl-2-methylpiperazine | ![]() | 1-benzyl-2-methylpiperazine | 2-methyl-1-(phenylmethyl)-piperazine; N-1-Benzyl-2-methylpiperazine; 1-benzyl-2-methyl-piperazine; Methylbenzylpiperazin; Piperazine, 2-methyl-1-(phenylmethyl)- | C12H18N2 | 190.29 | 91 | 148 | 56 | 4.26 | show | JGEODYUVEMNPPY-UHFFFAOYSA-N | RM-reference material | 2018-04-17 | RESPONSE-2 project (NFL Slovenia);partially co-funded by ISF funds of EU | 1926-18 | ||
| Opioids | Cyclopropyl-norfentanyl | ![]() | N-phenyl-N-(piperidin-4-yl)cyclopropanecarboxamide | Norcyclopropyl fentanyl; N-phenyl-N-4-piperidinyl-cyclopropanecarboxamide | C15H20N2O | 244.34 | 83 | 82 | 175 | 7.57 | show | MFGRYVBZTFUIQB-UHFFFAOYSA-N | RM-reference material | 2018-04-17 | RESPONSE-2 project (NFL Slovenia);partially co-funded by ISF funds of EU | 1928-18 | ||
| Cannabinoids | MEP-FUBINACA | ![]() | methyl (2S)-2-({1-[(4-fluorophenyl)methyl]-1H-indazol-3-yl}formamido)pentanoate | MMB-FUBINACA isomer 1; methyl (S)-2-(1-(4-fluorobenzyl)-1H-indazole-3-carboxamido)pentanoate | C21H22FN3O3 | 383.42 | 109 | 253 | 324 | 11.84 | show | MFRTXWHFMBIWRY-KRWDZBQOSA-N | RM-reference material | 2018-04-17 | RESPONSE-2 project (NFL Slovenia);partially co-funded by ISF funds of EU | 1927-18 | ||
| Phenethylamines | N-Formylamphetamine | ![]() | N-(1-phenylpropan-2-yl)formamide | Formetamide; N-(1-methyl-2-phenylethyl)-formamide; Formetorex; | C10H13NO | 163.22 | 72 | 118 | 44 | 3.67 | show | SGSYPSYCGPLSML-UHFFFAOYSA-N | RM-reference material | 2018-04-17 | RESPONSE-2 project (NFL Slovenia);partially co-funded by ISF funds of EU | 1923-18 | ||
| Cannabinoids | 5F-5,3-AB-PFUPPYCA | ![]() | 2-[[1-(5-fluoropentyl)-5-(4-fluorophenyl)-1H-pyrazol-3-yl]formamido]-3-methylbutanamide | N-(1-amino-3-methyl-1-oxobutan-2-yl)-1-(5-fluoropentyl)-5-(4-fluorophenyl)-1H-pyrazole-3-carboxamide (AZ-037); 5F-AB-FUPYCA, 5F-AB-FUPPYCA | C20H26F2N4O2 | 392.45 | 348 | 277 | 189 | show | GSXRDTDYPSATDE-UHFFFAOYSA-N | analytical report | 2018-04-19 | PSS, Forensic and Scientific Services, Health Support Queensland, Australia | RPT: AU-001 | |||
| Phenethylamines | 3-FEA | ![]() | ethyl[1‐(3‐fluorophenyl)propan‐2‐yl]amine | 3-fluoroethamphetamine; 3-fluoroethylamphetamine; meta-fluoroethamphetamine; m-fluoroethamphetamine | C11H16FN | 181.25 | 72 | 44 | 109 | 2.60 | show | CKPWHLGHHXSVJI-UHFFFAOYSA-N | collected | 2018-05-08 | Finish Customs Laboratory, Helsinki, Finland (NMR confirmed sample) | 1934-18 | ||
| Cannabinoids | 3F-ADB | ![]() | methyl (2S)‐2‐{[1‐(3‐fluoropentyl)‐1H‐indazol‐3‐yl]formamido}‐3,3‐dimethylbutanoate | 3-fluoro ADB; methyl (2S)-2-(1-(3-fluoropentyl)-1H-indazole-3-carboxamido)-3,3-dimethylbutanoate | C20H28FN3O3 | 377.46 | 233 | 145 | 131 | 10.16 | show | PDDCMTWVXIMOHY-LRHAYUFXSA-N | RM-reference material | 2018-05-10 | RESPONSE-2 project (NFL Slovenia);partially co-funded by ISF funds of EU | 1939-18 | ||
| Cannabinoids | 5F-EDMB-PINACA | ![]() | ethyl (2S)-2-{[1-(5-fluoropentyl)-1H-indazol-3-yl]formamido}-3,3-dimethylbutanoate | 5-fluoro EDMB-PINACA; ethyl (S)-2-(1-(5-fluoropentyl)-1H-indazole-3-carboxamido)-3,3-dimethylbutanoate, ethyl (2S)-2-{[1-(5-fluoropentyl)-1H-indazole-3-carbonyl]amino}-3,3-dimethylbutanoate | C21H30FN3O3 | 391.49 | 233 | 145 | 318 | 10.88 | show | VDEACSPMBSUVRD-GOSISDBHSA-N | RM-reference material | 2018-05-10 | RESPONSE-2 project (NFL Slovenia);partially co-funded by ISF funds of EU | 1935-18 | ||
| Cannabinoids | 2F-ADB | ![]() | methyl (2S)‐2‐{[1‐(2‐fluoropentyl)‐1H‐indazol‐3‐yl]formamido}‐3,3‐dimethylbutanoate | 2-fluoro ADB; methyl (2S)-2-(1-(2-fluoropentyl)-1H-indazole-3-carboxamido)-3,3-dimethylbutanoate | C20H28FN3O3 | 377.46 | 233 | 145 | 131 | 10.01 | show | WOONLIUQOOLXHP-LRHAYUFXSA-N | RM-reference material | 2018-05-10 | RESPONSE-2 project (NFL Slovenia);partially co-funded by ISF funds of EU | 1938-18 | ||
| Cannabinoids | 5F-t-Butylbenzyl-PINACA | ![]() | N‐(2,2‐dimethyl‐1‐phenylpropyl)‐1‐(5‐fluoropentyl)‐1H‐indazole‐3‐carboxamide | 5-fluoro-tert-Butylbenzyl-PINACA; 5F-TBB-PINACA | C24H30FN3O | 395.52 | 233 | 338 | 145 | 12.95 | show | XRAMUHKDZOPJDF-UHFFFAOYSA-N | RM-reference material | 2018-05-10 | RESPONSE-2 project (NFL Slovenia);partially co-funded by ISF funds of EU | 1936-18 | ||
| Cannabinoids | 2F-AMB | ![]() | methyl (2S)‐2‐{[1‐(2‐fluoropentyl)‐1H‐indazol‐3‐yl]formamido}‐3‐methylbutanoate | 2-fluoro-AMB; methyl (1-(2-fluoropentyl)-1H-indazole-3-carbonyl)-L-valinate | C19H26FN3O3 | 363.43 | 233 | 304 | 145 | 9.88 | show | ZOLPINKONYFTMC-VYIIXAMBSA-N | RM-reference material | 2018-05-10 | RESPONSE-2 project (NFL Slovenia);partially co-funded by ISF funds of EU | 1937-18 | ||
| Cannabinoids | 5F-5,3-AB-PFUPPYCA | ![]() | 2-{[1-(5-fluoropentyl)-5-(4-fluorophenyl)-1H-pyrazol-3-yl]formamido}-3-methylbutanamide | AZ-037 (Chiron); N-(1-amino-3-methyl-1-oxobutan-2-yl)-1-(5-fluoropentyl)-5-(4-fluorophenyl)-1H-pyrazole-3-carboxamide | C20H26F2N4O2 | 392.45 | 348 | 277 | 189 | 12.71 | show | GSXRDTDYPSATDE-UHFFFAOYSA-N | RM-reference material | 2018-05-16 | RESPONSE-2 project (NFL Slovenia);partially co-funded by ISF funds of EU | 1942-18 | ||
| Cathinones | MPPP | ![]() | 1‐(4‐methylphenyl)‐2‐(pyrrolidin‐1‐yl)propan‐1‐one | 4-MePPP; MαPPP; 4’-methyl-α-PPP; 4'-methyl-alpha-pyrrolidinopropiophenone; 2-(pyrrolidin-1-yl)-1-(p-tolyl)propan-1-one | C14H19NO | 217.31 | 98 | 56 | 91 | 5.48 | show | APSJUNFBAXIXLK-UHFFFAOYSA-N | seized | 2018-05-17 | RESPONSE-2 project (NFL Slovenia);partially co-funded by ISF funds of EU | 1943-18 | ||
| Arylalkylamines | bk-MPA | ![]() | 2‐(methylamino)‐1‐(thiophen‐2‐yl)propan‐1‐one | MTP; thiothinone | C8H11NOS | 169.24 | 58 | 111 | 56 | 3.04 | show | DOZQPYDMJMLVKX-UHFFFAOYSA-N | seized | 2018-05-17 | RESPONSE-2 project (NFL Slovenia);partially co-funded by ISF funds of EU | 1945-18 | ||
| Cannabinoids | FUB-144 | ![]() | 1‐[(4‐fluorophenyl)methyl]‐3‐(2,2,3,3‐tetramethylcyclopropanecarbonyl)‐1H‐indole | FUB-UR-144; [1-[(4-fluorophenyl)methyl]indol-3-yl]-(2,2,3,3-tetramethylcyclopropyl)methanone | C23H24FNO | 349.45 | 109 | 252 | 334 | 11.18 | show | UXOFEILQVZFLRH-UHFFFAOYSA-N | seized | 2018-05-17 | RESPONSE-2 project (NFL Slovenia);partially co-funded by ISF funds of EU | 1932-18 | ||
| Cathinones | 3-MeOMC | ![]() | 1‐(3‐methoxyphenyl)‐2‐(methylamino)propan‐1‐one | 3-methoxymethcathinone; 3-MOMC | C11H15NO2 | 193.25 | 58 | 77 | 92 | 4.17 | show | VAVRRUJYUFACKA-UHFFFAOYSA-N | seized | 2018-05-17 | RESPONSE-2 project (NFL Slovenia);partially co-funded by ISF funds of EU | 1944-18 | ||
| Cannabinoids | 4F-CUMYL-5F-PINACA | ![]() | 1‐(5‐fluoropentyl)‐N‐[2‐(4‐fluorophenyl)propan‐2‐yl]‐1H‐indazole‐3‐carboxamide | SGT-65 | C22H25F2N3O | 385.46 | 233 | 145 | 370 | 11.76 | show | WAXVVLQFKMMDHR-UHFFFAOYSA-N | RM-reference material | 2018-06-01 | RESPONSE-2 project (NFL Slovenia);partially co-funded by ISF funds of EU | 1946-18 | ||
| Cannabinoids | 4Cl-CUMYL-PINACA | ![]() | N‐[2‐(4‐chlorophenyl)propan‐2‐yl]‐1‐pentyl‐1H‐indazole‐3‐carboxamide | SGT-157; p-Cl-CUMYL-PINACA; N‐[1‐(4‐chlorophenyl)-1-methylethyl]-1-pentyl-1H-indazole-3-carboxamide | C22H26ClN3O | 383.92 | 215 | 145 | 216 | 12.75 | show | APEGZJKYOJZGKH-UHFFFAOYSA-N | RM-reference material | 2018-06-08 | RESPONSE-2 project (NFL Slovenia);partially co-funded by ISF funds of EU | 1947-18 | ||
| Cannabinoids | 4F-CUMYL-5F-PICA | ![]() | 1‐(5‐fluoropentyl)‐N‐[2‐(4‐fluorophenyl)propan‐2‐yl]‐1H‐indole‐3‐carboxamide | SGT-64; N-[2-(4-Fluorophenyl)propan-2-yl]-1-(5-fluoropentyl)-1H-indole-3-carboxamide | C23H26F2N2O | 384.47 | 232 | 248 | 144 | 13.61 | show | LZQKZUXWKOPJGX-UHFFFAOYSA-N | RM-reference material | 2018-06-08 | RESPONSE-2 project (NFL Slovenia);partially co-funded by ISF funds of EU | 1948-18 | ||
| Opioids | N-desmethyl-U-47700 | ![]() | 3,4-dichloro-N-methyl-N-[(1R,2R)-2-(methylamino)cyclohexyl]benzamide | trans-3,4-dichloro-N-methyl-N-[2-(methylamino)cyclohexyl]-benzamide | C15H20Cl2N2O | 315.24 | 111 | 70 | 110 | 9.24 | show | UOLMIGVJKXDEGR-ZIAGYGMSSA-N | RM-reference material | 2018-07-16 | RESPONSE-2 project (NFL Slovenia);partially co-funded by ISF funds of EU | 1954-18 | ||
| Cathinones | N-ethyl-pentylone | ![]() | 1-(2H-1,3-benzodioxol-5-yl)-2-(ethylamino)pentan-1-one | Ephylone, N-ethyl-norpentylone, BK-Ethyl-K, bk-EBDP, βk-Ethyl-K, βk-EBDP, 1-(1,3-benzodioxol-5-yl)-2-(ethylamino)-1-pentanone | C14H19NO3 | 249.31 | 100 | 58 | 101 | 6.47 | show | VERDHJIMZYXGIW-UHFFFAOYSA-N | RM-reference material | 2018-07-16 | RESPONSE-2 project (NFL Slovenia);partially co-funded by ISF funds of EU | 1953-18 | ||
| Others | pF-4-methylaminorex | ![]() | 5-(4-fluorophenyl)-4-methyl-4,5-dihydro-1,3-oxazol-2-amine | 4'-Fluoro-4-methylaminorex; para-fluoro-4-methylaminorex; p-F-4-methylaminorex | C10H11FN2O | 194.21 | 70 | 43 | 69 | 4.09 | show | UYKYWISHPDEDRQ-UHFFFAOYSA-N | test purchase | two isomers were detected (compound was purchased as 4-FPO) | 2018-07-18 | RESPONSE-2 project (NFL Slovenia);partially co-funded by ISF funds of EU | 1940-18 | |
| Cannabinoids | MPhP-2201 | ![]() | methyl 2‐{[1‐(5‐fluoropentyl)‐1H‐indol‐3‐yl]formamido}‐3‐phenylpropanoate | methyl N-[1-(5-fluoropentyl)-1H-indole-3-carbonyl]phenylalaninate; 3-phenyl 2-(1-(5-fluoropentyl)-1H-indole-3-carboxamido) propanoic acid methyl ester ; 5F-MPhP-PICA | C24H27FN2O3 | 410.49 | 232 | 248 | 144 | 16.41 | show | GZGBNOYVLYYYCZ-UHFFFAOYSA-N | test purchase | 2018-08-02 | RESPONSE-2 project (NFL Slovenia);partially co-funded by ISF funds of EU | 1952-18 | ||
| Cannabinoids | MDMB-4en-PINACA (MDMB-PINACA N1-pentyl-4-en isomer) | ![]() | methyl 3,3‐dimethyl‐2‐{[1‐(pent‐4‐en‐1‐yl)‐1H‐indazol‐3‐yl]formamido}butanoate | MDMB-PINACA N1-pentyl-4-en isomer; Methyl 3,3-dimethyl-2-(1-(pent-4-en-1-yl)-1H-indazole-3-carboxamido)butanoate, methyl 3-methyl-N-[1-(pent-4-en-1-yl)-1H-indazole-3-carbonyl]valinate | C20H27N3O3 | 357.45 | 213 | 145 | 301 | 10.15 | show | LWOCBHBFWNGPGM-UHFFFAOYSA-N | test purchase | 2018-08-02 | RESPONSE-2 project (NFL Slovenia);partially co-funded by ISF funds of EU | 1951-18 | ||
| Cannabinoids | MMB-022 (MMB-4en-PICA) | ![]() | methyl 3‐methyl‐2‐{[1‐(pent‐4‐en‐1‐yl)‐1H‐indol‐3‐yl]formamido}butanoate | methyl 3-methyl-2-{[1-(pent-4-en-1-yl)-1H-indole-3-carbonyl]amino}butanoate; Methyl 3-methyl-2-(1-(pent-4-en-1-yl)-1H-indole-3-carboxamido)butanoate; methyl (1-(pent-4-en-1-yl)-1H-indole-3-carbonyl)valinate, MMB-022; MMB-4en-PICA; | C20H26N2O3 | 342.44 | 212 | 227 | 144 | 11.10 | show | RQVMOMGJHFPBNR-UHFFFAOYSA-N | test purchase | 2018-08-13 | RESPONSE-2 project (NFL Slovenia);partially co-funded by ISF funds of EU | 1955-18 | ||
| Cannabinoids | THJ-2201 (AM-2201 indazole analogue) | ![]() | 1-(5-fluoropentyl)-3-(naphthalene-1-carbonyl)-1H-indazole | AM-2201 indazole analogue; [1-(5-fluoropentyl)-1H-indazol-3-yl](naphthalen-1-yl)methanone; 5F-JWH-018-N; 5F-THJ-018 | C23H21FN2O | 360.43 | 127 | 271 | 155 | 13.85 | show | DULWRYKFTVFPTL-UHFFFAOYSA-N | seized | sample was reanalysed and report from 2015 replaced | 2018-08-14 | RESPONSE-2 project (NFL Slovenia);partially co-funded by ISF funds of EU | 1156-15A | |
| Cannabinoids | RCS-4-C4 homolog | ![]() | 1‐butyl‐3‐(4‐methoxybenzoyl)‐1H‐indole | (4-methoxyphenyl)(1-butyl-1H-indol-3-yl)-methanone; BTM-4; E-4; OBT-199; SR-19; | C20H21NO2 | 307.39 | 307 | 264 | 135 | 12.05 | show | INTUAOVLJFCJIP-UHFFFAOYSA-N | RM-reference material | 2018-08-14 | RESPONSE-2 project (NFL Slovenia);partially co-funded by ISF funds of EU | 1957-18 | ||
| Opioids | N,N-didesmethyl U-47700 | ![]() | N-[(1R,2R)-2-aminocyclohexyl]-3,4-dichloro-N-methylbenzamide | nor-U-47700; N-((1R,2R)-2-aminocyclohexyl)-3,4-dichloro-N-methylbenzamide | C14H18Cl2N2O | 301.21 | 97 | 56 | 173 | 9.16 | show | PLSITOMJRRPKDL-CHWSQXEVSA-N | RM-reference material | 2018-08-17 | RESPONSE project; 2015-2017 | 1826-17 | ||
| NPS-related (building blocks) | 3-(p-methoxybenzoyl)indole | ![]() | 3-(4-methoxybenzoyl)-1H-indole | C16H13NO2 | 251.28 | 144 | 251 | 250 | 11.07 | show | KLNHIIYKFBCQQB-UHFFFAOYSA-N | RM-reference material | 2018-09-05 | RESPONSE-2 project (NFL Slovenia);partially co-funded by ISF funds of EU | 1963-18 | |||
| Cannabinoids | 5F-Cumyl-PeGACLONE | ![]() | 5‐(5‐fluoropentyl)‐2‐(2‐phenylpropan‐2‐yl)‐1H,2H,5H‐pyrido[4,3‐b]indol‐1‐one | C25H27FN2O | 390.50 | 272 | 197 | 118 | 16.83 | show | SMRRORRDOWXERZ-UHFFFAOYSA-N | analytical report and sample | 2018-09-05 | ADEBAR project, Germany | 1964-18 | |||
| Piperidines & pyrrolidines | Aniracetam | ![]() | 1‐(4‐methoxybenzoyl)pyrrolidin‐2‐one | Ro-13-3057;Draganon; Sarpul;Ampamet;Memodrin; Referan;1-(4-methoxyphenyl)carbonylpyrrolidin-2-one;1-(4-methoxybenzoyl)-2-pyrrolidone | C12H13NO3 | 219.24 | 135 | 219 | 77 | 7.12 | show | ZXNRTKGTQJPIJK-UHFFFAOYSA-N | collected | nootropic | 2018-09-05 | RESPONSE-2 project (NFL Slovenia);partially co-funded by ISF funds of EU | 1962-18 | |
| Indolalkylamines (fe tryptamines) | 4-HO-McPT | ![]() | 3-{2-[cyclopropyl(methyl)amino]ethyl}-1H-indol-4-ol | C14H18N2O | 230.31 | 84 | 159 | 230 | 7.98 | show | GFVJBFIXZYLVPO-UHFFFAOYSA-N | test purchase | 2018-09-10 | RESPONSE-2 project (NFL Slovenia);partially co-funded by ISF funds of EU | 1961-18 | |||
| Arylcyclohexylamines | 3-HO-PCE | ![]() | 3-[1-(ethylamino)cyclohexyl]phenol | 3-Hydroxyeticyclidine | C14H21NO | 219.33 | 176 | 219 | 162 | 6.26 | show | MIKNPNLBFHVMKK-UHFFFAOYSA-N | test purchase | 2018-09-10 | RESPONSE-2 project (NFL Slovenia);partially co-funded by ISF funds of EU | 1959-18 | ||
| Opioids | 4F-MT-45 | ![]() | 1-cyclohexyl-4-[1-(4-fluorophenyl)-2-phenylethyl]piperazine | 4-fluoro MT-45; 4-fluoro I-C6 | C24H31FN2 | 366.52 | 275 | 276 | 109 | 11.41 | show | AGKZEOCNYCHVLW-UHFFFAOYSA-N | RM-reference material | 2018-10-02 | RESPONSE-2 project (NFL Slovenia);partially co-funded by ISF funds of EU | 1976-18 | ||
| Opioids | 2F-MT-45 | ![]() | 1‐cyclohexyl‐4‐[1‐(2‐fluorophenyl)‐2‐phenylethyl]piperazine | 2-fluoro MT-45; 2-fluoro I-C6 | C24H31FN2 | 366.52 | 275 | 276 | 109 | 11.36 | show | BZESPHAKQKJBSM-UHFFFAOYSA-N | RM-reference material | 2018-10-02 | RESPONSE-2 project (NFL Slovenia);partially co-funded by ISF funds of EU | 1975-18 | ||
| Opioids | 3F-MT-45 | ![]() | 1‐cyclohexyl‐4‐[1‐(3‐fluorophenyl)‐2‐phenylethyl]piperazine | 3-F MT-45; 3-fluoro I-C6; 3-fluoro MT-45 | C24H31FN2 | 366.52 | 275 | 276 | 55 | 11.37 | show | CGVHPULMBGGZPI-UHFFFAOYSA-N | RM-reference material | 2018-10-02 | RESPONSE-2 project (NFL Slovenia);partially co-funded by ISF funds of EU | 1977-18 | ||
| Opioids | Despropionyl-m-methylfentanyl | ![]() | N‐(3‐methylphenyl)‐1‐(2‐phenylethyl)piperidin‐4‐amine | m-methyl 4-ANPP; 3-methyl 4-ANPP; meta-methyl 4-ANPP; Despropionyl 3-Methylfentanyl; Despropionyl m-Methylfentanyl | C20H26N2 | 294.44 | 160 | 203 | 91 | 10.04 | show | DSWKXTYRMTZUHK-UHFFFAOYSA-N | RM-reference material | x 2 HCl form | 2018-10-02 | RESPONSE-2 project (NFL Slovenia);partially co-funded by ISF funds of EU | 1981-18 | |
| Opioids | Despropionyl-m-methylfentanyl | ![]() | N‐(3‐methylphenyl)‐1‐(2‐phenylethyl)piperidin‐4‐amine | m-methyl 4-ANPP; 3-methyl 4-ANPP; meta-methyl 4-ANPP; Despropionyl 3-Methylfentanyl; Despropionyl m-Methylfentanyl | C20H26N2 | 294.44 | 160 | 203 | 91 | 10.05 | show | DSWKXTYRMTZUHK-UHFFFAOYSA-N | RM-reference material | base form of compound | 2018-10-02 | RESPONSE-2 project (NFL Slovenia);partially co-funded by ISF funds of EU | 1983-18 | |
| Opioids | Isophentanyl (cis) | ![]() | N-(1-benzyl-3-methylpiperidin-4-yl)-N-phenyl-propanamide | C22H28N2O | 336.48 | 91 | 96 | 172 | 10.65 | show | MSAFCEWTMBDBFQ-UHFFFAOYSA-N | RM-reference material | 2018-10-02 | RESPONSE-2 project (NFL Slovenia);partially co-funded by ISF funds of EU | 1973-18 | |||
| Opioids | Propyl U-47700 | ![]() | 3,4‐dichloro‐N‐[(2R)‐2‐(dimethylamino)cyclohexyl]‐N‐propylbenzamide | trans-3,4-dichloro-N-2-((dimethylamino)cyclohexyl)-N-propylbenzamide Propyl U-47700 | C18H26Cl2N2O | 357.32 | 84 | 125 | 173 | 9.76 | show | ONTPYMHHQOSZRB-TZHYSIJRSA-N | RM-reference material | 2018-10-02 | RESPONSE-2 project (NFL Slovenia);partially co-funded by ISF funds of EU | 1967-18 | ||
| Opioids | Despropionyl-p-Methylfentanyl | ![]() | N‐(4‐methylphenyl)‐1‐(2‐phenylethyl)piperidin‐4‐amine | Despropionyl 4-Methylfentanyl; Despropionyl p-Methylfentanyl; para-methyl 4-ANPP | C20H26N2 | 294.44 | 160 | 203 | 91 | 10.13 | show | PPFZZKQMVFHCCX-UHFFFAOYSA-N | RM-reference material | 2018-10-02 | RESPONSE-2 project (NFL Slovenia);partially co-funded by ISF funds of EU | 1979-18 | ||
| Opioids | 2,3-seco-fentanyl | ![]() | N-{4-[methyl(2-phenylethyl)amino]butan-2-yl}-N-phenylpropanamide | N-(4-(methyl(phenethyl)amino)butan-2-yl)-N-phenylpropionamide | C22H30N2O | 338.50 | 204 | 120 | 247 | 9.81 | show | TVSLDWMMAUJGPV-UHFFFAOYSA-N | RM-reference material | 2018-10-02 | RESPONSE-2 project (NFL Slovenia);partially co-funded by ISF funds of EU | 1968-18 | ||
| Cathinones | 3Cl-N,N-DMC | ![]() | 1‐(3‐chlorophenyl)‐2‐(dimethylamino)propan‐1‐one | 3Cl-N,N-Dimethylcathinone | C11H14ClNO | 211.69 | 72 | 42 | 111 | 3.99 | show | UYZAXUWVJGHEFL-UHFFFAOYSA-N | RM-reference material | 2018-10-02 | RESPONSE-2 project (NFL Slovenia);partially co-funded by ISF funds of EU | 1972-18 | ||
| Others | Moclobemide | ![]() | 4‐chloro‐N‐[2‐(morpholin‐4‐yl)ethyl]benzamide | Ro 11-1163 | C13H17ClN2O2 | 268.74 | 100 | 139 | 111 | 8.47 | show | YHXISWVBGDMDLQ-UHFFFAOYSA-N | RM-reference material | 2018-10-02 | RESPONSE-2 project (NFL Slovenia);partially co-funded by ISF funds of EU | 1980-18 | ||
| Arylcyclohexylamines | 4-MeO-PCE | ![]() | N-ethyl-1-(4-methoxyphenyl)cyclohexan-1-amine | 4-methoxy-PCE, 4-MeO-PCE; 4-methoxy Eticyclidine | C15H23NO | 233.35 | 190 | 176 | 121 | 6.03 | show | AVQXYMGYZVAVCH-UHFFFAOYSA-N | RM-reference material | 2018-10-03 | RESPONSE-2 project (NFL Slovenia);partially co-funded by ISF funds of EU | 1969-18 | ||
| Others | Venlafaxine | ![]() | 1-[2-(dimethylamino)-1-(4-methoxyphenyl)ethyl]cyclohexan-1-ol | C17H27NO2 | 277.41 | 58 | 134 | 121 | 7.68 | show | PNVNVHUZROJLTJ-UHFFFAOYSA-N | RM-reference material | 2018-10-03 | RESPONSE-2 project (NFL Slovenia);partially co-funded by ISF funds of EU | 1974-18 | |||
| Phenethylamines | 4F-ethamphetamine | ![]() | ethyl[1‐(4‐fluorophenyl)propan‐2‐yl]amine | N-ethyl-4-fluoro-α-methyl-benzeneethanamine; 4-fluoro-N-ethyl amphetamine; 4-FEA; 4FEA; p-Fluoroethamphetamine | C11H16FN | 181.25 | 72 | 44 | 109 | 2.56 | show | PUJNOWQUPWZVER-UHFFFAOYSA-N | RM-reference material | 2018-10-03 | RESPONSE-2 project (NFL Slovenia);partially co-funded by ISF funds of EU | 1982-18 | ||
| Cathinones | 4-ethyl pentedrone | ![]() | 1-(4-ethylphenyl)-2-(methylamino)pentan-1-one | para-ethyl Pentedrone; 4-EPD; p-EPD; 4-ethyl-α-methylamino-Valerophenone; para-ethyl-α-methylamino-Valerophenone; p-ethyl-α-methylamino-Valerophenone | C14H21NO | 219.33 | 86 | 44 | 87 | 5.14 | show | TZVVTYDGJFNOBQ-UHFFFAOYSA-N | RM-reference material | 2018-10-03 | RESPONSE-2 project (NFL Slovenia);partially co-funded by ISF funds of EU | 1970-18 | ||
| Cathinones | 2Cl-N,N-Dimethylcathinone | ![]() | 1-(2-chlorophenyl)-2-(dimethylamino)propan-1-one | 2Cl-N,N-Dimethylcathinone | C11H14ClNO | 211.69 | 72 | 56 | 42 | 3.84 | show | MCNQZCHJBLFDHK-UHFFFAOYSA-N | RM-reference material | 2018-10-04 | RESPONSE-2 project (NFL Slovenia);partially co-funded by ISF funds of EU | 1971-18 | ||
| Cannabinoids | Cumyl-CH-MeGaClone | ![]() | 5-cyclohexylmethyl-2-(2-phenylpropan-2-yl)-2,5-dihydro-1H-pyrido[4,3-b]indol-1-one | C27H30N2O | 398.55 | 280 | 197 | 91 | show | CGHCGYCTOLWAPL-UHFFFAOYSA-N | analytical report | 2018-10-24 | Hungarian Institute of Forensic Science, Budapest, Hungary | RPT: HIFS-009 | ||||
| Cannabinoids | 5F-AB-P7AICA | ![]() | 2‐{[1‐(5‐fluoropentyl)‐1H‐pyrrolo[2,3‐b]pyridin‐3‐yl]formamido}‐3‐methylbutanamide | N-(1-Amino-3-methyl-1-oxobutan-2-yl)-1-(5-fluoropentyl)-1H-pyrrolo-[2,3-b]pyridine-3-carboxamide; N-(1-carbamoyl-2-methyl-propyl)-1-(5-fluoropentyl)pyrrolo[2,3-b]pyridine-3-carboxamide | C18H25FN4O2 | 348.42 | 233 | 145 | 234 | 12.56 | show | PEAJNPAIVYHNDQ-UHFFFAOYSA-N | analytical report and sample | 2018-10-28 | ADEBAR-project, Germany | 18/ADB-076 ID-2005-18 | ||
| Opioids | p-F-4-ANBP | ![]() | 1‐benzyl‐N‐(4‐fluorophenyl)piperidin‐4‐amine | 4-fluoro 4-ANBP; p-fluoro 4-ANBP; Despropionyl N-benzyl para-fluoro norfentanyl; para-fluoro 4-ANBP; N-(4-fluorophenyl)-1-(phenylmethyl)-4-piperidinamine | C18H21FN2 | 284.38 | 91 | 173 | 172 | 8.99 | show | GCHCRHBAGFHFMV-UHFFFAOYSA-N | RM-reference material | 2018-11-26 | RESPONSE-2 project (NFL Slovenia);partially co-funded by ISF funds of EU | 2017-18 | ||
| Opioids | o-F-4-ANBP | ![]() | 1‐benzyl‐N‐(2‐fluorophenyl)piperidin‐4‐amine | 2-fluoro 4-ANBP; o-fluoro 4-ANBP; Despropionyl N-benzyl ortho-fluoro norfentanyl; ortho-fluoro 4-ANBP; N-(2-fluorophenyl)-1-(phenylmethyl)-4-piperidinamine | C18H21FN2 | 284.38 | 91 | 173 | 172 | 8.75 | show | IJZSOVIRNVAJRZ-UHFFFAOYSA-N | RM-reference material | 2018-11-26 | RESPONSE-2 project (NFL Slovenia);partially co-funded by ISF funds of EU | 2016-18 | ||
| Cannabinoids | ACHMINACA | ![]() | N‐(adamantan‐1‐yl)‐1‐(cyclohexylmethyl)‐1H‐indazole‐3‐carboxamide | Adamantyl-CHMINACA; 1-(cyclohexylmethyl)-N-tricyclo[3.3.1.13,7]dec-1-yl-1H-indazole-3-carboxamide; SGT-37 | C25H33N3O | 391.56 | 145 | 241 | 135 | 17.26 | show | ACFKPINHOINOFB-UHFFFAOYSA-N | RM-reference material | 2018-11-27 | National Forensic Laboratory (NFL), Slovenia | 1993-18 | ||
| Opioids | N-benzyl-3-F-norfentanyl | ![]() | N‐(1‐benzylpiperidin‐4‐yl)‐N‐(3‐fluorophenyl)propanamide | meta-fluoro Benzyl fentanyl; N-benzyl m-fluoro Norfentanyl; N-benzyl meta-fluoro Norfentanyl; | C21H25FN2O | 340.44 | 91 | 82 | 172 | 10.09 | show | IYRNFWXZMPQELH-UHFFFAOYSA-N | RM-reference material | 2018-11-27 | National Forensic Laboratory (NFL), Slovenia | 2019-18 | ||
| Cannabinoids | 5F-7-APAICA | ![]() | N‐(adamantan‐1‐yl)‐1‐(5‐fluoropentyl)‐1H‐pyrrolo[2,3‐b]pyridine‐3‐carboxamide | 5-fluoro AKB48-7N; N-((3s,5s,7s)-adamantan-1-yl)-1-(5-fluoropentyl)-1H-pyrrolo[2,3-b]pyridine-3-carboxamid; 5-fluoro 7-APAICA; 5F-AKB-48-7N, 5F-AP7AICA | C23H30FN3O | 383.51 | 233 | 145 | 383 | 16.47 | show | JYMCNFJJLBFSGH-UHFFFAOYSA-N | RM-reference material | 2018-11-27 | National Forensic Laboratory (NFL), Slovenia | 1985-18 | ||
| Piperazine derivates | 1-Me-3-BZP | ![]() | 3‐benzyl‐1‐methylpiperazine | 3-Benzyl-1-methylpiperazine; 1-Methyl-3-(phenylmethyl)piperazine; 1-Methyl-3-benzylpiperazine; 1-Methyl-3-BZP | C12H18N2 | 190.29 | 99 | 58 | 91 | 4.18 | show | NJHPPXZJEYFKMD-UHFFFAOYSA-N | RM-reference material | 2018-11-27 | National Forensic Laboratory (NFL), Slovenia | 1988-18 | ||
| Benzodiazepines | Flutoprazepam | ![]() | 7‐chloro‐1‐(cyclopropylmethyl)‐5‐(2‐fluorophenyl)‐2,3‐dihydro‐1H‐1,4‐benzodiazepin‐2‐one | 7-chloro-1-(cyclopropylmethyl)-5-(2-fluorophenyl)-1,3-dihydro-2H-1,4-benzodiazepin-2-one | C19H16ClFN2O | 342.80 | 313 | 109 | 287 | 10.55 | show | OFVXPDXXVSGEPX-UHFFFAOYSA-N | RM-reference material | 2018-11-27 | National Forensic Laboratory (NFL), Slovenia | 1987-18 | ||
| Opioids | N-benzyl-4-F-norfentanyl | ![]() | N‐(1‐benzylpiperidin‐4‐yl)‐N‐(4‐fluorophenyl)propanamide | para-fluoro Benzyl fentanyl; N-benzyl para-fluoro Norfentanyl; N-(4-fluorophenyl)-N-[1-(phenylmethyl)-4-piperidinyl]-propanamide | C21H25FN2O | 340.44 | 91 | 82 | 172 | 10.18 | show | PUFHNCRAVCTYOY-UHFFFAOYSA-N | RM-reference material | 2018-11-27 | National Forensic Laboratory (NFL), Slovenia | 2020-18 | ||
| Cathinones | 4Cl-alpha-PHP | ![]() | 1-(4-chlorophenyl)-2-(pyrrolidin-1-yl)hexan-1-one | 4-chloro-PHP; 4-chloro-α-PHP; 4-chloro-Pyrrolidinohexanophenone; 4-chloro-α-Pyrrolidinohexanophenone | C16H22ClNO | 279.81 | 140 | 141 | 111 | 7.29 | show | RRSPZEIKSCFOEE-UHFFFAOYSA-N | RM-reference material | 2018-11-27 | National Forensic Laboratory (NFL), Slovenia | 2021-18 | ||
| Opioids | N-benzyl phenyl norfentanyl | ![]() | N-(1-benzylpiperidin-4-yl)-N-phenylbenzamide | Benzylbenzoyl fentanyl; Phenylbenzyl fentanyl; N-Benzyl phenyl norfentanyl; N-phenyl-N-[1-(phenylmethyl)-4-piperidinyl]-benzamide | C25H26N2O | 370.50 | 91 | 82 | 105 | 13.90 | show | TVPYSIMEYHFHLN-UHFFFAOYSA-N | RM-reference material | 2018-11-27 | National Forensic Laboratory (NFL), Slovenia | 2022-18 | ||
| Opioids | Despropionyl 2-F-2-FF | ![]() | N-(2-fluorophenyl)-1-[2-(2-fluorophenyl)ethyl]piperidin-4-amine | 2'-fluoro ortho fluoro ANPP; Despropionyl 2'-fluoro 2-FF; Despropionyl 2'-fluoro ortho-FF; Despropionyl 2'-fluoro 2-Fluorofentanyl; Despropionyl 2'-fluoro o-Fluorofentanyl; Despropionyl 2'-fluoro ortho-fluorofentanyl; 1-(2-fluorophenethyl)-N-(2-fluorophenyl)piperidin-4-amine | C19H22F2N2 | 316.40 | 164 | 207 | 136 | 9.27 | show | UBBYFFKICFYDHU-UHFFFAOYSA-N | RM-reference material | 2018-11-27 | National Forensic Laboratory (NFL), Slovenia | 2023-18 | ||
| Opioids | 3,4-MDO-U-47700 | ![]() | N‐[2‐(dimethylamino)cyclohexyl]‐N‐methyl‐2H‐1,3‐benzodioxole‐5‐carboxamide | 3,4-MDO-U-47700; 3,4-Methylenedioxy U-47700 | C17H24N2O3 | 304.39 | 84 | 125 | 149 | 9.54 | show | UUAVKYBZWVMWSM-UHFFFAOYSA-N | RM-reference material | 2018-11-27 | National Forensic Laboratory (NFL), Slovenia | 2024-18 | ||
| Cannabinoids | 5F-ethylbenzyl-PICA | ![]() | 1‐(5‐fluoropentyl)‐N‐(1‐phenylpropyl)‐1H‐indole‐3‐carboxamide | 5-fluoro ethylbenzyl-PICA | C23H27FN2O | 366.48 | 232 | 144 | 233 | 14.55 | show | YLKKXELHYJFYLY-UHFFFAOYSA-N | RM-reference material | 2018-11-27 | National Forensic Laboratory (NFL), Slovenia | 2025-18 | ||
| Cannabinoids | 5-fluoro 7QUPAIC | ![]() | quinolin‐8‐yl 1‐(5‐fluoropentyl)‐1H‐pyrrolo[2,3‐b]pyridine‐3‐carboxylate | 5-fluoro NPB-22-7N; 5F-QUP7AIC; 5F-7-QUPAIC; 5F 7-QUPAIC, 5-fluoro 7-QUPAIC | C22H20FN3O2 | 377.42 | 233 | 145 | 234 | 16.02 | show | CUGIQDZEJKPBDW-UHFFFAOYSA-N | RM-reference material | 2018-11-28 | National Forensic Laboratory (NFL), Slovenia | 1999-18 | ||
| Piperazine derivates | 2-BZP | ![]() | 2‐benzylpiperazine | o-Benzylpiperazine; ortho-Benzylpiperazine; o-BZP; ortho-BZP; 2-(phenylmethyl)-piperazine | C11H16N2 | 176.26 | 85 | 91 | 56 | 4.29 | show | RITMXTLCKYLIKW-UHFFFAOYSA-N | RM-reference material | 2018-11-28 | National Forensic Laboratory (NFL), Slovenia | 1998-18 | ||
| Cathinones | 4-Methyldiethcathinone | ![]() | 2‐(diethylamino)‐1‐(4‐methylphenyl)propan‐1‐one | 4-MDEC; 4-Methyldiethcathinone | C14H21NO | 219.33 | 100 | 44 | 91 | 4.61 | show | SPARQPFHQXMJOR-UHFFFAOYSA-N | RM-reference material | 2018-11-28 | National Forensic Laboratory (NFL), Slovenia | 1994-18 | ||
| Cannabinoids | MFUBINAC | ![]() | methyl 1‐[(4‐fluorophenyl)methyl]‐1H‐indazole‐3‐carboxylate | MFUBINAC; Methyl 1-(4-fluorobenzyl)-1H-indazole-3-carboxylate | C16H13FN2O2 | 284.29 | 109 | 284 | 225 | 8.53 | show | UUCUVSWGJOQWCA-UHFFFAOYSA-N | RM-reference material | 2018-11-28 | National Forensic Laboratory (NFL), Slovenia | 1995-18 | ||
| Cannabinoids | THJ-081 (SGT-035) | ![]() | 3‐(4‐methoxynaphthalene‐1‐carbonyl)‐1‐pentyl‐1H‐indazole | SGT-35; (4-Methoxy-1-naphthalenyl)(1-pentyl-1H-indazol-3-yl)methanone | C24H24N2O2 | 372.47 | 372 | 371 | 185 | 16.04 | show | DCXCGGSHUOEYIM-UHFFFAOYSA-N | RM-reference material | report added 08/10/2019 | 2018-11-29 | National Forensic Laboratory (NFL), Slovenia | 2004-18 | |
| Cannabinoids | EAM-2232 (SGT-18) | ![]() | 5-[3-(4-ethylnaphthalene-1-carbonyl)-1H-indol-1-yl]pentanenitrile | SGT-18 | C26H24N2O | 380.49 | 380 | 225 | 363 | 19.59 | show | GQRWMIASXGKUAG-UHFFFAOYSA-N | RM-reference material | report added 08/10/2019 | 2018-11-29 | National Forensic Laboratory (NFL), Slovenia | 2003-18 | |
| Opioids | 4-phenyl U-51754 | ![]() | 2‐{[1,1'‐biphenyl]‐4‐yl}‐N‐[2‐(dimethylamino)cyclohexyl]‐N‐methylacetamide | N-[2-(dimethylamino)cyclohexyl]-N-methyl-trans-[1,1'-biphenyl]-4-acetamide | C23H30N2O | 350.51 | 125 | 84 | 167 | 13.16 | show | JMDIMUCMZWADSC-UHFFFAOYSA-N | test purchase | 2018-11-29 | National Forensic Laboratory (NFL), Slovenia | 1997-18 | ||
| Opioids | 3,4-Ethylenedioxy U-47700 | ![]() | N‐[2‐(dimethylamino)cyclohexyl]‐N‐methyl‐2,3‐dihydro‐1,4‐benzodioxine‐6‐carboxamide | 3,4-EDO U-47700; trans-N-2-(dimethylamino)cyclohexyl)-N-methyl-2,3-dihydrobenzo[b][1,4]dioxine-6-carboxamide | C18H26N2O3 | 318.42 | 125 | 84 | 163 | 10.59 | show | KKMGSAIPMRCJFU-UHFFFAOYSA-N | RM-reference material | 2018-11-29 | National Forensic Laboratory (NFL), Slovenia | 1990-18 | ||
| Opioids | 3,4-Ethylenedioxy U-51754 | ![]() | 2‐(2,3‐dihydro‐1,4‐benzodioxin‐6‐yl)‐N‐[2‐(dimethylamino)cyclohexyl]‐N‐methylacetamide | 3,4-EDO U-51754; trans-2-(2,3-dihydrobenzo[b][1,4]dioxin-6-yl)-N-2-(dimethylamino)cyclohexyl)-N-methylacetamide | C19H28N2O3 | 332.44 | 125 | 84 | 149 | 11.10 | show | XJOJZKGOCBYKGW-UHFFFAOYSA-N | RM-reference material | 2018-11-29 | National Forensic Laboratory (NFL), Slovenia | 1986-18 | ||
| Opioids | Ocfentanil | ![]() | N‐(2‐fluorophenyl)‐2‐methoxy‐N‐[1‐(2‐phenylethyl)piperidin‐4‐yl]acetamide | 2-fluoro MAF; o-fluoro MAF; 2-fluoro Methoxyacetyl fentanyl; o-fluoro Methoxyacetyl fentanyl; ortho-fluoro Methoxyacetyl fentanyl | C22H27FN2O2 | 370.47 | 279 | 105 | 280 | 11.58 | show | NYISTOZKVCMVEL-UHFFFAOYSA-N | RM-reference material | 2018-12-07 | National Forensic Laboratory (NFL), Slovenia | 2033-18 | ||
| Piperazine derivates | 2-(4-Fluorophenyl)piperazine | ![]() | 2‐(4‐fluorophenyl)piperazine | 2-(p-Fluorophenyl)piperazine; 2-(para-Fluorophenyl)piperazine; 4-FPP; para-FPP; p-FPP | C10H13FN2 | 180.23 | 122 | 137 | 44 | 3.75 | show | NZAKSEMIIIZYEM-UHFFFAOYSA-N | RM-reference material | 2018-12-10 | National Forensic Laboratory (NFL), Slovenia | 1991-18 | ||
| Cannabinoids | 4F-MDMB-BINACA | ![]() | methyl 2‐{[1‐(4‐fluorobutyl)‐1H‐indazol‐3‐yl]formamido}‐3,3‐dimethylbutanoate | methyl 2-(1-(4-fluorobutyl)-1H-indazole-3-carboxamido)-3,3-dimethylbutanoate | C19H26FN3O3 | 363.43 | 219 | 307 | 145 | show | GZGKSDAMWRWYOZ-UHFFFAOYSA-N | analytical report | 2018-12-18 | Hungarian Institute of Forensic Science, Budapest, Hungary | RPT: HIFS-010 | |||
| Piperidines & pyrrolidines | Piperidylthiambutene | ![]() | 1‐[4,4‐bis(thiophen‐2‐yl)but‐3‐en‐2‐yl]piperidine | 1-(3,3-Di-2-thienyl-1-methylallyl)piperidine; 3-Piperidino-1,1-di(2-thienyl)but-1-ene; 1-[4,4-Di(2-thiényl)-3-butén-2-yl]pipéridine; Piperidine, 1-(1-methyl-3,3-di-2-thienyl-2-propen-1-yl)-; Piperidinohton | C17H21NS2 | 303.48 | 288 | 219 | 289 | 8.59 | show | FQRWJLVMJCKSME-UHFFFAOYSA-N | test purchase | 2019-01-11 | National Forensic Laboratory (NFL), Slovenia | 2034-18 | ||
| Cannabinoids | 5F-AMB-PICA | ![]() | methyl 2‐{[1‐(5‐fluoropentyl)‐1H‐indol‐3‐yl]formamido}‐3‐methylbutanoate | MMB-2201; I-AMB; 5-fluoro-AMB-PICA; Methyl (1-(5-fluoropentyl)-1H-indole-3-carbonyl)-L-valinate | C20H27FN2O3 | 362.44 | 232 | 144 | 248 | 11.74 | show | JFXASAFVUQVGEW-UHFFFAOYSA-N | test purchase | 2019-01-11 | National Forensic Laboratory (NFL), Slovenia | 2030-18 | ||
| Indolalkylamines (fe tryptamines) | 5-MeO-pyr-T | ![]() | 5‐methoxy‐3‐[2‐(pyrrolidin‐1‐yl)ethyl]‐1H‐indole | 5-methoxy-N,N-tetramethylenetryptamine; 5-methoxy-3-[2-(1-pyrrolidinyl)ethyl]-1H-indole, 5-methoxy-3-[2-(1-pyrrolidyl)ethyl]indole, 5-methoxy-3-(2-pyrrolidinoethyl)indole, methoxy-5-pyrrolidino-2'-ethyl-3-indole; pyrrolidyl-5-methoxytryptamine; 5-Methoxy-3-(2-pyrrolidinoethyl)indole | C15H20N2O | 244.34 | 84 | 85 | 160 | 8.71 | show | KAASYKNZNPWPQG-UHFFFAOYSA-N | test purchase | 2019-01-11 | National Forensic Laboratory (NFL), Slovenia | 2031-18 | ||
| Indolalkylamines (fe tryptamines) | EPT (N-ethyl-propyltriptamine) | ![]() | ethyl[2‐(1H‐indol‐3‐yl)ethyl]propylamine | N-(2-(1H-indol-3-yl)ethyl)-N-ethylpropan-1-amine, N-Ethyl-N-propyltryptamine, N-ethyl-N-[2-(1H-indol-3-yl)ethyl]propan-1-amine, N-Ethyl-N-propyl-1H-indole-3-ethaneamine | C15H22N2 | 230.35 | 100 | 58 | 130 | 7.16 | show | LCDYRMYSOIVPRS-UHFFFAOYSA-N | test purchase | 2019-01-18 | National Forensic Laboratory (NFL), Slovenia | 2008-18 | ||
| Phenethylamines | 3-FEA | ![]() | ethyl[1‐(3‐fluorophenyl)propan‐2‐yl]amine | N-ethyl-1-(3-fluorophenyl)propan-2-amine; 3‐fluoroethamphetamine; m-fluoro N-ethylamphetamine | C11H16FN | 181.25 | 72 | 44 | 109 | 2.58 | show | CKPWHLGHHXSVJI-UHFFFAOYSA-N | test purchase | 2019-01-22 | National Forensic Laboratory (NFL), Slovenia | 2007-18 | ||
| Cannabinoids | Cumyl-PIPETINACA | ![]() | N-(2-phenylpropan-2-yl)-1-[2-(piperidin-1-yl)ethyl]-1H-indazole-3-carboxamide | SGT-234; N-(2-Phenylpropan-2-yl)-1-[2-(piperidin-1-yl)ethyl]-1H-indazole-3-carboxamide | C24H30N4O | 390.53 | 98 | 99 | 103 | 14.60 | show | MTMVUBQQIGZSQB-UHFFFAOYSA-N | RM-reference material | report added 08/10/2019 | 2019-01-22 | National Forensic Laboratory (NFL), Slovenia | 2001-18 | |
| Phenethylamines | 2-FEA | ![]() | ethyl[1‐(2‐fluorophenyl)propan‐2‐yl]amine | o-Fluoroethamphetamine; 2-Fluoro-ethyl Amphetamine | C11H16FN | 181.25 | 72 | 44 | 109 | 2.57 | show | NIWYLNFSJJLYHU-UHFFFAOYSA-N | test purchase | 2019-01-22 | National Forensic Laboratory (NFL), Slovenia | 2006-18 | ||
| Cathinones | Butylhexedrone | ![]() | 2-(butylamino)-1-phenylhexan-1-one | butyl-hexedrone | C16H25NO | 247.38 | 142 | 143 | 77 | show | UCYMCSGVJDYDIO-UHFFFAOYSA-N | analytical report | 2019-01-22 | Hungarian Institute of Forensic Science, Budapest, Hungary | RPT: HIFS-011 | |||
| Cannabinoids | 4,4-F-Cumyl-PIPETINACA-(SGT-235) | ![]() | 1-[2-(4,4-difluoropiperidin-1-yl)ethyl]-N-(2-phenylpropan-2-yl)-1H-indazole-3-carboxamide | N-(2-Phenylpropan-2-yl)-1-[2-(4,4-difluoropiperidin-1-yl)ethyl]-1H-indazole-3-carboxamide | C24H28F2N4O | 426.51 | 134 | 147 | 135 | 14.38 | show | UGIXAWXZCCAHAG-UHFFFAOYSA-N | RM-reference material | 2019-01-22 | National Forensic Laboratory (NFL), Slovenia | 2000-18 | ||
| Cathinones | ETHYLHEPTEDRON | ![]() | 2-(ethylamino)-1-phenylheptan-1-one | ethyl-heptedrone | C15H23NO | 233.00 | 128 | 77 | 58 | show | KCDBNUUMBCYCQC-UHFFFAOYSA-N | analytical report | 2019-02-03 | Hungarian Institute of Forensic Science, Budapest, Hungary | RPT: HIFS-12 | |||
| Cathinones | 3F-alpha-PVP | ![]() | 1-(3-fluorophenyl)-2-(pyrrolidin-1-yl)pentan-1-one | 3-fluoro-α-PVP; 3-fluoro-α-Pyrovalerone; 3-fluoro-α-Pyrrolidinovalerophenone; 3-fluoro-2-(1-pyrrolidinyl)-Valerophenone; 1-(3-fluorophenyl)-2-(1-pyrrolidinyl)-1-pentanone | C15H20FNO | 249.33 | 126 | 127 | 95 | 5.42 | show | GPAALPLKXRJJDE-UHFFFAOYSA-N | RM-reference material | 2019-03-14 | National Forensic Laboratory (NFL), Slovenia | 2037-19 | ||
| Cannabinoids | Ethylbenzyl-CYBINACA | ![]() | 1-(4-cyanobutyl)-N-(1-phenylpropyl)-1H-indazole-3-carboxamide | ethylbenzyl-4CN-BINACA; 4-cyano ethylbenzyl-BUTINACA | C22H24N4O | 360.46 | 226 | 331 | 145 | 14.47 | show | IIBFPPSORLUHNT-UHFFFAOYSA-N | RM-reference material | 2019-03-14 | National Forensic Laboratory (NFL), Slovenia | 2036-19 | ||
| Opioids | 2-Methyl-AP-237 | ![]() | 1-[2-methyl-4-(3-phenylprop-2-en-1-yl)piperazin-1-yl]butan-1-one | 1-[2-methyl-4-(3-phenyl-2-propen-1-yl)-1-piperazinyl]-1-butanone; 2-methyl AP-237; 2-methyl-AP-237 | C18H26N2O | 286.42 | 117 | 115 | 172 | 9.29 | show | CRSFXYZFNAFVFC-UHFFFAOYSA-N | test purchase | 2019-03-29 | National Forensic Laboratory (NFL), Slovenia | 2053-19 | ||
| Cannabinoids | 4F-MDMB-BINACA | ![]() | methyl 2‐{[1‐(4‐fluorobutyl)‐1H‐indazol‐3‐yl]formamido}‐3,3‐dimethylbutanoate | methyl 2-(1-(4-fluorobutyl)-1H-indazole-3-carboxamido)-3,3-dimethylbutanoate; 4F-MDMB-BINACA; 4-fluoro MDMB-BINACA; 4F-MDMB-BINACA; 4-fluoro MDMB-BUTINACA | C19H26FN3O3 | 363.43 | 219 | 145 | 131 | 10.04 | show | GZGKSDAMWRWYOZ-UHFFFAOYSA-N | test purchase | 2019-03-29 | National Forensic Laboratory (NFL), Slovenia | 2055-19 | ||
| Opioids | 3F-cyclopropylbenzylfentanyl | ![]() | N‐(1‐benzylpiperidin‐4‐yl)‐N‐(3‐fluorophenyl)cyclopropanecarboxamide | meta-Fluorocyclopropylbenzylfentanyl; N-benzyl meta-fluoro Cyclopropyl norfentanyl | C22H25FN2O | 352.45 | 91 | 82 | 69 | 10.74 | show | AOLNSOXELLOWKK-UHFFFAOYSA-N | RM-reference material | 2019-04-18 | National Forensic Laboratory (NFL), Slovenia | 2045-19 | ||
| Benzodiazepines | Methyclonazepam | ![]() | 5‐(2‐chlorophenyl)‐1‐methyl‐7‐nitro‐2,3‐dihydro‐1H‐1,4‐benzodiazepin‐2‐one | Ro 05-4082; 5-(2-chlorophenyl)-1,3-dihydro-1-methyl-7-nitro-2H-1,4-benzodiazepin-2-one | C16H12ClN3O3 | 329.74 | 294 | 328 | 248 | 11.31 | show | AZVBJJDUDXZLTM-UHFFFAOYSA-N | RM-reference material | 2019-04-18 | National Forensic Laboratory (NFL), Slovenia | 2041-19 | ||
| Benzodiazepines | Difludiazepam | ![]() | 7‐chloro‐5‐(2,6‐difluorophenyl)‐1‐methyl‐2,3‐dihydro‐1H‐1,4‐benzodiazepin‐2‐one | 7-chloro-5-(2,6-difluorophenyl)-1,3-dihydro-1-methyl-2H-1,4-benzodiazepin-2-one; Ro 07-4065 | C16H11ClF2N2O | 320.72 | 301 | 292 | 320 | 9.02 | show | DUNFPASORLTEGN-UHFFFAOYSA-N | RM-reference material | 2019-04-18 | National Forensic Laboratory (NFL), Slovenia | 2044-19 | ||
| Benzodiazepines | 1-demethyl-phenazolam | ![]() | 12‐bromo‐9‐(2‐chlorophenyl)‐2,4,5,8‐tetraazatricyclo[8.4.0.02,6]tetradeca‐1(14),3,5,8,10,12‐hexaene | 8-bromo-6-(2-chlorophenyl)-4H-[1,2,4]triazolo[4,3-a][1,4]benzodiazepine | C16H10BrClN4 | 373.64 | 75 | 102 | 374 | 13.99 | show | HGHGSOBPNPCMHF-UHFFFAOYSA-N | RM-reference material | 2019-04-18 | National Forensic Laboratory (NFL), Slovenia | 2051-19 | ||
| Cathinones | 4Cl-Buphedrone | ![]() | 1‐(4‐chlorophenyl)‐2‐(methylamino)butan‐1‐one | 4-chloro-α-Methylaminobutiophenone; 4-chloro Buphedrone | C11H14ClNO | 211.69 | 72 | 57 | 111 | 4.29 | show | HLWONOFMIINPKV-UHFFFAOYSA-N | RM-reference material | 2019-04-18 | National Forensic Laboratory (NFL), Slovenia | 2050-19 | ||
| Phenethylamines | PRL-8-53 | ![]() | methyl 3‐{2‐[benzyl(methyl)amino]ethyl}benzoate | 3-[2-[methyl(phenylmethyl)amino]ethyl]-benzoic acid, methyl ester | C18H21NO2 | 283.37 | 91 | 134 | 135 | 8.19 | show | IGJQEMHBYKNIQR-UHFFFAOYSA-N | RM-reference material | 2019-04-18 | National Forensic Laboratory (NFL), Slovenia | 2040-19 | ||
| Opioids | 3F-4-ANBP | ![]() | 1‐benzyl‐N‐(3‐fluorophenyl)piperidin‐4‐amine | 3-fluoro 4-ANBP; m-fluoro 4-ANBP; Despropionyl N-benzyl meta-fluoro norfentanyl; N-(3-fluorophenyl)-1-(phenylmethyl)-4-piperidinamine; meta-fluoro 4-ANBP; m-F-4-ANBP | C18H21FN2 | 284.38 | 91 | 173 | 172 | 9.03 | show | JYODDJCWJLLETL-UHFFFAOYSA-N | RM-reference material | 2019-04-18 | National Forensic Laboratory (NFL), Slovenia | 2047-19 | ||
| Arylalkylamines | 6-APDB | ![]() | 1‐(2,3‐dihydro‐1‐benzofuran‐6‐yl)propan‐2‐amine | 6-(2-Aminopropyl)-2,3-dihydrobenzofuran; EMA-3; 4-desoxy-MDA; 2,3-dihydro-α-methyl-6-benzofuranethanamine | C11H15NO | 177.25 | 44 | 134 | 77 | 4.13 | show | VRNGXHJGMCJRSQ-UHFFFAOYSA-N | RM-reference material | 2019-04-18 | National Forensic Laboratory (NFL), Slovenia | 1099-19 | ||
| Cannabinoids | Isobutyl-1-pentyl-1H-indazole-3-carboxylate | ![]() | 2‐methylpropyl 1‐pentyl‐1H‐indazole‐3‐carboxylate | isobutyl 1-pentyl-1H-indazole-3-carboxylate | C17H24N2O2 | 288.39 | 231 | 175 | 187 | 8.13 | show | VVICSADAODYLRT-UHFFFAOYSA-N | RM-reference material | 2019-04-18 | National Forensic Laboratory (NFL), Slovenia | 2042-19 | ||
| Piperazine derivates | NSI-189 | ![]() | 3‐(4‐benzylpiperazine‐1‐carbonyl)‐N‐(3‐methylbutyl)pyridin‐2‐amine | [2-[(3-methylbutyl)amino]-3-pyridinyl][4-(phenylmethyl)-1-piperazinyl]-methanone; | C22H30N4O | 366.51 | 91 | 146 | 148 | 12.81 | show | DYTOQURYRYYNOR-UHFFFAOYSA-N | RM-reference material | 2019-05-14 | National Forensic Laboratory (NFL), Slovenia | 2049-19 | ||
| Opioids | AP-237 | ![]() | 1‐{4‐[(2E)‐3‐phenylprop‐2‐en‐1‐yl]piperazin‐1‐yl}butan‐1‐one | Buccinazine; 1-Butyryl-4-cinnamylpiperazine; 1-[4-(3-phenyl-2-propen-1-yl)-1-piperazinyl]-1-butanone | C17H24N2O | 272.39 | 117 | 115 | 172 | 9.27 | show | ZQBMUHABRSEAIK-UXBLZVDNSA-N | RM-reference material | 2019-05-14 | National Forensic Laboratory (NFL), Slovenia | 2048-19 | ||
| Opioids | Norsufentanil | ![]() | N‐[4‐(methoxymethyl)piperidin‐4‐yl]‐N‐phenylpropanamide | R 30451 | C16H24N2O2 | 276.38 | 82 | 146 | 96 | 7.53 | show | ULOZGJWEIWAWML-UHFFFAOYSA-N | RM-reference material | 2019-05-16 | National Forensic Laboratory (NFL), Slovenia | 2059-19 | ||
| Opioids | Despropionyl 3-FF | ![]() | N‐(3‐fluorophenyl)‐1‐(2‐phenylethyl)piperidin‐4‐amine | Despropionyl m-FF; Despropionyl 3-Fluorofentanyl; Despropionyl m-Fluorofentanyl; Despropionyl meta-FF; N-(3-fluorophenyl)-1-(2-phenylethyl)-4-piperidinamine | C19H23FN2 | 298.40 | 207 | 164 | 105 | 9.64 | show | NDGQTNDWAZPEQV-UHFFFAOYSA-N | RM-reference material | 2019-05-17 | National Forensic Laboratory (NFL), Slovenia | 2061-19 | ||
| Opioids | Despropionyl 2-FF | ![]() | N‐(2‐fluorophenyl)‐1‐(2‐phenylethyl)piperidin‐4‐amine | Despropionyl o-FF; Despropionyl 2-Fluorofentanyl; Despropionyl o-Fluorofentanyl; Despropionyl ortho-FF; N-(2-fluorophenyl)-1-(2-phenylethyl)-4-piperidinamine | C19H23FN2 | 298.40 | 164 | 207 | 105 | 9.35 | show | WUNLGTOLOUTCPE-UHFFFAOYSA-N | RM-reference material | 2019-05-17 | National Forensic Laboratory (NFL), Slovenia | 2060-19 | ||
| Opioids | Despropionyl 4-FF | ![]() | N‐(4‐fluorophenyl)‐1‐(2‐phenylethyl)piperidin‐4‐amine | Despropionyl p-FF; Despropionyl 4-Fluorofentanyl; Despropionyl p-Fluorofentanyl; Despropionyl para-FF; N-(4-fluorophenyl)-1-(2-phenylethyl)-4-piperidinamine | C19H23FN2 | 298.40 | 207 | 164 | 105 | 9.59 | show | WWDHLOLWLHHFBH-UHFFFAOYSA-N | RM-reference material | 2019-05-17 | National Forensic Laboratory (NFL), Slovenia | 2062-19 | ||
| Indolalkylamines (fe tryptamines) | 1B-LSD | ![]() | 11-butanoyl-N,N-diethyl-6-methyl-6,11-diazatetracyclo[7.6.1.02,7.012,16]hexadeca- 1(15),2,9,12(16),13-pentaene-4-carboxamide | 4-Butyryl-N,N-diethyl-7-methyl-4,6,6a,7,8,9-hexahydroindolo[4,3-fg]quinoline-9-carboxamide; 1-Butyryl-LSD; 1-Butanoyl-lysergic aciddiethylamide; LSD BUT | C24H31N3O2 | 393.53 | 221 | 393 | 291 | 18.39 | show | SVRFNPSJPIDUBC-UHFFFAOYSA-N | test purchase | 2019-05-21 | National Forensic Laboratory (NFL), Slovenia | 2064-19 | ||
| Benzodiazepines | Phenazolam | ![]() | 12‐bromo‐9‐(2‐chlorophenyl)‐3‐methyl‐2,4,5,8‐tetraazatricyclo[8.4.0.02,6]tetradeca‐1(14),3,5,8,10,12‐hexaene | 8-bromo-6-(2-chlorophenyl)-1-methyl-4H-[1,2,4]triazolo[4,3-a][1,4]benzodiazepine | C17H12BrClN4 | 387.67 | 359 | 357 | 203 | 14.79 | show | BUTCFAZTKZDYCN-UHFFFAOYSA-N | RM-reference material | 2019-06-06 | National Forensic Laboratory (NFL), Slovenia | 2072-19 | ||
| Phenethylamines | 2,3,4-TMA | ![]() | 1‐(2,3,4‐trimethoxyphenyl)propan‐2‐amine | TMA-3; 2,3,4-Trimethoxyamphetamine; 2,3,4-trimethoxy-α-methyl-benzeneethanamine | C12H19NO3 | 225.29 | 44 | 182 | 167 | 4.61 | show | LWDQPPLPHGXYLG-UHFFFAOYSA-N | RM-reference material | 2019-06-06 | National Forensic Laboratory (NFL), Slovenia | 2069-19 | ||
| Opioids | U-47109 | ![]() | 3,4‐dichloro‐N‐[2‐(dimethylamino)cyclohexyl]benzamide | Desmethyl U-47700; trans-3,4-dichloro-N-[2-(dimethylamino)cyclohexyl]-benzamide | C15H20Cl2N2O | 315.24 | 84 | 125 | 71 | 9.32 | show | PAAVHVCJPYRNLY-UHFFFAOYSA-N | RM-reference material | 2019-06-06 | National Forensic Laboratory (NFL), Slovenia | 2070-19 | ||
| Others | Ipriflavone | ![]() | 3‐phenyl‐7‐(propan‐2‐yloxy)‐4H‐chromen‐4‐one | 7-Isopropoxyisoflavone; 7-(1-methylethoxy)-3-phenyl-4H-1-benzopyran-4-one; | C18H16O3 | 280.32 | 237 | 238 | 280 | 9.79 | show | SFBODOKJTYAUCM-UHFFFAOYSA-N | RM-reference material | 2019-06-06 | National Forensic Laboratory (NFL), Slovenia | 2071-19 | ||
| Others | Pagoclone | ![]() | 2‐(7‐chloro‐1,8‐naphthyridin‐2‐yl)‐3‐(5‐methyl‐2‐oxohexyl)‐2,3‐dihydro‐1H‐isoindol‐1‐one | 2‐(7‐chloro‐1,8‐naphthyridin‐2‐yl)‐3‐(5‐methyl‐2‐oxohexyl)isoindolin‐1‐one | C23H22ClN3O2 | 407.90 | 308 | 310 | 163 | 17.35 | show | HIUPRQPBWVEQJJ-UHFFFAOYSA-N | test purchase | 2019-06-07 | National Forensic Laboratory (NFL), Slovenia | 2066-19 | ||
| Phenethylamines | BOD | ![]() | 2‐(2,5‐dimethoxy‐4‐methylphenyl)‐2‐methoxyethan‐1‐amine | 2,5,beta-Trimethoxy-4-methylbenzeneethanamine; 4-Methyl-2,5,beta-trimethoxyphenethylamine; Beta-Methoxy-2c-d | C12H19NO3 | 225.29 | 195 | 45 | 165 | 5.00 | show | VTEIFHQUZWABDE-UHFFFAOYSA-N | test purchase | 2019-06-07 | National Forensic Laboratory (NFL), Slovenia | 2067-19 | ||
| Cathinones | Butylhexedrone | ![]() | 2‐(butylamino)‐1‐phenylhexan‐1‐one | 2-butylamino-1-phenylhexan-1-one; 2-(butylamino)-1-phenyl-1-hexanone; 2-(butylamino)-1-phenyl-hexan-1-one; N-butylhexedrone; N-butylnorhexedrone; butyl-hexedrone; NBH | C16H25NO | 247.38 | 142 | 143 | 77 | 5.92 | show | UCYMCSGVJDYDIO-UHFFFAOYSA-N | test purchase | 2019-06-10 | National Forensic Laboratory (NFL), Slovenia | 2065-19 | ||
| Cannabinoids | MDMB-INACA | ![]() | methyl 2‐[(1H‐indazol‐3‐yl)formamido]‐3,3‐dimethylbutanoate | methyl 2-(1H-indazole-3-carboxamido)-3,3-dimethylbutanoate | C15H19N3O3 | 289.33 | 145 | 201 | 233 | 9.47 | show | QEXPVGIGOZJEOO-UHFFFAOYSA-N | RM-reference material | 2019-06-28 | National Forensic Laboratory (NFL), Slovenia | 2074-19 | ||
| Cathinones | 4-methylthio-N-benzylcathinone | ![]() | 2‐(benzylamino)‐1‐[4‐(methylsulfanyl)phenyl]propan‐1‐one | 2-(benzylamino)-1-(4-(methylthio)phenyl)propan-1-one | C17H19NOS | 285.41 | 91 | 134 | 65 | 9.39 | show | BLPODMGHNWNNJH-UHFFFAOYSA-N | RM-reference material | 2019-07-01 | National Forensic Laboratory (NFL), Slovenia | 2075-19 | ||
| Cathinones | alpha-ethylamino-3,3-dimethylbutyrophenone | ![]() | 2‐(ethylamino)‐3,3‐dimethyl‐1‐phenylbutan‐1‐one | α-ethylamino-3,3-Dimethylbutyrophenone | C14H21NO | 219.33 | 114 | 77 | 105 | 4.05 | show | NONTVOKAQFUOMK-UHFFFAOYSA-N | RM-reference material | 2019-07-01 | National Forensic Laboratory (NFL), Slovenia | 2076-19 | ||
| Phenethylamines | N-benzyl-3,4-DMA | ![]() | benzyl[1‐(3,4‐dimethoxyphenyl)propan‐2‐yl]amine | N-benzyl-3,4-Dimethoxyamphetamine; NSC 27115; N-benzyl-3,4-DMA; 3,4-dimethoxy-α-methyl-N-(phenylmethyl)-benzeneethanamine | C18H23NO2 | 285.39 | 134 | 91 | 135 | 8.29 | show | LFUSPXMHTMBJNP-UHFFFAOYSA-N | RM-reference material | 2019-07-29 | National Forensic Laboratory (NFL), Slovenia | 2077-19 | ||
| Cannabinoids | APP-BUTINACA | ![]() | 2‐[(1‐butyl‐1H‐indazol‐3‐yl)formamido]‐3‐phenylpropanamide | APP-BINACA; APP-BUTINACA, N-[2-amino-2-oxo-1-(phenylmethyl)ethyl]-1-butyl-1H-indazole-3-carboxamide, N-(1-amino-1-oxo-3-phenylpropan-2-yl)-1-butyl-1H-indazole-3-carboxamide | C21H24N4O2 | 364.45 | 201 | 145 | 320 | 14.85 | show | OYARCJMQMAFMTG-UHFFFAOYSA-N | RM-reference material | 2019-07-29 | National Forensic Laboratory (NFL), Slovenia | 2079-19 | ||
| x_miscellaneous | MAPA | ![]() | methyl 3-oxo-2-phenylbutanoate | Methyl alpha-acetylphenylacetate; Benzeneacetic acid, a-acetyl-, methyl ester | C11H12O3 | 192.21 | 150 | 118 | 43 | 3.25 | show | CYSACHQWYQYLIG-UHFFFAOYSA-N | seized | 2019-08-13 | National Forensic Laboratory (NFL), Slovenia | 2087-19 | ||
| x_miscellaneous | APAAN | ![]() | 3-oxo-2-phenylbutanenitrile | 2-Phenylacetoacetonitrile; alpha-Acetylphenylacetonitrile; 1-Cyano-1-phenyl-2-propanone; alpha-Phenylacetoacetonitrile; alpha-Aceto-alpha-cyanotoluene; alpha-Acetylbenzeneacetonitrile; Phenylacetoacetonitrile; Benzeneacetonitrile, alpha-acetyl-; 2-Oxo-1-phenylpropyl cyanide | C10H9NO | 159.19 | 117 | 43 | 89 | 2.81 | show | KHNWFTMUBKJWRZ-UHFFFAOYSA-N | seized | 2019-08-13 | National Forensic Laboratory (NFL), Slovenia | 2081-19 | ||
| x_miscellaneous | 4-Methylpropiophenone | ![]() | 1-(4-methylphenyl)propan-1-one | 4'-Methylpropiophenone; 4-Methylpropiophenone; 1-(p-tolyl)propan-1-one; p-Methylpropiophenone; p-Methylpropiophenone; 1-(4-methylphenyl)propan-1-one; 1-Propanone, 1-(4-methylphenyl)-; p-Tolyl ethyl ketone | C10H12O | 148.20 | 119 | 91 | 65 | 2.70 | show | PATYHUUYADUHQS-UHFFFAOYSA-N | seized | 2019-08-13 | National Forensic Laboratory (NFL), Slovenia | 2063-19 | ||
| Cathinones | N-butyl-norpentylone | 1‐(2H‐1,3‐benzodioxol‐5‐yl)‐2‐(butylamino)pentan‐1‐one | β-Keto-3,4-methylenedioxy-alpha-propyl-N-butyl-phenethylamine, N-butylpentylone , BK-BUTYL-K, BK-BBDP | C16H23NO3 | 277.36 | 128 | 129 | 149 | 7.60 | show | SEIQPCGGBMTHCB-UHFFFAOYSA-N | test purchase | 2019-08-13 | National Forensic Laboratory (NFL), Slovenia | 2068-19 | |||
| Cathinones | 2,5-dimethyl-alpha-PVP | ![]() | 1‐(2,5‐dimethylphenyl)‐2‐(pyrrolidin‐1‐yl)pentan‐1‐one | 2,5-dimethyl-α-PVP | C17H25NO | 259.39 | 126 | 127 | 124 | 6.46 | show | MIGNJPCJJLFQGK-UHFFFAOYSA-N | RM-reference material | 2019-08-14 | National Forensic Laboratory (NFL), Slovenia | 2078-19 | ||
| Cannabinoids | 5F-MDMB-P4AICA | ![]() | methyl 2‐{[1‐(5‐fluoropentyl)‐1H‐pyrrolo[3,2‐b]pyridin‐3‐yl]formamido}‐3,3‐dimethylbutanoate | Methyl 2-(1-(5-fluoropentyl)-1H-pyrrolo[3,2-b]pyridine-3- carboxamido)-3,3-dimethylbutanoate | C20H28FN3O3 | 377.46 | 233 | 145 | 320 | 12.77 | show | YUNKAZHULJISDA-UHFFFAOYSA-N | RM-reference material | 2019-08-14 | National Forensic Laboratory (NFL), Slovenia | 2080-19 | ||
| Opioids | Despropionyl-4-Methoxyfentanyl | ![]() | N‐(4‐methoxyphenyl)‐1‐(2‐phenylethyl)piperidin‐4‐amine | 4-methoxy 4-ANPP; p-methoxy 4-ANPP; Despropionyl 4-Methoxyfentanyl; Despropionyl p-Methoxyfentanyl; Despropionyl para-Methoxyfentanyl | C20H26N2O | 310.44 | 176 | 219 | 96 | 10.93 | show | HVZBFQZTWWJOHF-UHFFFAOYSA-N | RM-reference material | 2019-09-02 | National Forensic Laboratory (NFL), Slovenia | 2086-19 | ||
| Opioids | Despropionyl-4-Bromofentanyl | ![]() | N‐(4‐bromophenyl)‐1‐(2‐phenylethyl)piperidin‐4‐amine | 4-bromo ANPP; 4-bromo 4-ANPP; Despropionyl 4-Bromofentanyl; Despropionyl p-Bromofentanyl; Despropionyl para-Bromofentanyl; p-bromo 4-ANPP; p-bromo ANPP; para-bromo ANPP | C19H23BrN2 | 359.31 | 267 | 269 | 224 | 11.82 | show | PHWAYZMUFKPAIM-UHFFFAOYSA-N | RM-reference material | 2019-09-02 | National Forensic Laboratory (NFL), Slovenia | 2085-19 | ||
| Cathinones | N-butyl-norpentylone | 1‐(2H‐1,3‐benzodioxol‐5‐yl)‐2‐(butylamino)pentan‐1‐one | β-Keto-3,4-methylenedioxy-alpha-propyl-N-butyl-phenethylamine, N-butylpentylone , BK-BUTYL-K, BK-BBDP | C16H23NO3 | 277.36 | 128 | 149 | 129 | 7.57 | show | SEIQPCGGBMTHCB-UHFFFAOYSA-N | collected | 2019-09-02 | Forensic Science Institute Zurich, Switzerland | 2088-19 | |||
| Cannabinoids | ADB-BUTINACA | ![]() | 2-[(1-butyl-1H-indazol-3-yl)formamido]-3,3-dimethylbutanamide | ADB-BUTINACA; N-(1-amino-3,3-dimethyl-1-oxobutan-2-yl)-1-butyl-1H-indazole-3-carboxamide | C18H26N4O2 | 330.43 | 201 | 286 | 145 | 10.62 | show | GPWADXHYJAZPAX-UHFFFAOYSA-N | test purchase | 2019-10-14 | National Forensic Laboratory (NFL), Slovenia | 2082-19 | ||
| Cathinones | 4-FPD | ![]() | 1‐(4‐fluorophenyl)‐2‐(methylamino)pentan‐1‐one | 4F-Pentedrone | C12H16FNO | 209.26 | 86 | 44 | 95 | 3.57 | show | QBFXBDUCRNGHSA-UHFFFAOYSA-N | test purchase | 2019-10-14 | National Forensic Laboratory (NFL), Slovenia | 2091-19 | ||
| Cathinones | MDPEP | ![]() | 1‐(2H‐1,3‐benzodioxol‐5‐yl)‐2‐(pyrrolidin‐1‐yl)heptan‐1‐one | 1-(1,3-benzodioxol-5-yl)-2-pyrrolidin-1-yl-heptan-1-one; 3,4-methylenedioxy-PV8 | C18H25NO3 | 303.40 | 154 | 155 | 149 | show | APQUWEZHVKBPTI-UHFFFAOYSA-N | analytical report | 2019-10-15 | Hungarian Institute of Forensic Science, Budapest, Hungary | RPT: HIFS-013 | |||
| Cathinones | MDPEP | ![]() | 1-(2H-1,3-benzodioxol-5-yl)-2-(pyrrolidin-1-yl)heptan-1-one | 1-(1,3-benzodioxol-5-yl)-2-pyrrolidin-1-yl-heptan-1-one; 3,4-methylenedioxy-PV8; 1-(benzo[d][1,3]dioxol-5-yl)-2-(pyrrolidin-1-yl)heptan-1-one | C18H25NO3 | 303.40 | 154 | 155 | 149 | 8.85 | show | APQUWEZHVKBPTI-UHFFFAOYSA-N | test purchase | 2019-10-16 | National Forensic Laboratory (NFL), Slovenia | 2083-19 | ||
| Cathinones | 3,4-diMe-alpha-PVP | ![]() | 1‐(3,4‐dimethylphenyl)‐2‐(pyrrolidin‐1‐yl)pentan‐1‐one | 3,4-dimethyl-α-PVP; 3,4-dimethyl-α-Pyrrolidinopentiophenone; 3’,4’-dimethyl-2-(1-pyrrolidinyl)-Valerophenone | C17H25NO | 259.39 | 126 | 127 | 133 | 7.08 | show | IKKXRCRMSQZNLG-UHFFFAOYSA-N | RM-reference material | 2019-11-15 | National Forensic Laboratory (NFL), Slovenia | 2106-19 | ||
| Cannabinoids | 2F-QMPSB | ![]() | quinolin‐8‐yl 3‐[(4,4‐difluoropiperidin‐1‐yl)sulfonyl]‐4‐methylbenzoate | 2-fluoro QMPSB; SGT-13 | C22H20F2N2O4S | 446.47 | 302 | 89 | 263 | 16.57 | show | JOSWCKYCXJMLNM-UHFFFAOYSA-N | RM-reference material | 2019-11-15 | National Forensic Laboratory (NFL), Slovenia | 2109-19 | ||
| Cathinones | N-Isobutyl Hexedrone | ![]() | 2‐[(2‐methylpropyl)amino]‐1‐phenylhexan‐1‐one | 2-(isobutylamino)-1-phenylhexan-1-one; α-Isobutylaminohexanophenone; NDH | C16H25NO | 247.38 | 142 | 86 | 77 | 5.53 | show | XGMYZLXQTQQDHN-UHFFFAOYSA-N | RM-reference material | 2019-11-15 | National Forensic Laboratory (NFL), Slovenia | 2108-19 | ||
| Cathinones | 5-MeO-N,N-Diethylpentylone | ![]() | 2‐(diethylamino)‐1‐(7‐methoxy‐2H‐1,3‐benzodioxol‐5‐yl)pentan‐1‐one | 5-methoxy-N,N-Diethylpentylone; 2-(diethylamino)-1-(7-methoxybenzo[d][1,3]dioxol-5-yl)pentan-1-one | C17H25NO4 | 307.39 | 128 | 129 | 179 | 8.13 | show | ZUDWPDKEKRSMPS-UHFFFAOYSA-N | RM-reference material | 2019-11-15 | National Forensic Laboratory (NFL), Slovenia | 2110-19 | ||
| Cannabinoids | 4CN-MDMB-BUTINACA | ![]() | methyl 2‐{[1‐(4‐cyanobutyl)‐1H‐indazol‐3‐yl]formamido}‐3,3‐dimethylbutanoate | 4CN-BINACA-ADB; N-[[1-(4-cyanobutyl)-1H-indazol-3-yl]carbonyl]-3-methyl-L-valine, methyl ester | C20H26N4O3 | 370.45 | 226 | 282 | 145 | 11.92 | show | NXENAUQFMPGSRW-UHFFFAOYSA-N | RM-reference material | 2019-11-22 | National Forensic Laboratory (NFL), Slovenia | 2107-19 | ||
| Arylalkylamines | BDB | ![]() | 1‐(2H‐1,3‐benzodioxol‐5‐yl)butan‐2‐amine | 1-benzo[1,3]dioxol-5-ylbutan-2-amine | C11H15NO2 | 193.25 | 58 | 136 | 135 | 4.31 | show | VHMRXGAIDDCGDU-UHFFFAOYSA-N | RM-reference material | 2019-11-22 | National Forensic Laboratory (NFL), Slovenia | 2102-19 | ||
| Indolalkylamines (fe tryptamines) | 4-HO-EPT | ![]() | 3‐{2‐[ethyl(propyl)amino]ethyl}‐1H‐indol‐4‐ol | C15H22N2O | 246.35 | 100 | 58 | 246 | 8.31 | show | JQELEPKHBXEAHR-UHFFFAOYSA-N | test purchase | 2020-01-14 | National Forensic Laboratory (NFL), Slovenia | 2026-18 | |||
| Indolalkylamines (fe tryptamines) | 4-AcO-EPT | ![]() | 3‐{2‐[ethyl(propyl)amino]ethyl}‐1H‐indol‐4‐yl acetate | C17H24N2O2 | 288.39 | 100 | 58 | 101 | 8.97 | show | VMFRFQVZMZGHOK-UHFFFAOYSA-N | test purchase | 2020-01-14 | National Forensic Laboratory (NFL), Slovenia | 2112-19 | |||
| Cathinones | alpha-PCYP | ![]() | 2‐cyclohexyl‐1‐phenyl‐2‐(pyrrolidin‐1‐yl)ethan‐1‐one | 2-cyclohexyl-1-phenyl-2-pyrrolidin-1-yl-ethanone; 2-cyclohexyl-1-phenyl-2-(1-pyrrolidinyl)-ethanone; α-pyrrolidinocyclohexylphenone | C18H25NO | 271.40 | 166 | 167 | 84 | 7.88 | show | FKEHRWJWTWDTDB-UHFFFAOYSA-N | test purchase | 2020-02-19 | National Forensic Laboratory (NFL), Slovenia | 2136-19 | ||
| Phenethylamines | BOH-PHP | ![]() | 1‐phenyl‐2‐(pyrrolidin‐1‐yl)hexan‐1‐ol | C16H25NO | 247.38 | 140 | 110 | 77 | 6.46 | show | GJHNPZVIGWPXBH-UHFFFAOYSA-N | test purchase | 2020-02-19 | National Forensic Laboratory (NFL), Slovenia | 2131-19 | |||
| Opioids | TIANEPTIN | ![]() | 7‐({6‐chloro‐10‐methyl‐9,9‐dioxo‐9lambda6‐thia‐10‐azatricyclo[9.4.0.03,8]pentadeca‐1(11),3(8),4,6,12,14‐hexaen‐2‐yl}amino)heptanoic acid | 7-((3-chloro-6-methyl-5,5-dioxido-6,11- dihydrodibenzo[c,f][1,2]thiazepin-11-yl)amino)heptanoic acid, 7-[(3-chloro-6-methyl-5,5-dioxo-11H-benzo[c][2,1]benzothiazepin-11-yl)amino]heptanoic acid | C21H25ClN2O4S | 436.95 | 292 | 294 | 228 | 17.89 | show | JICJBGPOMZQUBB-UHFFFAOYSA-N | seized | for GC-MS compound was derivatized by MSTFA: GC-RT and MS spectrum refer to TMS derivative | 2020-02-21 | National Forensic Laboratory (NFL), Slovenia | 2149-19 | |
| Arylcyclohexylamines | MXPr | ![]() | 2-(3-methoxyphenyl)-2-(propylamino)cyclohexan-1-one | 3-MeO-2′-Oxo-PCPr; 2-(3-methoxyphenyl)-2-(propylamino)cyclohexanone; Methoxpropamine | C16H23NO2 | 261.37 | 204 | 233 | 134 | 6.96 | show | AAVOSBAXDRASAH-UHFFFAOYSA-N | test purchase | 2020-03-11 | National Forensic Laboratory (NFL), Slovenia | 2133-19 | ||
| Piperazine derivates | kleferein | ![]() | 1-(3-chloro-4-fluorophenyl)piperazine | 3-Cl-4-FPP | C10H12ClFN2 | 214.67 | 172 | 174 | 214 | 5.40 | show | MKXFXPRJCBUTLX-UHFFFAOYSA-N | seized | 2020-03-11 | National Forensic Laboratory (NFL), Slovenia | 2150-19 | ||
| Indolalkylamines (fe tryptamines) | 1cP-LSD | ![]() | 11‐cyclopropanecarbonyl‐N,N‐diethyl‐6‐methyl‐6,11‐diazatetracyclo[7.6.1.02,7.012,16]hexadeca‐1(15),2,9,12(16),13‐pentaene‐4‐carboxamide | C24H29N3O2 | 391.51 | 289 | 391 | 221 | 19.47 | show | RAFUPYYDHPFASC-UHFFFAOYSA-N | test purchase | 2020-03-11 | National Forensic Laboratory (NFL), Slovenia | 2132-19 | |||
| Cathinones | N-Me-N-Pr-Pentylone | ![]() | 1‐(2H‐1,3‐benzodioxol‐5‐yl)‐2‐[methyl(propyl)amino]pentan‐1‐one | 1-(benzo[d][1,3]dioxol-5-yl)-2-(methyl(propyl)amino)pentan-1-one | C16H23NO3 | 277.36 | 128 | 129 | 86 | 7.19 | show | QYTUXIGXVXBZEZ-UHFFFAOYSA-N | RM-reference material | 2020-04-23 | National Forensic Laboratory (NFL), Slovenia | 2122-19 | ||
| Others | Mazindol | ![]() | 5‐(4‐chlorophenyl)‐2H,3H,5H‐imidazo[2,1‐a]isoindol‐5‐ol | 5-(4-chlorophenyl)-3,5-dihydro-2H-imidazo[2,1-a]isoindol-5-ol | C16H13ClN2O | 284.74 | 266 | 255 | 268 | 9.21 | show | ZPXSCAKFGYXMGA-UHFFFAOYSA-N | RM-reference material | 2020-04-23 | National Forensic Laboratory (NFL), Slovenia | 2118-19 | ||
| Cannabinoids | MDMB-4en-PICA | ![]() | methyl (2S)‐3,3‐dimethyl‐2‐{[1‐(pent‐4‐en‐1‐yl)‐1H‐indol‐3‐yl]formamido}butanoate | methyl (S)-3,3-dimethyl-2-(1-(pent-4-en-1-yl)-1H-indole-3-carboxamido)butanoate | C21H28N2O3 | 356.47 | 212 | 213 | 144 | 11.20 | show | DKAYJHYDQWJEBK-GOSISDBHSA-N | RM-reference material | 2020-04-24 | National Forensic Laboratory (NFL), Slovenia | 2125-19 | ||
| Cathinones | 3-MeO-4-EtO-NN-Diethylpentedrone | ![]() | 2‐(diethylamino)‐1‐(4‐ethoxy‐3‐methoxyphenyl)pentan‐1‐one | C18H29NO3 | 307.43 | 128 | 129 | 151 | 7.71 | show | HTBMOHNQJARGTF-UHFFFAOYSA-N | RM-reference material | 2020-04-24 | National Forensic Laboratory (NFL), Slovenia | 2123-19 | |||
| Cathinones | 3-MeO-4EtO-NN-Diethylhexedrone | ![]() | 2‐(diethylamino)‐1‐(4‐ethoxy‐3‐methoxyphenyl)hexan‐1‐one | C19H31NO3 | 321.46 | 142 | 143 | 151 | 8.15 | show | JCIWIWRWWCFVDK-UHFFFAOYSA-N | RM-reference material | 2020-04-24 | National Forensic Laboratory (NFL), Slovenia | 2126-19 | |||
| Cannabinoids | MDMB-3en-BUTINACA | ![]() | methyl (2S)‐2‐{[1‐(but‐3‐en‐1‐yl)‐1H‐indazol‐3‐yl]formamido}‐3,3‐dimethylbutanoate | methyl (S)-2-(1-(but-3-en-1-yl)-1H-indazole-3-carboxamido)-3,3-dimethylbutanoate | C19H25N3O3 | 343.43 | 199 | 287 | 145 | 9.56 | show | KMTRIILAGPIBSD-MRXNPFEDSA-N | RM-reference material | 2020-04-24 | National Forensic Laboratory (NFL), Slovenia | 2129-19 | ||
| Opioids | N-Me-4-Me Phenyl fentanyl | ![]() | N‐(4‐methylphenyl)‐N‐(1‐methylpiperidin‐4‐yl)benzamide | N-(1-methylpiperidin-4-yl)-N-(p-tolyl)benzamide; N-methyl para-methyl Phenyl fentanyl | C20H24N2O | 308.43 | 203 | 96 | 105 | 9.52 | show | LBCNYSDAKXSWOU-UHFFFAOYSA-N | RM-reference material | 2020-04-24 | National Forensic Laboratory (NFL), Slovenia | 2128-19 | ||
| Cathinones | 3-EtO-4-MeO NN-Diethylpentedrone | ![]() | 2‐(diethylamino)‐1‐(3‐ethoxy‐4‐methoxyphenyl)pentan‐1‐one | C18H29NO3 | 307.43 | 128 | 129 | 179 | 7.67 | show | QRJURERSBMBNQC-UHFFFAOYSA-N | RM-reference material | 2020-04-24 | National Forensic Laboratory (NFL), Slovenia | 2121-19 | |||
| Opioids | N-Me 3-Me Phenyl fentanyl | ![]() | N‐(3‐methylphenyl)‐N‐(1‐methylpiperidin‐4‐yl)benzamide | N-(3-methylphenyl)-N-(1-methyl-4-piperidinyl)-benzamide; N-methyl 3-methyl Phenyl fentanyl; N-methyl m-methyl Phenyl fentanyl | C20H24N2O | 308.43 | 203 | 96 | 97 | 9.32 | show | UEYMYUWEUXEFSB-UHFFFAOYSA-N | RM-reference material | 2020-04-24 | National Forensic Laboratory (NFL), Slovenia | 2124-19 | ||
| Opioids | N-Me 2-Me Phenyl fentanyl | ![]() | N‐(2‐methylphenyl)‐N‐(1‐methylpiperidin‐4‐yl)benzamide | N-(1-methylpiperidin-4-yl)-N-(o-tolyl)benzamide; N-methyl o-methyl Phenyl fentanyl | C20H24N2O | 308.43 | 97 | 96 | 203 | 9.48 | show | VWGMIZQFXRZGKF-UHFFFAOYSA-N | RM-reference material | 2020-04-24 | National Forensic Laboratory (NFL), Slovenia | 2127-19 | ||
| Cathinones | 5-MeO-NN-Diethyl hexylone | ![]() | 2‐(diethylamino)‐1‐(7‐methoxy‐2H‐1,3‐benzodioxol‐5‐yl)hexan‐1‐one | 2-(diethylamino)-1-(7-methoxybenzo[d][1,3]dioxol-5-yl)hexan-1-one | C18H27NO4 | 321.42 | 142 | 143 | 179 | 8.57 | show | BTCQJBCWDVWCOA-UHFFFAOYSA-N | RM-reference material | 2020-05-14 | National Forensic Laboratory (NFL), Slovenia | 2140-20 | ||
| Cannabinoids | 5F-ADB 2-indazole isomer | ![]() | methyl (2S)‐2‐{[2‐(5‐fluoropentyl)‐2H‐indazol‐3‐yl]formamido}‐3,3‐dimethylbutanoate | methyl (S)-2-(2-(5-fluoropentyl)-2H-indazole-3-carboxamido)-3,3-dimethylbutanoate; 5-fluoro MDMB-PINACA 2'-indazole isomer; 5F-MDMB-PINACA 2'-indazole isomer | C20H28FN3O3 | 377.46 | 205 | 145 | 233 | 10.16 | show | HCNWBGYBBSHBPL-QGZVFWFLSA-N | RM-reference material | 2020-05-14 | National Forensic Laboratory (NFL), Slovenia | 2139-20 | ||
| Cannabinoids | PTI-3 | ![]() | ({2‐[1‐(5‐fluoropentyl)‐1H‐indol‐3‐yl]‐1,3‐thiazol‐4‐yl}methyl)(2‐methoxyethyl)methylamine | N-((2-(1-(5-fluoropentyl)-1H-indol-3-yl)thiazol-4-yl)methyl)-2-methoxy-N-methylethan-1-amine | C21H28FN3OS | 389.53 | 301 | 302 | 155 | 14.64 | show | LXQIIHJBHSFWQW-UHFFFAOYSA-N | RM-reference material | 2020-05-14 | National Forensic Laboratory (NFL), Slovenia | 2137-19 | ||
| Arylcyclohexylamines | 2F-deschloronorketamine | ![]() | 2‐amino‐2‐(2‐fluorophenyl)cyclohexan‐1‐one | 2-amino-2-(2-fluorophenyl)-cyclohexanone; 2-fluoro Deschloronorketamine | C12H14FNO | 207.25 | 150 | 179 | 122 | 4.65 | show | QAAHWOFISODWNS-UHFFFAOYSA-N | RM-reference material | 2020-05-14 | National Forensic Laboratory (NFL), Slovenia | 2138-20 | ||
| Cathinones | N,N-Diethyl hexylone | ![]() | 1‐(2H‐1,3‐benzodioxol‐5‐yl)‐2‐(diethylamino)hexan‐1‐one | 1-(1,3-benzodioxol-5-yl)-2-(diethylamino)-1-hexanone | C17H25NO3 | 291.39 | 142 | 143 | 149 | 7.56 | show | URGFGORVLINAOS-UHFFFAOYSA-N | RM-reference material | 2020-05-14 | National Forensic Laboratory (NFL), Slovenia | 2130-19 | ||
| Cannabinoids | MDMB-BUTINACA | ![]() | methyl (2S)‐2‐[(1‐butyl‐1H‐indazol‐3‐yl)formamido]‐3,3‐dimethylbutanoate | methyl (S)-2-(1-butyl-1H-indazole-3-carboxamido)-3,3-dimethylbutanoate, MDMB-BINACA | C19H27N3O3 | 345.44 | 201 | 145 | 257 | 9.64 | show | YHAWFWPNIXPRDT-MRXNPFEDSA-N | RM-reference material | 2020-05-14 | National Forensic Laboratory (NFL), Slovenia | 2141-20 | ||
| Others | Xylazine | ![]() | N‐(2,6‐dimethylphenyl)‐5,6‐dihydro‐4H‐1,3‐thiazin‐2‐amine | C12H16N2S | 220.33 | 205 | 220 | 145 | 6.88 | show | BPICBUSOMSTKRF-UHFFFAOYSA-N | RM-reference material | 2020-05-15 | National Forensic Laboratory (NFL), Slovenia | 2163-20 | |||
| Opioids | Phenethyl 4-ANPP | ![]() | N‐phenyl‐N,1‐bis(2‐phenylethyl)piperidin‐4‐amine | N,1-diphenethyl-N-phenylpiperidin-4-amine | C27H32N2 | 384.57 | 106 | 96 | 105 | 15.04 | show | CLASASUPPQKQGB-UHFFFAOYSA-N | RM-reference material | 2020-05-15 | National Forensic Laboratory (NFL), Slovenia | 2146-20 | ||
| Opioids | 4-Anilino-1-Boc-piperidine | ![]() | tert‐butyl 4‐(phenylamino)piperidine‐1‐carboxylate | 4-(phenylamino)-1-piperidinecarboxylic acid, 1,1-dimethylethyl ester; 4-ANBocP; N-Boc-4-AP; 1-Boc-4-(Phenylamino)piperidine | C16H24N2O2 | 276.38 | 57 | 83 | 93 | 7.94 | show | HTIWISWAPVQGMI-UHFFFAOYSA-N | RM-reference material | 2020-05-15 | National Forensic Laboratory (NFL), Slovenia | 2142-20 | ||
| Cathinones | 3-EtO-4-MeO-NN-Diethylhexedrone | ![]() | 2‐(diethylamino)‐1‐(3‐ethoxy‐4‐methoxyphenyl)hexan‐1‐one | 3-ethoxy-4-methoxy N,N-Diethylhexedrone | C19H31NO3 | 321.46 | 142 | 143 | 179 | 8.11 | show | HXZZSYZBDZXENQ-UHFFFAOYSA-N | RM-reference material | 2020-05-15 | National Forensic Laboratory (NFL), Slovenia | 2144-20 | ||
| Cathinones | 4-Me-N-Ethylhexanophenone | ![]() | 2‐(ethylamino)‐1‐(4‐methylphenyl)hexan‐1‐one | 2-(ethylamino)-1-(p-tolyl)hexan-1-one; MEAHP | C15H23NO | 233.35 | 114 | 115 | 91 | 5.44 | show | MWMHPKRDZIOULW-UHFFFAOYSA-N | RM-reference material | 2020-05-15 | National Forensic Laboratory (NFL), Slovenia | 2143-20 | ||
| Cannabinoids | UR-144 Degradant | ![]() | 3,3,4‐trimethyl‐1‐(1‐pentyl‐1H‐indol‐3‐yl)pent‐4‐en‐1‐one | KM-X1 Degradant; UR-144 3,3,4-Trimethylpentenoyl isomer | C21H29NO | 311.47 | 214 | 229 | 296 | 9.84 | show | NBJHWTCAQOYUND-UHFFFAOYSA-N | RM-reference material | 2020-05-15 | National Forensic Laboratory (NFL), Slovenia | 2166-20 | ||
| Opioids | 3,4-Difluoro U-47700 | ![]() | N‐[2‐(dimethylamino)cyclohexyl]‐3,4‐difluoro‐N‐methylbenzamide | C16H22F2N2O | 296.36 | 84 | 125 | 141 | 7.37 | show | NKTBCDDEERGNEI-UHFFFAOYSA-N | RM-reference material | 2020-05-15 | National Forensic Laboratory (NFL), Slovenia | 2162-20 | |||
| Cathinones | 6-MeO-N,N-Diethylpentylone | ![]() | 2‐(diethylamino)‐1‐(6‐methoxy‐2H‐1,3‐benzodioxol‐5‐yl)pentan‐1‐one | 2-(diethylamino)-1-(6-methoxybenzo[d][1,3]dioxol-5-yl)pentan-1-one | C17H25NO4 | 307.39 | 128 | 129 | 179 | 7.85 | show | OZQOTHNGRNUPQU-UHFFFAOYSA-N | RM-reference material | 2020-05-15 | National Forensic Laboratory (NFL), Slovenia | 2145-20 | ||
| Phenethylamines | Alpha-ethyl 2C-D | ![]() | 1‐(2,5‐dimethoxy‐4‐methylphenyl)butan‐2‐amine | α-ethyl-2,5-dimethoxy-4-methyl-benzeneethanamine; α-Et 2C-D; 4C-DOM; 4C-D; BL 3912; 2,5-Dimethoxy-α-ethyl-4-methylphenethylamine; 1-(2,5-Dimethoxy-4-methylphenyl)-2-aminobutane; ARIADNE; Dimoxamine | C13H21NO2 | 223.32 | 58 | 166 | 151 | 5.17 | show | MLYCFWZIAJAIGW-UHFFFAOYSA-N | RM-reference material | 2020-05-26 | National Forensic Laboratory (NFL), Slovenia | 2172-20 | ||
| Opioids | 3,4-Difluoro Isopropyl U-47700 | ![]() | N‐[2‐(dimethylamino)cyclohexyl]‐3,4‐difluoro‐N‐(propan‐2‐yl)benzamide | N-(2-(dimethylamino)cyclohexyl)-3,4-difluoro-N-isopropylbenzamide | C18H26F2N2O | 324.42 | 84 | 141 | 124 | 7.66 | show | PKDZZLVKOGJANU-UHFFFAOYSA-N | RM-reference material | 2020-05-26 | National Forensic Laboratory (NFL), Slovenia | 2168-20 | ||
| Opioids | Despropionyl Reminfentanil | ![]() | methyl 1‐(3‐methoxy‐3‐oxopropyl)‐4‐(phenylamino)piperidine‐4‐carboxylate | 4-(methoxycarbonyl)-4-(phenylamino)-1-piperidinepropanoic acid, methyl ester | C17H24N2O4 | 320.39 | 168 | 212 | 227 | 8.99 | show | ROSYUMIMEUYKDL-UHFFFAOYSA-N | RM-reference material | 2020-05-26 | National Forensic Laboratory (NFL), Slovenia | 2173-20 | ||
| Opioids | 3,4-Difluoro Propyl U-47700 | ![]() | N‐[2‐(dimethylamino)cyclohexyl]‐3,4‐difluoro‐N‐propylbenzamide | C18H26F2N2O | 324.42 | 84 | 125 | 141 | 7.79 | show | RVTOLUMXMICZQI-UHFFFAOYSA-N | RM-reference material | 2020-05-26 | National Forensic Laboratory (NFL), Slovenia | 2169-20 | |||
| Opioids | 3,4-Difluoro U-50488 | ![]() | 2‐(3,4‐difluorophenyl)‐N‐methyl‐N‐[2‐(pyrrolidin‐1‐yl)cyclohexyl]acetamide | 3,4-difluoro-N-methyl-N-[2-(1-pyrrolidinyl)cyclohexyl]-benzeneacetamide | C19H26F2N2O | 336.43 | 110 | 151 | 127 | 9.38 | show | SLVWKYAQSZKFAZ-UHFFFAOYSA-N | RM-reference material | 2020-05-26 | National Forensic Laboratory (NFL), Slovenia | 2170-20 | ||
| Piperazine derivates | 2Cl-3-FPP | ![]() | 1‐(2‐chloro‐3‐fluorophenyl)piperazine | 1-(o-Chloro-m-fluorophenyl)piperazine; 1-(ortho-Chloro-meta-fluorophenyl)piperazine; o-Cl-mFPP | C10H12ClFN2 | 214.67 | 172 | 174 | 155 | 4.78 | show | UFRAAIGOXGTHQX-UHFFFAOYSA-N | RM-reference material | 2020-05-26 | National Forensic Laboratory (NFL), Slovenia | 2167-20 | ||
| Opioids | 2,4-Difluoro U-48800 | ![]() | 2‐(2,4‐difluorophenyl)‐N‐[2‐(dimethylamino)cyclohexyl]‐N‐methylacetamide | C17H24F2N2O | 310.39 | 84 | 125 | 127 | 7.84 | show | VBWKXUJZXZZAMM-UHFFFAOYSA-N | RM-reference material | 2020-05-26 | National Forensic Laboratory (NFL), Slovenia | 2171-20 | |||
| Cannabinoids | PTI-3 | ![]() | ({2‐[1‐(5‐fluoropentyl)‐1H‐indol‐3‐yl]‐1,3‐thiazol‐4‐yl}methyl)(2‐methoxyethyl)methylamine | N-((2-(1-(5-fluoropentyl)-1H-indol-3-yl)thiazol-4-yl)methyl)-2-methoxy-N-methylethan-1-amine | C21H28FN3OS | 389.53 | 301 | 302 | 357 | show | LXQIIHJBHSFWQW-UHFFFAOYSA-N | analytical report | 2020-05-31 | Hungarian Institute for Forensic Sciences, Budapest, Hungary | RPT: HIFS-016 | |||
| Cannabinoids | 5F-Cumyl-PINACA | ![]() | 1-(5-fluoropentyl)-N-(1-methyl-1-phenylethyl)-1H-indazole-3-carboxamide | 5F-Cumyl-PINACA, Cumyl-5F-PINACA, SGT 25 | C22H26FN3O | 367.47 | 233 | 352 | 145 | show | XSHGVIPHMOTDCS-UHFFFAOYSA-N | analytical report | 2020-05-31 | Hungarian Institute for Forensic Sciences, Budapest, Hungary | RPT: HIFS-014 | |||
| Cannabinoids | Cumyl-Cb-MeGaClone | ![]() | 5-(cyclobutylmethyl)-2-(1-methyl-1-phenyl-ethyl)pyrido[4,3-b]indol-1-one | cumyl-cyclobutylmethyl-gamma-carbolinone, Cumyl-Cb-MeGaClone | C25H26N2O | 370.49 | 252 | 91 | 119 | show | VOCGZWPYRQJUMY-UHFFFAOYSA-N | analytical report | 2020-05-31 | Hungarian Institute for Forensic Sciences, Budapest, Hungary | RPT: HIFS-015 | |||
| Indolalkylamines (fe tryptamines) | 5-Br-DMT | ![]() | [2‐(5‐bromo‐1H‐indol‐3‐yl)ethyl]dimethylamine | 5-Bromo-DMT; 5-bromo-N,N-dimethyltryptamine; 2-(5-bromo-1H-indol-3-yl)-N,N-dimethylethan-1-amine | C12H15BrN2 | 267.17 | 58 | 129 | 102 | 7.73 | show | ATEYZYQLBQUZJE-UHFFFAOYSA-N | test purchase | 2020-07-09 | National Forensic Laboratory (NFL), Slovenia | 2174-20 | ||
| Indolalkylamines (fe tryptamines) | 5-Cl-DMT | ![]() | [2‐(5‐chloro‐1H‐indol‐3‐yl)ethyl]dimethylamine | 5-Chloro-DMT; 5-chloro-N,N-dimethyltryptamine; 2-(5-chloro-1H-indol-3-yl)-N,N-dimethylethan-1-amine | C12H15ClN2 | 222.72 | 58 | 164 | 59 | 7.14 | show | LXATUVRMTAHHDX-UHFFFAOYSA-N | test purchase | 2020-07-09 | National Forensic Laboratory (NFL), Slovenia | 2175-20 | ||
| Opioids | Brorphine | ![]() | 1‐{1‐[1‐(4‐bromophenyl)ethyl]piperidin‐4‐yl}‐2,3‐dihydro‐1H‐1,3‐benzodiazol‐2‐one | 1-(1-(1-(4-bromophenyl)ethyl)piperidin-4-yl)-1,3-dihydro-2H-benzo[d]imidazol-2-one | C20H22BrN3O | 400.32 | 82 | 104 | 216 | 16.77 | show | CNOFBGYRMCBVLO-UHFFFAOYSA-N | test purchase | 2020-07-09 | National Forensic Laboratory (NFL), Slovenia | 2178-20 | ||
| Arylcyclohexylamines | BTCP | ![]() | 1‐[1‐(1‐benzothiophen‐2‐yl)cyclohexyl]piperidine | Benocyclidine; 1-(1-benzo[b]thien-2-ylcyclohexyl)-piperidine; 1-[1-(benzothiophen-2-yl)cyclohexyl]piperidine | C19H25NS | 299.48 | 147 | 215 | 214 | 9.70 | show | RGSVXQJPSWZXOP-UHFFFAOYSA-N | test purchase | 2020-07-09 | National Forensic Laboratory (NFL), Slovenia | 2177-20 | ||
| Others | NOOPEPT | ![]() | ethyl 2-{[1-(2-phenylacetyl)pyrrolidin-2-yl]formamido}acetate | Omberacetam; N-phenylacetyl-L-prolylglycine ethyl ester; GVS-111 | C17H22N2O4 | 318.37 | 70 | 188 | 91 | show | PJNSMUBMSNAEEN-UHFFFAOYSA-N | analytical report | 2020-07-15 | Hungarian Institute for Forensic Sciences, Budapest, Hungary | RPT:HIFS-017 | |||
| Indolalkylamines (fe tryptamines) | 4-AcO-MET | ![]() | 4-acetoxy-N-methyl-N-ethyltryptamine | 4-Acetoxyethylmethyltryptamine; 3‐{2‐[ethyl(methyl)amino]ethyl}‐1H‐indol‐4‐yl acetate; | C15H20N2O2 | 260.30 | 72 | 45 | 146 | show | OMDKHOOGGJRLLX-UHFFFAOYSA-N | analytical report | 2020-07-15 | Hungarian Institute for Forensic Sciences, Budapest, Hungary | RPT:HIFS-018 | |||
| Cathinones | N-ethyl-nor-hepthylone | ![]() | 1-(1,3-benzodioxol-5-yl)-2-(ethylamino)heptan-1-one | 1-(2H-1,3-benzodioxol-5-yl)-2-(ethylamino)heptan-1-one | C16H23NO3 | 277.36 | 128 | 149 | 129 | show | ZYFSMTZZSZKLKU-UHFFFAOYSA-N | analytical report | 2020-07-15 | Hungarian Institute for Forensic Sciences, Budapest, Hungary | RPT:HIFS-019 | |||
| Cannabinoids | 4F-MDMB-BICA | ![]() | methyl 2-({[1-(4-fluorobutyl)-1H-indol-3-yl]carbonyl}amino)-3,3-dimethylbutanoate | MDMB-4F-BICA; 4F-MDMB-BUTICA; MDMB-4F-BUTICA; methyl 2‐{[1‐(4‐fluorobutyl)indol‐3‐yl]formamido}‐ 3,3‐dimethylbutanoate; methyl N-{[1-(4-fluorobutyl)-1H-indol-3-yl]carbonyl}-3-methylvalinate | C20H27FN2O3 | 362.44 | 218 | 144 | 362 | show | QIKHYQCWGUGFBB-UHFFFAOYSA-N | analytical report | 2020-07-15 | Hungarian Institute for Forensic Sciences, Budapest, Hungary | RPT:HIFS-020 | |||
| Cannabinoids | 5F-EMB-PICA | ![]() | ethyl 2-[[1-(5-fluoropentyl)indole-3-carbonyl]amino]-3-methyl-butanoate | ethyl N-{[1-(5-fluoropentyl)-1H-indol-3-yl]carbonyl}valinate; ethyl 2‐{[1‐(5‐fluoropentyl)indol‐3‐yl]formamido}‐3‐methylbutanoate; | C21H29FN2O3 | 376.47 | 232 | 248 | 144 | show | WPRKGJGOLPGBMG-UHFFFAOYSA-N | analytical report | 2020-07-20 | Hungarian Institute for Forensic Sciences, Budapest, Hungary | RPT:HIFS-021 | |||
| Cathinones | 4-ethyl-alpha-PVP | ![]() | 1-(4-ethylphenyl)-2-(pyrrolidin-1-yl)pentan-1-one | 4'-ethyl-alpha-PVP | C17H25NO | 259.39 | 126 | 127 | 77 | show | DXQSRSYIYCRPMM-UHFFFAOYSA-N | analytical report | 2020-08-20 | Hungarian Institute for Forensic Sciences, Budapest, Hungary | RPT:HIFS-022 | |||
| Arylalkylamines | Ephenidine | ![]() | N-ethyl-1,2-diphenylethanamine | (1,2‐diphenylethyl)(ethyl)amine; N-ethyl-α-phenyl-benzeneethanamine; EPE; NEDPA; NSC 33648; | C16H19N | 225.33 | 134 | 135 | 79 | show | IGFZMQXEKIZPDR-UHFFFAOYSA-N | analytical report | 2020-09-02 | Hungarian Institute for Forensic Sciences, Budapest, Hungary | RPT:HIFS-023 | |||
| Cannabinoids | 5F-EDMB-PICA | ![]() | ethyl 2-[[1-(5-fluoropentyl)indole-3-carbonyl]amino]-3,3-dimethyl-butanoate; ethyl 2‐{[1‐(5‐fluoropentyl)indol‐3‐yl]formamido}‐3,3‐dimethylbutanoate; ethyl 2-(1-(5-fluoropentyl)-1H-indole-3-carboxamido)-3,3- dimethylbutanoate | 5-fluoro EDMB-2201, EDMB-5F-PICA, 5F-EDMB-2001 | C22H31FN2O3 | 390.50 | 232 | 144 | 233 | show | RNWBJOCYFGGMRJ-UHFFFAOYSA-N | analytical report | 2020-09-16 | Hungarian Institute for Forensic Sciences, Budapest, Hungary | RPT:HIFS-024 | |||
| Cannabinoids | 5F-EDMB-PICA | ![]() | ethyl 2‐{[1‐(5‐fluoropentyl)indol‐3‐yl]formamido}‐3,3‐dimethylbutanoate; ethyl 2-(1-(5-fluoropentyl)-1H-indole-3-carboxamido)-3,3- dimethylbutanoate; ethyl 2-[[1-(5-fluoropentyl)indole-3-carbonyl]amino]-3,3-dimethyl-butanoate; | 5-fluoro EDMB-2201, EDMB-5F-PICA, 5F-EDMB-2001 | C22H31FN2O3 | 390.50 | 232 | 233 | 144 | 12.30 | show | RNWBJOCYFGGMRJ-UHFFFAOYSA-N | test purchase | 2020-09-16 | National Forensic Laboratory (NFL), Slovenia | 2191-20 | ||
| Cannabinoids | 4F-MDMB-BICA | ![]() | methyl 2‐{[1‐(4‐fluorobutyl)indol‐3‐yl]formamido}‐3,3‐dimethylbutanoate; Methyl 2-(1-(4-fluorobutyl)-1H-indole-3-carboxamido)-3,3-dimethylbutanoate | MDMB-4F-BICA; 4F-MDMB-BUTICA; MDMB-4F-BUTICA; methyl N-{[1-(4-fluorobutyl)-1H-indol-3-yl]carbonyl}-3-methylvalinate; methyl 2-({[1-(4-fluorobutyl)-1H-indol-3-yl]carbonyl}amino)-3,3-dimethylbutanoate | C20H27FN2O3 | 362.44 | 218 | 219 | 144 | 11.20 | show | QIKHYQCWGUGFBB-UHFFFAOYSA-N | test purchase | 2020-09-17 | National Forensic Laboratory (NFL), Slovenia | 2189-20 | ||
| Arylalkylamines | BOH-2C-B | ![]() | 2-amino-1-(4-bromo-2,5-dimethoxyphenyl)ethan-1-ol | 2-Amino-1-(4-bromo-2,5-dimethoxy-phenyl)-ethanol; BOHB; α-(aminomethyl)-4-bromo-2,5-dimethoxy-benzenemethanol; β-hydroxy 2C-B | C10H14BrNO3 | 276.13 | 196 | 245 | 247 | 6.93 | show | test purchase | 2020-09-28 | National Forensic Laboratory (NFL), Slovenia | 2193-20 | |||
| Opioids | Fluonitazene | ![]() | diethyl(2‐{2‐[(4‐fluorophenyl)methyl]‐5‐nitro‐1H‐1,3‐benzodiazol‐1‐yl}ethyl)amine | N,N-diethyl-2-(2-(4-fluorobenzyl)-5-nitro-1H-benzo[d]imidazol-1-yl)ethan-1-amine | C20H23FN4O2 | 370.43 | 86 | 109 | 87 | 13.62 | show | ZTWHIDCAGRMKTC-UHFFFAOYSA-N | test purchase | 2020-10-20 | National Forensic Laboratory (NFL), Slovenia | 2184-20 | ||
| Opioids | AP-238 | ![]() | 1‐{2,6‐dimethyl‐4‐[(2E)‐3‐phenylprop‐2‐en‐1‐yl]piperazin‐1‐yl}propan‐1‐one | 4-Cinnamyl-2,6-dimethyl-1-propionyl-piperazine; 1-(4-cinnamyl-2,6-dimethylpiperazin-1-yl)propan-1-one; LS-111393; 2,6-Dimethyl-1-(1-oxopropyl)-4-(3-phenyl-2-propenyl)piperazine | C18H26N2O | 286.42 | 117 | 186 | 115 | 9.00 | show | JELNWDOXWGBBLO-DHZHZOJOSA-N | test purchase | 2020-10-20 | National Forensic Laboratory (NFL), Slovenia | 2185-20 | ||
| Arylcyclohexylamines | 3F-PCP | ![]() | 1‐[1‐(3‐fluorophenyl)cyclohexyl]piperidine | 3-Fluoro-PCP | C17H24FN | 261.38 | 218 | 109 | 204 | 6.61 | show | PFPLGKFWWBXTNP-UHFFFAOYSA-N | test purchase | 2020-10-20 | National Forensic Laboratory (NFL), Slovenia | 2186-20 | ||
| Cathinones | 4F-3Me-α-PVP | ![]() | 1‐(4‐fluoro‐3‐methylphenyl)‐2‐(pyrrolidin‐1‐yl)pentan‐1‐one | 4F-3Me-α-PVP; 4F-3-methyl-α-PVP; 4-fluoro-3-methyl-α-PVP; 4-fluoro-3-methyl-α-pyrrolidinopentiophenone, MFPVP | C16H22FNO | 263.37 | 126 | 127 | 109 | 6.06 | show | LFTWWOQOBQFPAT-UHFFFAOYSA-N | test purchase | 2020-10-20 | National Forensic Laboratory (NFL), Slovenia | 2187-20 | ||
| Benzodiazepines | Norflurazepam (Norfludiazepam) | ![]() | 7‐chloro‐5‐(2‐fluorophenyl)‐2,3‐dihydro‐1H‐1,4‐benzodiazepin‐2‐one | Norfludiazepam; N-Desalkylflurazepam; Descarbethoxyloflazepate; N-Desalkyl-2-oxoquazepam; | C15H10ClFN2O | 288.71 | 259 | 260 | 287 | 9.42 | show | UVCOILFBWYKHHB-UHFFFAOYSA-N | test purchase | 2020-10-20 | National Forensic Laboratory (NFL), Slovenia | 2188-20 | ||
| Cannabinoids | 5B-AKB-48 | ![]() | N‐(adamantan‐1‐yl)‐1‐(5‐bromopentyl)‐1H‐indazole‐3‐carboxamide | 5Br-APINACA; 5-Bromo AKB48, 5Br-AKB-48 | C23H30BrN3O | 444.42 | 294 | 295 | 145 | 18.22 | show | JKYXWDCDKGVNGP-UHFFFAOYSA-N | test purchase | 2020-10-20 | National Forensic Laboratory (NFL), Slovenia | 2190-20 | ||
| Opioids | Metonitazene | ![]() | diethyl(2‐{2‐[(4‐methoxyphenyl)methyl]‐5‐nitro‐1H‐1,3‐benzodiazol‐1‐yl}ethyl)amine | N,N-diethyl-2-[2-[(4-methoxyphenyl)methyl]-5-nitro-benzimidazol-1-yl]ethanamine | C21H26N4O3 | 382.46 | 86 | 121 | 87 | 16.25 | show | HNGZTLMRQTVPBH-UHFFFAOYSA-N | test purchase | 2020-12-18 | National Forensic Laboratory (NFL), Slovenia | 2198-20 | ||
| Opioids | Etazene | ![]() | (2‐{2‐[(4‐ethoxyphenyl)methyl]‐1H‐1,3‐benzodiazol‐1‐yl}ethyl)diethylamine | 2-[(4-ethoxyphenyl)methyl]-N,N-diethyl-1H-benzimidazole-1-ethanamine | C22H29N3O | 351.49 | 86 | 107 | 87 | 11.50 | show | BMLPNUNXHUGDOI-UHFFFAOYSA-N | test purchase | 2020-12-18 | National Forensic Laboratory (NFL), Slovenia | 2199-20 | ||
| Arylcyclohexylamines | 3Cl-PCP | ![]() | 1‐[1‐(3‐chlorophenyl)cyclohexyl]piperidine | C17H24ClN | 277.84 | 234 | 236 | 125 | 7.73 | show | HUHBTESMMFLCAN-UHFFFAOYSA-N | test purchase | 2020-12-18 | National Forensic Laboratory (NFL), Slovenia | 2201-20 | |||
| Arylcyclohexylamines | MXiPr | ![]() | 2‐(3‐methoxyphenyl)‐2‐[(propan‐2‐yl)amino]cyclohexan‐1‐one | 3-MeO-2′-oxo-PCPr | C16H23NO2 | 261.37 | 204 | 233 | 134 | 6.49 | show | FTQIVDGNGXPEKP-UHFFFAOYSA-N | test purchase | 2020-12-18 | National Forensic Laboratory (NFL), Slovenia | 2197-20 | ||
| Cathinones | A-D2PV | ![]() | 1,2-diphenyl-2-(pyrrolidin-1-yl)ethan-1-one | C18H19NO | 265.36 | 160 | 91 | 161 | 7.83 | show | GQCCTZGWWWUYLS-UHFFFAOYSA-N | test purchase | 2020-12-18 | National Forensic Laboratory (NFL), Slovenia | 2200-20 | |||
| Others | Tetracaine | ![]() | 2‐(dimethylamino)ethyl 4‐(butylamino)benzoate | 4-(butylamino)-benzoic acid, 2-(dimethylamino)ethyl ester | C15H24N2O2 | 264.37 | 58 | 71 | 176 | 8.41 | show | GKCBAIGFKIBETG-UHFFFAOYSA-N | RM-reference material | 2021-01-13 | National Forensic Laboratory (NFL), Slovenia | 2202-20 | ||
| Cathinones | 4F-3Me-alpha-PVP | ![]() | 1‐(4‐fluoro‐3‐methylphenyl)‐2‐(pyrrolidin‐1‐yl)pentan‐1‐one | 4F-3Me-α-PVP; 4F-3-methyl-α-PVP; 4-fluoro-3-methyl-α-PVP; MFPVP | C16H22FNO | 263.36 | 126 | 127 | 109 | 6.09 | show | LFTWWOQOBQFPAT-UHFFFAOYSA-N | RM-reference material | 2021-01-13 | National Forensic Laboratory (NFL), Slovenia | 2204-20 | ||
| Others | SL-164 | ![]() | 5‐chloro‐3‐(4‐chloro‐2‐methylphenyl)‐2‐methyl‐3,4‐dihydroquinazolin‐4‐one | 5-chloro-3-(4-chloro-2-methylphenyl)-2-methyl-4(3H)-quinazolinone; Dicloqualone | C16H12Cl2N2O | 319.19 | 303 | 305 | 89 | 10.11 | show | KUIHLOHNUGOCTO-UHFFFAOYSA-N | RM-reference material | 2021-01-14 | National Forensic Laboratory (NFL), Slovenia | 2205-20 | ||
| Opioids | Etazene | ![]() | (2‐{2‐[(4‐ethoxyphenyl)methyl]‐1H‐1,3‐benzodiazol‐1‐yl}ethyl)diethylamine | 2-(2-(4-ethoxybenzyl)-1H-benzo[d]imidazol-1-yl)-N,N-diethylethan-1-amine; Etodesnitazene | C22H29N3O | 351.49 | 86 | 107 | 87 | 11.51 | show | BMLPNUNXHUGDOI-UHFFFAOYSA-N | RM-reference material | 2021-01-14 | National Forensic Laboratory (NFL), Slovenia | 2206-20 | ||
| Opioids | Furanyl UF-17 | ![]() | N‐[2‐(dimethylamino)cyclohexyl]‐N‐phenylfuran‐2‐carboxamide | N-[2-(dimethylamino)cyclohexyl]-N-phenyl-furan-2-carboxamide | C19H24N2O2 | 312.41 | 125 | 84 | 95 | 8.70 | show | OSFBKUBOZUWERW-UHFFFAOYSA-N | RM-reference material | 2021-01-14 | National Forensic Laboratory (NFL), Slovenia | 2207-20 | ||
| Arylalkylamines | Mephedrene | ![]() | methyl[1‐(5‐methylthiophen‐2‐yl)propan‐2‐yl]amine | N-methyl-1-(5-methyl-2-thienyl)propan-2-amine; 5-MMPA | C9H15NS | 169.29 | 58 | 111 | 59 | 2.75 | show | HZICDJQMPRFRKC-UHFFFAOYSA-N | RM-reference material | 2021-01-14 | National Forensic Laboratory (NFL), Slovenia | 2208-20 | ||
| Cannabinoids | Cumyl-CBMICA | ![]() | 1‐(cyclobutylmethyl)‐N‐(2‐phenylpropan‐2‐yl)‐1H‐indole‐3‐carboxamide | C23H26N2O | 346.47 | 212 | 228 | 144 | 13.80 | show | INXXQNIOWMOYEJ-UHFFFAOYSA-N | RM-reference material | 2021-01-14 | National Forensic Laboratory (NFL), Slovenia | 2209-20 | |||
| Phenethylamines | 2-PEA | ![]() | 2‐phenylethan‐1‐amine | Benzeneethanamine; 2-Phenethylamine | C8H11N | 121.18 | 30 | 91 | 65 | 2.27 | show | BHHGXPLMPWCGHP-UHFFFAOYSA-N | RM-reference material | 2021-01-14 | National Forensic Laboratory (NFL), Slovenia | 2210-20 | ||
| Indolalkylamines (fe tryptamines) | 4-AcO-MET | ![]() | 3‐{2‐[ethyl(methyl)amino]ethyl}‐1H‐indol‐4‐yl acetate | 4-Acetoxy-N-ethyl-N-methyltryptamine; 4-Acetoxy MET | C15H20N2O2 | 260.34 | 72 | 73 | 146 | 8.25 | show | OMDKHOOGGJRLLX-UHFFFAOYSA-N | test purchase | 2021-02-10 | National Forensic Laboratory (NFL), Slovenia | 2226-20 | ||
| Indolalkylamines (fe tryptamines) | 4-HO-MALT | ![]() | 3‐{2‐[methyl(prop‐2‐en‐1‐yl)amino]ethyl}‐1H‐indol‐4‐ol | 4-hydroxy MALT; 3‐{2‐[allyl(methyl)amino]ethyl}‐1H‐indol‐4‐ol | C14H18N2O | 230.31 | 84 | 230 | 146 | 7.89 | show | NWEWNVPCYZONHK-UHFFFAOYSA-N | test purchase | in fumarate salt form | 2021-02-26 | National Forensic Laboratory (NFL), Slovenia | 2224-20 | |
| Indolalkylamines (fe tryptamines) | MiPT | ![]() | [2‐(1H‐indol‐3‐yl)ethyl](methyl)(propan‐2‐yl)amine | N-(2‐(1H‐indol‐3‐yl)ethyl)-N-methylpropan‐2‐amine; N-Methyl-N-isopropyltryptamine | C14H20N2 | 216.33 | 86 | 130 | 144 | 6.70 | show | KTQJVAJLJZIKKD-UHFFFAOYSA-N | test purchase | 2021-02-26 | National Forensic Laboratory (NFL), Slovenia | 2225-20 | ||
| Others | Dimethocaine | ![]() | (3-diethylamino-2,2-dimethylpropyl)-4-aminobenzoate | larocaine, DMC | C16H26N2O2 | 278.39 | 86 | 120 | 8.31 | show | OWQIUQKMMPDHQQ-UHFFFAOYSA-N | analytical report | Report received 16. 12. 2020 | 2021-03-08 | Hungarian Institute for Forensic Sciences, Budapest, Hungary | RPT-HIFS-025 | ||
| Cannabinoids | 5F-EMB-PICA | ![]() | ethyl (2S)‐2‐{[1‐(5‐fluoropentyl)‐1H‐indol‐3‐yl]formamido}‐3‐methylbutanoate | ethyl (1-(5-fluoropentyl)-1H-indole-3-carbonyl)-L-valinate; EMB-2201 | C21H29FN2O3 | 376.47 | 232 | 144 | 248 | 12.11 | show | WPRKGJGOLPGBMG-IBGZPJMESA-N | RM-reference material | 2021-03-10 | National Forensic Laboratory (NFL), Slovenia | 2211-20 | ||
| Indolalkylamines (fe tryptamines) | 5-MeO-DBT | ![]() | dibutyl[2‐(5‐methoxy‐1H‐indol‐3‐yl)ethyl]amine | N,N-dibutyl-5-Methoxytryptamine; 5-MeO BET; 5-methoxy DBT; 5-methoxy-N,N-Dibutyltryptamine; N,N-dibutyl-5-methoxy-1H-indole-3-ethanamine | C19H30N2O | 302.46 | 142 | 100 | 160 | 9.49 | show | WVGCRISHWANOTO-UHFFFAOYSA-N | RM-reference material | 2021-03-10 | National Forensic Laboratory (NFL), Slovenia | 2212-20 | ||
| Benzodiazepines | Clozapine | ![]() | 6‐chloro‐10‐(4‐methylpiperazin‐1‐yl)‐2,9‐diazatricyclo[9.4.0.03,8]pentadeca‐1(15),3,5,7,9,11,13‐heptaene | HF 1854 | C18H19ClN4 | 326.83 | 243 | 256 | 192 | 12.07 | show | QZUDBNBUXVUHMW-UHFFFAOYSA-N | RM-reference material | 2021-03-10 | National Forensic Laboratory (NFL), Slovenia | 2214-20 | ||
| Cathinones | N-iP Hexylone | ![]() | 1‐(2H‐1,3‐benzodioxol‐5‐yl)‐2‐[(propan‐2‐yl)amino]hexan‐1‐one | 1-(1,3-benzodioxol-5-yl)-2-[(1-methylethyl)amino]-1-hexanone; N-isopropyl Hexylone | C16H23NO3 | 277.36 | 128 | 86 | 149 | 7.12 | show | GWWYRQJPDDPWOJ-UHFFFAOYSA-N | RM-reference material | 2021-03-10 | National Forensic Laboratory (NFL), Slovenia | 2216-20 | ||
| Phenethylamines | N,N-DMPEA | ![]() | dimethyl(2‐phenylethyl)amine | N,N-Dimethylphenethylamine; N,N-dimethyl-benzeneethanamine | C10H15N | 149.24 | 58 | 42 | 91 | 2.42 | show | TXOFSCODFRHERQ-UHFFFAOYSA-N | RM-reference material | 2021-03-10 | National Forensic Laboratory (NFL), Slovenia | 2217-20 | ||
| Cannabinoids | MDMB-CHM7AICA | ![]() | methyl (2S)‐2‐{[1‐(cyclohexylmethyl)‐1H‐pyrrolo[2,3‐b]pyridin‐3‐yl]formamido}‐3,3‐dimethylbutanoate | methyl (S)-2-(1-(cyclohexylmethyl)-1H-pyrrolo[2,3-b]pyridine-3-carboxamido)-3,3-dimethylbutanoate | C22H31N3O3 | 385.51 | 145 | 241 | 297 | 12.56 | show | LPQOUUHLFALSOP-GOSISDBHSA-N | RM-reference material | 2021-03-16 | National Forensic Laboratory (NFL), Slovenia | 2221-20 | ||
| Cathinones | N-iP Hexedrone | ![]() | 1‐phenyl‐2‐[(propan‐2‐yl)amino]hexan‐1‐one | 2-[(1-methylethyl)amino]-1-phenyl-1-hexanone; 2-(Isopropylamino)-hexanophenone; α-Isopropylaminohexanophenone; N-isopropyl Hexedrone; N-Isopropylhexanophenone | C15H23NO | 233.35 | 128 | 86 | 77 | 4.80 | show | AZXKALLRCOCGBV-UHFFFAOYSA-N | RM-reference material | 2021-03-16 | National Forensic Laboratory (NFL), Slovenia | 2222-20 | ||
| Cannabinoids | Benzyl-4-CN_BUTINACA | ![]() | N‐benzyl‐1‐(4‐cyanobutyl)‐1H‐indazole‐3‐carboxamide | Benzyl-4CN-BINACA; Benzyl-4-cyano BUTINACA | C20H20N4O | 332.41 | 106 | 131 | 91 | 14.08 | show | JISDUTVCVJSDFN-UHFFFAOYSA-N | RM-reference material | 2021-03-16 | National Forensic Laboratory (NFL), Slovenia | 2223-20 | ||
| Cannabinoids | MDMB-FUB7AICA | ![]() | methyl (2S)‐2‐({1‐[(4‐fluorophenyl)methyl]‐1H‐pyrrolo[2,3‐b]pyridin‐3‐yl}formamido)‐3,3‐dimethylbutanoate | methyl (S)-2-(1-(4-fluorobenzyl)-1H-pyrrolo[2,3-b]pyridine-3-carboxamido)-3,3-dimethylbutanoate | C22H24FN3O3 | 397.45 | 253 | 109 | 341 | 12.41 | show | HLKNMMBZMILVCN-GOSISDBHSA-N | RM-reference material | 2021-03-16 | National Forensic Laboratory (NFL), Slovenia | 2230-21 | ||
| Arylcyclohexylamines | N-Boc Norketamine | ![]() | tert‐butyl N‐[1‐(2‐chlorophenyl)‐2‐oxocyclohexyl]carbamate | N-[1-(2-chlorophenyl)-2-oxocyclohexyl]-carbamic acid, 1,1-dimethylethyl ester | C17H22ClNO3 | 323.82 | 204 | 166 | 57 | 7.81 | show | VRZJVQFAJVIUAX-UHFFFAOYSA-N | RM-reference material | 2021-03-16 | National Forensic Laboratory (NFL), Slovenia | 2215-20 | ||
| Indolalkylamines (fe tryptamines) | 5Cl-alpha-MT | 1‐(5‐chloro‐1H‐indol‐3‐yl)propan‐2‐amine | 5-Chloro-αMT | C11H13ClN2 | 208.69 | 165 | 164 | 167 | 7.02 | show | QMKOQSCXSYPIPB-UHFFFAOYSA-N | test purchase | 2021-03-25 | National Forensic Laboratory (NFL), Slovenia | 2232-21 | |||
| Others | 4Br-MAR | ![]() | 5‐(4‐bromophenyl)‐4‐methyl‐4,5‐dihydro‐1,3‐oxazol‐2‐ amine | 4B-MAR; para-bromo-4methylaminorex; 4'-bromo-4-methylaminorex; 5-(4-bromophenyl)-4-methyl-4,5-dihydrooxazol-2-amine | C10H11BrN2O | 255.16 | 70 | 69 | 212 | 6.10 | show | TUHDNALAVIDYHT-UHFFFAOYSA-N | test purchase | 2021-04-16 | National Forensic Laboratory (NFL), Slovenia | 2231-21 | ||
| Others | 4Cl-MAR | ![]() | 5‐(4‐chlorophenyl)‐4‐methyl‐4,5‐dihydro‐1,3‐oxazol‐2‐ amine | 4C-MAR; para-chloro-4methylaminorex; 4'-chloro-4-methylaminorex; 5-(4-chlorophenyl)-4-methyl-4,5-dihydrooxazol-2-amine | C10H11ClN2O | 210.66 | 70 | 69 | 166 | 5.42 | show | PEMJVPLFSLEVII-UHFFFAOYSA-N | test purchase | 2021-04-16 | National Forensic Laboratory (NFL), Slovenia | 2233-21 | ||
| Cathinones | 4-Dimethylamino-N-benzylcathinone | ![]() | 2‐(benzylamino)‐1‐[4‐(dimethylamino)phenyl]propan‐1‐one | C18H22N2O | 282.39 | 91 | 134 | 148 | 9.87 | show | MAQBPZMTKYRRPQ-UHFFFAOYSA-N | RM-reference material | 2021-06-04 | National Forensic Laboratory (NFL), Slovenia | 2218-20 | |||
| Phenethylamines | N-1-methylpentyl-3,4-DMA | ![]() | [1‐(3,4‐dimethoxyphenyl)propan‐2‐yl](hexan‐2‐yl)amine | N-(1-(3,4-dimethoxyphenyl)propan-2-yl)hexan-2-amine; N-(1-methylpentyl)-3,4-dimethoxy-α-methyl Phenethylamine | C17H29NO2 | 279.42 | 128 | 151 | 129 | 6.77 | show | YSYJLXYYESFVTM-UHFFFAOYSA-N | RM-reference material | 2021-06-04 | National Forensic Laboratory (NFL), Slovenia | 2219-20 | ||
| Indolalkylamines (fe tryptamines) | 4-HO-DPT | ![]() | 3‐[2‐(dipropylamino)ethyl]‐1H‐indol‐4‐ol | dipropyl-4-hydroxytryptamine; deprocin | C16H24N2O | 260.38 | 114 | 115 | 146 | 8.70 | show | MZLRMPTVOVJXLW-UHFFFAOYSA-N | test purchase | 2021-06-15 | National Forensic Laboratory (NFL), Slovenia | 2237-21 | ||
| Benzodiazepines | alpha-hydroxy Flualprazolam | ![]() | [12‐chloro‐9‐(2‐fluorophenyl)‐2,4,5,8‐tetraazatricyclo[8.4.0.02,6]tetradeca‐1(14),3,5,8,10,12‐hexaen‐3‐yl]methanol | 8-chloro-6-(2-fluorophenyl)-4H-[1,2,4]triazolo[4,3-a][1,4]benzodiazepine-1-methanol; α-hydroxy Flualprazolam | C17H12ClFN4O | 342.76 | 399 | 401 | 414 | 13.14 | show | GOSZRMNDJKRVJJ-UHFFFAOYSA-N | RM-reference material | for GC-MS compound was derivatized by MSTFA: GC-RT and MS spectrum refer to TMS derivative | 2021-07-06 | National Forensic Laboratory (NFL), Slovenia | 2220-20 | |
| Cannabinoids | 4-CN-Cumyl-BUTCZCA | 9‐(4‐cyanobutyl)‐N‐(2‐phenylpropan‐2‐yl)‐9H‐carbazole‐3‐carboxamide | CUMYL-4CN-BCZCA; CUMYL-4-cyano BUTCZCA; CUMYL-CYBCZCA | C27H27N3O | 409.53 | 275 | 223 | 179 | 23.46 | show | ZSRKLDXCDUXUKY-UHFFFAOYSA-N | RM-reference material | 2021-07-09 | National Forensic Laboratory (NFL), Slovenia | 2213-20 | |||
| Arylcyclohexylamines | HXE | ![]() | 2-(ethylamino)-2-(3-hydroxyphenyl)-cyclohexanone | O-desmethyl Methoxetamine Hydroxetamine; 3-hydroxy-2-oxo-PCE; 3-HO-2'-okso-PCE | C14H19NO2 | 233.31 | 176 | 205 | 120 | 7.02 | show | CQERUJSORROCGH-UHFFFAOYSA-N | test purchase | 2021-07-09 | National Forensic Laboratory (NFL), Slovenia | 2266-21 | ||
| Opioids | Etonitazepyne | ![]() | 2‐[(4‐ethoxyphenyl)methyl]‐5‐nitro‐1‐[2‐(pyrrolidin‐1‐yl)ethyl]‐1H‐1,3‐benzodiazole | N-Pyrrolidino Etonitazene | C22H26N4O3 | 394.48 | 84 | 107 | 85 | 18.21 | show | LQZWZCJCEPUKCJ-UHFFFAOYSA-N | test purchase | in HCl salt form | 2021-07-09 | National Forensic Laboratory (NFL), Slovenia | 2256-21 | |
| Opioids | Butonitazene | ![]() | (2‐{2‐[(4‐butoxyphenyl)methyl]‐5‐nitro‐1H‐1,3‐benzodiazol‐1‐yl}ethyl)diethylamine | C24H32N4O3 | 424.55 | 86 | 107 | 87 | 18.71 | show | UZZPOLCDCVWLAZ-UHFFFAOYSA-N | test purchase | in HCl salt form | 2021-07-09 | National Forensic Laboratory (NFL), Slovenia | 2255-21 | ||
| Indolalkylamines (fe tryptamines) | 5F-AMT | ![]() | 1‐(5‐fluoro‐1H‐indol‐3‐yl)propan‐2‐amine | 5-fluoro α-methyl Tryptamine; α-methyl-5-Fluorotryptamine; 5-fluoro-α-methyl-1H-indole-3-ethanamine | C11H13FN2 | 192.24 | 149 | 44 | 148 | 5.66 | show | CTGFDWBZMCPVED-UHFFFAOYSA-N | RM-reference material | 2021-07-23 | National Forensic Laboratory (NFL), Slovenia | 2246-21 | ||
| Cathinones | 4-Me-NiPP | ![]() | 1‐(4‐methylphenyl)‐2‐[(propan‐2‐yl)amino]pentan‐1‐one | 4-methyl-α-Isopropylaminopentiophenone; 4-methyl-N-isopropyl Pentedrone; 4-methyl 2-IPP; 4-methyl IPV; 4-methyl NiPP; 4-methyl NPP; 2-[(1-methylethyl)amino]-1-(4-methylphenyl)-1-pentanone; | C15H23NO | 233.35 | 114 | 72 | 91 | 4.99 | show | ORANKUVKNRXMTQ-UHFFFAOYSA-N | RM-reference material | 2021-07-23 | National Forensic Laboratory (NFL), Slovenia | 2247-21 | ||
| Arylalkylamines | Ethiopropamine | ![]() | ethyl[1‐(thiophen‐2‐yl)propan‐2‐yl]amine | EPA; 2-EPA; N-ethyl-α-methyl-2-thiopheneethanamine | C9H15NS | 169.29 | 72 | 44 | 97 | 2.53 | show | COWHJKNRHICALL-UHFFFAOYSA-N | RM-reference material | 2021-07-23 | National Forensic Laboratory (NFL), Slovenia | 2248-21 | ||
| Cannabinoids | 4F-ABUTINACA | ![]() | N‐(adamantan‐1‐yl)‐1‐(4‐fluorobutyl)‐1H‐indazole‐3‐carboxamide | 1-(4-fluorobutyl)-N-tricyclo[3.3.1.13,7]dec-1-yl-1H-indazole-3-carboxamide; N-(4-fluorobutyl) APINACA; 4-fluoro ABINACA; 4-fluoro ABUTINACA | C22H28FN3O | 369.48 | 219 | 145 | 341 | 14.36 | show | CBDPDVXPZYOIRM-UHFFFAOYSA-N | RM-reference material | 2021-07-29 | National Forensic Laboratory (NFL), Slovenia | 2240-21 | ||
| Cathinones | 4-MEB | ![]() | 2‐(ethylamino)‐1‐(4‐methylphenyl)butan‐1‐one | 2-(ethylamino)-1-(4-methylphenyl)-1-butanone; 4-methylethylbuphedrone; 4-Methyl-α-ethylaminobutiophenone | C13H19NO | 205.30 | 86 | 91 | 58 | 4.30 | show | ZTIPDEPKTDPNQE-UHFFFAOYSA-N | RM-reference material | 2021-07-29 | National Forensic Laboratory (NFL), Slovenia | 2243-21 | ||
| Indolalkylamines (fe tryptamines) | 2-Me-DMT | ![]() | dimethyl[2‐(2‐methyl‐1H‐indol‐3‐yl)ethyl]amine | N,N-Dimethyl-2-(2-methylindol-3-yl)ethylamine; N,N,2-trimethyl-1H-indole-3-ethanamine; 2-methyl-N,N-Dimethyltryptamine; 2-methyl DMT | C13H18N2 | 202.30 | 58 | 144 | 143 | 6.03 | show | NDGCOWDSLVNLGE-UHFFFAOYSA-N | RM-reference material | 2021-07-29 | National Forensic Laboratory (NFL), Slovenia | 2244-21 | ||
| Cannabinoids | AFUB7AICA | ![]() | N‐(adamantan‐1‐yl)‐1‐[(4‐fluorophenyl)methyl]‐1H‐pyrrolo[2,3‐b]pyridine‐3‐carboxamide | N-((3s,5s,7s)-adamantan-1-yl)-1-(4-fluorobenzyl)-1H-pyrrolo[2,3-b]pyridine-3-carboxamide; A-FUB7AICA; Adamantyl-FUB7AICA | C25H26FN3O | 403.50 | 109 | 253 | 403 | 18.27 | show | LSNKFKFKEUNOLD-UHFFFAOYSA-N | RM-reference material | 2021-07-29 | National Forensic Laboratory (NFL), Slovenia | 2245-21 | ||
| Indolalkylamines (fe tryptamines) | 4-AcO-MALT | ![]() | 3‐{2‐[methyl(prop‐2‐en‐1‐yl)amino]ethyl}‐1H‐indol‐4‐yl acetate | 3-(2-(allyl(methyl)amino)ethyl)-1H-indol-4-yl acetate; 4-acetoxy MALT | C16H20N2O2 | 272.35 | 84 | 146 | 85 | 8.68 | show | PGBFYUDKPCYIEB-UHFFFAOYSA-N | RM-reference material | 2021-07-30 | National Forensic Laboratory (NFL), Slovenia | 2239-21 | ||
| Cathinones | 4-Chlorocathinone | ![]() | 2‐amino‐1‐(4‐chlorophenyl)propan‐1‐one | 2-amino-4'-Chloropropiophenone; 4'-chloro-2-Aminopropiophenone; p-Chlorocathinone; para-Chlorocathinone; 2-amino-1-(4-chlorophenyl)-1-propanone | C9H10ClNO | 183.64 | 44 | 111 | 75 | 3.63 | show | PWNZKQBNTIOCAT-UHFFFAOYSA-N | RM-reference material | 2021-07-30 | National Forensic Laboratory (NFL), Slovenia | 2242-21 | ||
| Cannabinoids | 4F-EMB-BUTICA | ![]() | ethyl (2S)‐2‐{[1‐(4‐fluorobutyl)‐1H‐indol‐3‐yl]formamido}‐3‐methylbutanoate | ethyl (1-(4-fluorobutyl)-1H-indole-3-carbonyl)-L-valinate; ethyl (1-(4-fluorobutyl)-1H-indole-3-carbonyl)-L-valinate; 4-fluoro EMB-BICA | C20H27FN2O3 | 362.44 | 218 | 234 | 144 | 11.42 | show | YRVNWHXSMRQPFR-SFHVURJKSA-N | RM-reference material | 2021-07-30 | National Forensic Laboratory (NFL), Slovenia | 2250-21 | ||
| Indolalkylamines (fe tryptamines) | 4-HO-MALT | ![]() | 3‐{2‐[methyl(prop‐2‐en‐1‐yl)amino]ethyl}‐1H‐indol‐4‐ol | 3-(2-(allyl(methyl)amino)ethyl)-1H-indol-4-ol; 4-hydroxy MALT; 4-OH MALT | C14H18N2O | 230.31 | 84 | 230 | 146 | 7.93 | show | NWEWNVPCYZONHK-UHFFFAOYSA-N | RM-reference material | in base form | 2021-08-02 | National Forensic Laboratory (NFL), Slovenia | 2238-21 | |
| Cannabinoids | THQ-PINACA | ![]() | 1‐(1‐pentyl‐1H‐indazole‐3‐carbonyl)‐1,2,3,4‐tetrahydroquinoline | (3,4-dihydroquinolin-1(2H)-yl)(1-pentyl-1H-indazol-3-yl)methanone; SGT-88 | C22H25N3O | 347.46 | 215 | 132 | 145 | 12.55 | show | BHNGHAHGIHEHPX-UHFFFAOYSA-N | RM-reference material | 2021-08-02 | National Forensic Laboratory (NFL), Slovenia | 2249-21 | ||
| Cannabinoids | 4CN-MMB-BUTINACA | ![]() | methyl (2S)‐2‐{[1‐(4‐cyanobutyl)‐1H‐indazol‐3‐yl]formamido}‐3‐methylbutanoate | methyl (1-(4-cyanobutyl)-1H-indazole-3-carbonyl)-L-valinate; MMB-4CN-BUTINACA; 4-CN MMB-BINACA; AMB-4CN-BUTINACA; 4CN-AMB-BUTINACA | C19H24N4O3 | 356.43 | 226 | 297 | 145 | 11.75 | show | WROCSMZNSLKYDI-INIZCTEOSA-N | RM-reference material | 2021-08-02 | National Forensic Laboratory (NFL), Slovenia | 2958-21 | ||
| Opioids | N-Pyrrolidino Etonitazene | ![]() | 2‐[(4‐ethoxyphenyl)methyl]‐5‐nitro‐1‐[2‐(pyrrolidin‐1‐yl)ethyl]‐1H‐1,3‐benzodiazole | 2-(4-ethoxybenzyl)-5-nitro-1-(2-(pyrrolidin-1-yl)ethyl)-1H-benzo[d]imidazole; Etonitazepyne | C22H26N4O3 | 394.48 | 84 | 107 | 85 | 18.26 | show | LQZWZCJCEPUKCJ-UHFFFAOYSA-N | RM-reference material | in base form | 2021-08-02 | National Forensic Laboratory (NFL), Slovenia | 2959-21 | |
| Opioids | Butonitazene | ![]() | (2‐{2‐[(4‐butoxyphenyl)methyl]‐5‐nitro‐1H‐1,3‐benzodiazol‐1‐yl}ethyl)diethylamine | 2-[(4-butoxyphenyl)methyl]-N,N-diethyl-5-nitro-1H-benzimidazole-1-ethanamine; Butoxynitazene | C24H32N4O3 | 424.55 | 86 | 107 | 87 | 18.71 | show | UZZPOLCDCVWLAZ-UHFFFAOYSA-N | RM-reference material | in base form | 2021-08-06 | National Forensic Laboratory (NFL), Slovenia | 2267-21 | |
| Cannabinoids | ADB-4en-PINACA | ![]() | 3,3‐dimethyl‐2‐{[1‐(pent‐4‐en‐1‐yl)‐1H‐indazol‐3‐yl]formamido}butanamide | N-(1-amino-3,3-dimethyl-1-oxobutan-2-yl)-1-(pent-4-en-1-yl)-1H-indazole-3-carboxamide; ADMB-4en-PINACA; ADB-PENINACA | C19H26N4O2 | 342.44 | 213 | 298 | 145 | 11.13 | show | NXDLAZXBALPFSN-UHFFFAOYSA-N | RM-reference material | 2021-08-06 | National Forensic Laboratory (NFL), Slovenia | 2268-21 | ||
| Cannabinoids | 4F-EDMB-BUTINACA | ![]() | ethyl (2S)‐2‐{[1‐(4‐fluorobutyl)‐1H‐indazol‐3‐yl]formamido}‐3,3‐dimethylbutanoate | ethyl (S)-2-(1-(4-fluorobutyl)-1H-indazole-3-carboxamido)-3,3-dimethylbutanoate; 4-fluoro EDMB-BUTINACA | C20H28FN3O3 | 377.46 | 219 | 145 | 304 | 10.35 | show | TZDMWTGIOFQOFD-QGZVFWFLSA-N | RM-reference material | 2021-08-06 | National Forensic Laboratory (NFL), Slovenia | 2269-21 | ||
| Cannabinoids | JWH-184 | ![]() | 3‐[(4‐methylnaphthalen‐1‐yl)methyl]‐1‐pentyl‐1H‐indole | 3-[(4-methyl-1-naphthalenyl)methyl]-1-pentyl-1H-indole | C25H27N | 341.50 | 341 | 284 | 342 | 12.89 | show | FSOLXFPDIJJWBM-UHFFFAOYSA-N | RM-reference material | 2021-09-07 | National Forensic Laboratory (NFL), Slovenia | 2968-21 | ||
| Cannabinoids | MPP-PICA | ![]() | methyl (2S)‐2‐[(1‐pentyl‐1H‐indol‐3‐yl)formamido]‐3‐phenylpropanoate | methyl (1-pentyl-1H-indole-3-carbonyl)-L-phenylalaninate | C24H28N2O3 | 392.50 | 214 | 230 | 144 | 15.64 | show | UQARIILONQLMLN-NRFANRHFSA-N | RM-reference material | 2021-09-07 | National Forensic Laboratory (NFL), Slovenia | 2970-21 | ||
| Cannabinoids | iPDMB-FUBINACA | ![]() | propan‐2‐yl (2S)‐2‐({1‐[(4‐fluorophenyl)methyl]‐1H‐indazol‐3‐yl}formamido)‐3,3‐dimethylbutanoate | isopropyl (S)-2-(1-(4-fluorobenzyl)-1H-indazole-3-carboxamido)-3,3-dimethylbutanoate | C24H28FN3O3 | 425.50 | 253 | 109 | 338 | 12.25 | show | PGZWSBQXIISUMA-OAQYLSRUSA-N | RM-reference material | 2021-09-07 | National Forensic Laboratory (NFL), Slovenia | 2971-21 | ||
| Arylcyclohexylamines | Methoxmetamine | ![]() | 2‐(3‐methoxyphenyl)‐2‐(methylamino)cyclohexan‐1‐one | 2-(3-methoxyphenyl)-2-(methylamino)-cyclohexanone; 3-MeO-2'-OxO-PCM; 3-methoxy-2-oxo-PCM; MMXE; MXM | C14H19NO2 | 233.31 | 176 | 205 | 134 | 6.31 | show | ZGQWDAOLJNAADS-UHFFFAOYSA-N | RM-reference material | 2021-09-07 | National Forensic Laboratory (NFL), Slovenia | 2972-21 | ||
| Cathinones | Dipyanone | 4,4‐diphenyl‐6‐(pyrrolidin‐1‐yl)heptan‐3‐one | Dipipanone pyrrolidinyl | C23H29NO | 335.49 | 98 | 99 | 56 | 9.39 | show | LJIUPFDRFKFNJE-UHFFFAOYSA-N | test purchase | 2021-09-23 | National Forensic Laboratory (NFL), Slovenia | 2955-21 | |||
| Others | 3-CPM | 2‐(3‐chlorophenyl)‐3‐methylmorpholine | 3-Chlorophenmetrazine, 3-Chlorinephenmetrazine | C11H14ClNO | 211.69 | 71 | 42 | 56 | 4.73 | show | BOFUZZAQNVYZFF-UHFFFAOYSA-N | test purchase | 2021-09-28 | National Forensic Laboratory (NFL), Slovenia | 2956-21 | |||
| Indolalkylamines (fe tryptamines) | AL-LAD | ![]() | N,N‐diethyl‐6‐(prop‐2‐en‐1‐yl)‐6,11‐diazatetracyclo[7.6.1.02,7.012,16]hexadeca‐1(16),2,9,12,14‐pentaene‐4‐carboxamide | N,N-diethyl-7-prop-2-enyl-6,6a,8,9-tetrahydro-4H-indolo[4,3-fg]quinoline-9-carboxamide; 6-allyl-6-nor-lysergic acid diethylamide; 6-allyl-N,N-dietyl-9,10-didehydroergolin-8-karboxamid; 6-allyl-6-nor-LSD | C22H27N3O | 349.48 | 207 | 181 | 349 | 15.92 | show | JCQLEPDZFXGHHQ-UHFFFAOYSA-N | test purchase | 2021-10-18 | National Forensic Laboratory (NFL), Slovenia | 3017-21 | ||
| Cannabinoids | Ethylbenzyl-PeGACLONE | ![]() | 5‐pentyl‐2‐(1‐phenylpropyl)‐1H,2H,5H‐pyrido[4,3‐b]indol‐1‐one | CUMYL PeGACLONE Ethylbenzyl isomer; 5-pentyl-2-(1-phenylpropyl)-2,5-dihydro-1H-pyrido[4,3-b]indol-1-one | C25H28N2O | 372.51 | 254 | 197 | 91 | 16.37 | show | OYGBCKBLQHHWFJ-UHFFFAOYSA-N | RM-reference material | 2021-10-25 | National Forensic Laboratory (NFL), Slovenia | 2991-21 | ||
| Phenethylamines | 2C-I-FLY_2992 | ![]() | 2‐{8‐iodo‐4,10‐dioxatricyclo[7.3.0.03,7]dodeca‐1,3(7),8‐trien‐2‐yl}ethan‐1‐amine | 2,3,6,7-tetrahydro-8-iodo-benzo[1,2-b:4,5-b′]difuran-4-ethanamine | C12H14INO2 | 331.15 | 302 | 331 | 301 | 8.78 | show | SDULYHWSVCNNAO-UHFFFAOYSA-N | RM-reference material | 2021-10-25 | National Forensic Laboratory (NFL), Slovenia | 2992-21 | ||
| Opioids | 4-TFM U-47700 | ![]() | N‐[(1R,2R)‐2‐(dimethylamino)cyclohexyl]‐N‐methyl‐4‐(trifluoromethyl)benzamide | 4-(Trifluoromethyl) U-47700 | C17H23F3N2O | 328.38 | 84 | 125 | 145 | 7.29 | show | CGXGNWSPUTZFPN-HUUCEWRRSA-N | RM-reference material | 2021-10-25 | National Forensic Laboratory (NFL), Slovenia | 2993-21 | ||
| Cannabinoids | EDMB-PINACA | ![]() | ethyl (2S)‐3,3‐dimethyl‐2‐[(1‐pentyl‐1H‐indazol‐3‐yl)formamido]butanoate | ethyl (S)-3,3-dimethyl-2-(1-pentyl-1H-indazole-3-carboxamido)butanoate | C21H31N3O3 | 373.50 | 215 | 145 | 300 | 10.38 | show | HKKKXLZFEZHHFC-GOSISDBHSA-N | RM-reference material | 2021-10-25 | National Forensic Laboratory (NFL), Slovenia | 2994-21 | ||
| Cannabinoids | ADB-HEXINACA | ![]() | (2S)‐2‐[(1‐hexyl‐1H‐indazol‐3‐yl)formamido]‐3,3‐dimethylbutanamide | (S)-N-(1-amino-3,3-dimethyl-1-oxobutan-2-yl)-1-hexyl-1H-indazole-3-carboxamide; ADB-HINACA | C20H30N4O2 | 358.49 | 229 | 314 | 145 | 11.76 | show | PZMLDAGKYPJWHJ-QGZVFWFLSA-N | RM-reference material | 2021-10-25 | National Forensic Laboratory (NFL), Slovenia | 2995-21 | ||
| Cannabinoids | ADB-PHETINACA | ![]() | (2S)‐3,3‐dimethyl‐2‐{[1‐(2‐phenylethyl)‐1H‐indazol‐3‐yl]formamido}butanamide | (S)-N-(1-amino-3,3-dimethyl-1-oxobutan-2-yl)-1-phenethyl-1H-indazole-3-carboxamide; ADB-PHTINACA | C22H26N4O2 | 378.48 | 249 | 334 | 105 | 14.51 | show | GIUNLIQZFMBOGJ-LJQANCHMSA-N | RM-reference material | 2021-10-25 | National Forensic Laboratory (NFL), Slovenia | 2996-21 | ||
| Indolalkylamines (fe tryptamines) | MALT | ![]() | [2‐(1H‐indol‐3‐yl)ethyl](methyl)(prop‐2‐en‐1‐yl)amine | N-methyl-N-allyl Tryptamine; N-methyl-N-2-propen-1-yl-1H-indole-3-ethanamine | C14H18N2 | 214.31 | 84 | 130 | 77 | 6.70 | show | GXCLVBGFBYZDAG-UHFFFAOYSA-N | RM-reference material | 2021-10-27 | National Forensic Laboratory (NFL), Slovenia | 2997-21 | ||
| Indolalkylamines (fe tryptamines) | PiPT | ![]() | [2‐(1H‐indol‐3‐yl)ethyl](propan‐2‐yl)propylamine | N-(1-methylethyl)-N-propyl-1H-indole-3-ethanamine; N-Isopropyl-N-Propyltryptamine; Propylisopropyltryptamine | C16H24N2 | 244.38 | 114 | 72 | 130 | 7.52 | show | OFXPLOPRCQJJFP-UHFFFAOYSA-N | RM-reference material | 2021-10-27 | National Forensic Laboratory (NFL), Slovenia | 2998-21 | ||
| Cannabinoids | AMP-4en-PINACA | ![]() | (2S)‐2‐{[1‐(pent‐4‐en‐1‐yl)‐1H‐indazol‐3‐yl]formamido}butanamide | (S)-N-(1-amino-1-oxobutan-2-yl)-1-(pent-4-en-1-yl)-1H-indazole-3-carboxamide; ABO-PENINACA; ABO-4en-PINACA | C17H22N4O2 | 314.39 | 213 | 270 | 145 | 10.83 | show | SHELRBQJCJWWQC-ZDUSSCGKSA-N | RM-reference material | 2021-10-27 | National Forensic Laboratory (NFL), Slovenia | 2999-21 | ||
| Cathinones | 3F-NEB | ![]() | 2‐(ethylamino)‐1‐(3‐fluorophenyl)butan‐1‐one | 3-fluoro-N-Ethylbuphedrone; 3-fluoro-α-Ethylaminobutiophenone; 3-fluoro-alpha-Ethylaminobutiophenone | C12H16FNO | 209.26 | 86 | 95 | 58 | 3.39 | show | FLFAFGGBRUXYBD-UHFFFAOYSA-N | RM-reference material | 2021-10-27 | National Forensic Laboratory (NFL), Slovenia | 3000-21 | ||
| Cathinones | 4-Me-N-Propylcathinone | ![]() | 1‐(4‐methylphenyl)‐2‐(propylamino)propan‐1‐one | 1-(4-methylphenyl)-2-(propylamino)-1-propanone; 4-methyl-N-Propylcathinone | C13H19NO | 205.30 | 86 | 44 | 91 | 4.49 | show | HALBJKCZJSCGGE-UHFFFAOYSA-N | RM-reference material | 2021-10-27 | National Forensic Laboratory (NFL), Slovenia | 3001-21 | ||
| Cathinones | Propylcathinone | ![]() | 1‐phenyl‐2‐(propylamino)propan‐1‐one | α-Propylaminopropiophenone; N-Propylcathinone; 1-phenyl-2-(propylamino)-1-propanone | C12H17NO | 191.27 | 86 | 44 | 77 | 3.71 | show | GXPFWFAQFTVCDU-UHFFFAOYSA-N | RM-reference material | 2021-10-27 | National Forensic Laboratory (NFL), Slovenia | 3002-21 | ||
| Arylcyclohexylamines | 4F-deschloroketamine | ![]() | 2‐(4‐fluorophenyl)‐2‐(methylamino)cyclohexan‐1‐one | 2-(4-fluorophenyl)-2-(methylamino)cyclohexanone; 4-FDCK | C13H16FNO | 221.28 | 164 | 122 | 193 | 4.88 | show | GLHWPYBETIKGHM-UHFFFAOYSA-N | RM-reference material | 2021-10-29 | National Forensic Laboratory (NFL), Slovenia | 3003-21 | ||
| Arylcyclohexylamines | 3F-deschloroketamine | ![]() | 2‐(3‐fluorophenyl)‐2‐(methylamino)cyclohexan‐1‐one | 2-(3-fluorophenyl)-2-(methylamino)cyclohexanone; 3-FDCK | C13H16FNO | 221.28 | 164 | 193 | 122 | 4.86 | show | SLRWGPTWJAJHDF-UHFFFAOYSA-N | RM-reference material | 2021-10-29 | National Forensic Laboratory (NFL), Slovenia | 3004-21 | ||
| Benzodiazepines | Flubrotizolam | ![]() | 4‐bromo‐7‐(2‐fluorophenyl)‐13‐methyl‐3‐thia‐1,8,11,12‐tetraazatricyclo[8.3.0.02,6]trideca‐2(6),4,7,10,12‐pentaene | 2-bromo-4-(2-fluorophenyl)-9-methyl-6H-thieno[3,2-f][1,2,4]triazolo[4,3-a][1,4]diazepine | C15H10BrFN4S | 377.24 | 229 | 378 | 376 | 12.54 | show | VOZDBDBHBXLWCG-UHFFFAOYSA-N | RM-reference material | 2021-10-29 | National Forensic Laboratory (NFL), Slovenia | 3006-21 | ||
| Indolalkylamines (fe tryptamines) | 4-HO-MPT | ![]() | 3‐{2‐[methyl(propyl)amino]ethyl}‐1H‐indol‐4‐ol | 4-OH Methylpropyltryptamine; Meprocin; 4-hydroxy-N-methyl-N-Propyltryptamine; 3-[2-(methylpropylamino)ethyl]-1H-indol-4-ol; 4-hydroxy MPT | C14H20N2O | 232.33 | 86 | 232 | 146 | 7.96 | show | XFQDDPQGBLSNCN-UHFFFAOYSA-N | RM-reference material | 2021-10-29 | National Forensic Laboratory (NFL), Slovenia | 3007-21 | ||
| Cathinones | 3-Chlorocathinone | ![]() | 2‐amino‐1‐(3‐chlorophenyl)propan‐1‐one | 2-amino-3'-Chloropropiophenone; 3'-chloro-2-Aminopropiophenone; m-Chlorocathinone; meta-Chlorocathinone; 2-amino-1-(3-chlorophenyl)-1-propanone | C9H10ClNO | 183.64 | 44 | 75 | 111 | 3.58 | show | RDWWHMAISJGIDU-UHFFFAOYSA-N | RM-reference material | 2021-10-29 | National Forensic Laboratory (NFL), Slovenia | 3012-21 | ||
| Arylcyclohexylamines | DMXE | ![]() | 2‐(ethylamino)‐2‐(3‐methylphenyl)cyclohexan‐1‐one | Deoxymethoxetamine; 3D-MXE; 3-Me-2′-oxo-PCE | C15H21NO | 231.34 | 174 | 118 | 160 | 5.63 | show | WIMLPRYZJQNQLE-UHFFFAOYSA-N | test purchase | 2021-11-02 | National Forensic Laboratory (NFL), Slovenia | 3014-21 | ||
| Arylcyclohexylamines | 3-Me-PCP | ![]() | 1-[1-(3-methylphenyl)cyclohexyl]piperidine | 3-methyl-PCP; 3-methyl phencyclidine; 1-[1-(m-tolyl)cyclohexyl]piperidine | C18H27N | 257.42 | 214 | 105 | 256 | 7.04 | show | BMFKUCGCXMDGBK-UHFFFAOYSA-N | test purchase | 2021-11-02 | National Forensic Laboratory (NFL), Slovenia | 3016-21 | ||
| Cannabinoids | EADB-FUBINACA | ![]() | (2S)‐N‐ethyl‐2‐({1‐[(4‐fluorophenyl)methyl]‐1H‐indazol‐3‐yl}formamido)‐3,3‐dimethylbutanamide | (S)-N-(1-(ethylamino)-3,3-dimethyl-1-oxobutan-2-yl)-1-(4-fluorobenzyl)-1H-indazole-3-carboxamide | C23H27FN4O2 | 410.49 | 253 | 109 | 338 | 13.36 | show | WWIKBKIMULPMKD-HXUWFJFHSA-N | RM-reference material | 2021-12-06 | National Forensic Laboratory (NFL), Slovenia | 3005-21 | ||
| Cannabinoids | MDA 19 | ![]() | N'‐[(3Z)‐1‐hexyl‐2‐oxo‐2,3‐dihydro‐1H‐indol‐3‐ylidene]benzohydrazide | (2Z)-2-(1-hexyl-1,2-dihydro-2-oxo-3H-indol-3-ylidene)hydrazide, benzoic acid; BZO-HEXOXIZID; N-[(Z)-(1-hexyl-2-oxo-indolin-3-ylidene)amino]benzamide | C21H23N3O2 | 349.43 | 244 | 105 | 77 | 15.04 | show | ZGQHMZCITJHYOW-QOCHGBHMSA-N | RM-reference material | 2021-12-06 | National Forensic Laboratory (NFL), Slovenia | 3023-21 | ||
| Opioids | PROTONITAZENE | ![]() | diethyl(2‐{5‐nitro‐2‐[(4‐propoxyphenyl)methyl]‐1H‐1,3‐benzodiazol‐1‐yl}ethyl)amine | N,N-diethyl-5-nitro-2-[(4-propoxyphenyl)methyl]-1H-benzimidazole-1-ethanamine; Pronitazene | C23H30N4O3 | 410.52 | 86 | 107 | 87 | 17.68 | show | SJHUJFHOXYDSJY-UHFFFAOYSA-N | RM-reference material | 2021-12-16 | National Forensic Laboratory (NFL), Slovenia | 3024-21 | ||
| Cannabinoids | ADB-5Br-INACA | ![]() | 5-bromo-N-(1-carbamoyl-2,2-dimethyl-propyl)-1H-indazole-3-carboxamide | 2‐[(5‐bromo‐1H‐indazol‐3‐yl)formamido]‐3,3‐dimethylbutanamide; | C14H17BrN4O2 | 353.21 | 86 | 308 | 310 | show | AJGASUCDTSLMNP-UHFFFAOYSA-N | analytical report | 2021-12-17 | Hungarian Institute for Forensic Sciences, Budapest, Hungary | RPT:HIFS-026 | |||
| Cannabinoids | ADB-FUBIATA | ![]() | 2-[[2-[1-[(4-fluorophenyl)methyl]indol-3-yl]acetyl]amino]-3,3-dimethyl-butanamide | ADB-FUB-Indaneacetamide; ADB-FUB-Indolylacetamide; AD-18, FUB-ACADB; 2‐(2‐{1‐[(4‐fluorophenyl)methyl]indol‐3‐ yl}acetamido)‐3,3‐dimethylbutanamide | C23H26FN3O2 | 395.47 | 238 | 109 | 265 | show | KHAUCCNSUMBFOT-UHFFFAOYSA-N | analytical report | 2021-12-17 | Hungarian Institute for Forensic Sciences, Budapest, Hungary | RPT:HIFS-027 | |||
| Cannabinoids | CUMYL-CBMINACA | ![]() | 1‐(cyclobutylmethyl)‐N‐(2‐phenylpropan‐2‐yl)‐1H‐indazole‐3‐carboxamide | C22H25N3O | 347.46 | 213 | 145 | 332 | 11.87 | show | CFMZQSDQCNKGII-UHFFFAOYSA-N | RM-reference material | 2022-01-05 | National Forensic Laboratory (NFL), Slovenia | 2969-21 | |||
| Opioids | N-(1-benzyl-4-piperidyl)-N-benzylpropanamide | ![]() | N‐benzyl‐N‐(1‐benzylpiperidin‐4‐yl)propanamide | N-(phenylmethyl)-N-[1-(phenylmethyl)-4-piperidinyl]-propanamide; N‐benzyl‐N‐(1‐benzylpiperidin‐4‐yl)propanamide; N-(1-benzyl-4-piperidyl)-N-benzylpropanamide; N-(1-Bn-4-piperidyl)-N-Bnpropanamide | C22H28N2O | 336.48 | 91 | 82 | 172 | 11.33 | show | UBXNIOQMIRVNIT-UHFFFAOYSA-N | RM-reference material | 2022-01-06 | National Forensic Laboratory (NFL), Slovenia | 3028-21 | ||
| Others | Acefylline | ![]() | 2‐(1,3‐dimethyl‐2,6‐dioxo‐2,3,6,7‐tetrahydro‐1H‐purin‐7‐yl)acetic acid | 1,2,3,6-tetrahydro-1,3-dimethyl-2,6-dioxo-7H-purine-7-acetic acid; Acephylline; Acetyloxytheophylline; Carboxymethyltheophylline; NSC 52996; Theophylline-7-acetic Acid | C9H10N4O4 | 238.20 | 194 | 109 | 193 | 8.31 | show | HCYFGRCYSCXKNQ-UHFFFAOYSA-N | RM-reference material | 2022-01-06 | National Forensic Laboratory (NFL), Slovenia | 3029-21 | ||
| Others | 3-(2,3-Dimethylphenyl)-2-methyl-4-(3H)-quinazolinone | ![]() | 3‐(2,3‐dimethylphenyl)‐2‐methyl‐3,4‐dihydroquinazolin‐4‐one | 3-(2,3-Dimethylphenyl)-2-methyl-4(3H)-quinazolinone; 3-(2,3-DiMePh)-2-Me-4-(3H)-quinazolinone | C17H16N2O | 264.33 | 249 | 247 | 264 | 8.76 | show | JIKUUQKCXVSNPX-UHFFFAOYSA-N | RM-reference material | typing error in the report corrected 24/03/2022 | 2022-01-06 | 2022-03-24 | National Forensic Laboratory (NFL), Slovenia | 3030-21 |
| Indolalkylamines (fe tryptamines) | 5-MeO-NMT | ![]() | [2‐(5‐methoxy‐1H‐indol‐3‐yl)ethyl](methyl)amine | 5-methoxy-N-methyl Tryptamine; 5-methoxy NMT; 5-methoxy-N-methyl-1H-indole-3-ethanamine | C12H16N2O | 204.27 | 161 | 160 | 146 | 7.05 | show | NFDDCRIHMZGWBP-UHFFFAOYSA-N | RM-reference material | 2022-01-31 | National Forensic Laboratory (NFL), Slovenia | 3031-21 | ||
| Cannabinoids | MDMB-BENZICA | ![]() | methyl (2S)‐2‐[(1‐benzyl‐1H‐indol‐3‐yl)formamido]‐3,3‐dimethylbutanoate | methyl (S)-2-(1-benzyl-1H-indole-3-carboxamido)-3,3-dimethylbutanoate | C23H26N2O3 | 378.47 | 234 | 91 | 235 | 13.63 | show | WKKVRVJYVBMPBK-HXUWFJFHSA-N | RM-reference material | 2022-01-31 | National Forensic Laboratory (NFL), Slovenia | 3032-21 | ||
| Indolalkylamines (fe tryptamines) | Norpsilocin | ![]() | 3‐[2‐(methylamino)ethyl]‐1H‐indol‐4‐ol | 4-hydroxy-N-Methyltryptamine; ω-N-methyl-4-Hydroxytryptamine | C11H14N2O | 190.25 | 147 | 146 | 190 | 7.30 | show | MTJOWJUQGYWRHT-UHFFFAOYSA-N | RM-reference material | 2022-01-31 | National Forensic Laboratory (NFL), Slovenia | 3033-21 | ||
| Cannabinoids | ADB-P7AICA | ![]() | (2S)‐3,3‐dimethyl‐2‐({1‐pentyl‐1H‐pyrrolo[2,3‐b]pyridin‐3‐yl}formamido)butanamide | N-[(1S)-1-(aminocarbonyl)-2,2-dimethylpropyl]-1-pentyl-1H-pyrrolo[2,3-b]pyridine-3-carboxamide | C19H28N4O2 | 344.46 | 215 | 145 | 216 | 11.74 | show | QDZHLYBDQFZWCJ-OAHLLOKOSA-N | RM-reference material | 2022-01-31 | National Forensic Laboratory (NFL), Slovenia | 3034-21 | ||
| Cannabinoids | BZO-4en-POXIZID | ![]() | N'‐[(3Z)‐2‐oxo‐1‐(pent‐4‐en‐1‐yl)‐2,3‐dihydro‐1H‐indol‐3‐ylidene]benzohydrazide | (Z)-N'-(2-oxo-1-(pent-4-en-1-yl)indolin-3-ylidene)benzohydrazide; 4en-pentyl MDA-19; MDA-19 4en-pentyl analogue; BZO-4en-PentOXIZID; 4en-MDA-19 | C20H19N3O2 | 333.39 | 105 | 228 | 77 | 13.85 | show | DIVZUDBOOCSMQO-UZYVYHOESA-N | RM-reference material | 2022-01-31 | National Forensic Laboratory (NFL), Slovenia | 3051-22 | ||
| Cannabinoids | ADB-FUBIATA | ![]() | (2S)‐2‐(2‐{1‐[(4‐fluorophenyl)methyl]‐1H‐indol‐3‐yl}acetamido)‐3,3‐dimethylbutanamide | (S)-2-(2-(1-(4-fluorobenzyl)-1H-indol-3-yl)acetamido)-3,3-dimethylbutanamide; 2‐(2‐{1‐[(4‐fluorophenyl)methyl]indol‐3‐ yl}acetamido)‐3,3‐dimethylbutanamide; ADB-FUB-Indaneacetamide; N-(1-Amino-3,3-dimethyl-1-oxobutan-2-yl)-1-(4- fluorobenzyl)-1H-indole-3-acetamide; ADB-FUB-Indolylacetamide; AD-18; FUB-ACADB, ADB-FUBIACA | C23H26FN3O2 | 395.48 | 109 | 238 | 265 | 14.36 | show | KHAUCCNSUMBFOT-OAQYLSRUSA-N | RM-reference material | 2022-02-02 | National Forensic Laboratory (NFL), Slovenia | 3035-21 | ||
| Cannabinoids | AEP-PINACA | ![]() | (2S)‐2‐[(1‐pentyl‐1H‐indazol‐3‐yl)formamido]pentanamide | (S)-N-(1-amino-1-oxopentan-2-yl)-1-pentyl-1H-indazole-3-carboxamide | C18H26N4O2 | 330.43 | 215 | 286 | 145 | 11.38 | show | HBJXHYRIXNGPAY-AWEZNQCLSA-N | RM-reference material | 2022-02-22 | National Forensic Laboratory (NFL), Slovenia | 3036-21 | ||
| Cannabinoids | AEP-CHMINACA | ![]() | (2S)‐2‐{[1‐(cyclohexylmethyl)‐1H‐indazol‐3‐yl]formamido}pentanamide | (S)-N-(1-amino-1-oxopentan-2-yl)-1-(cyclohexylmethyl)-1H-indazole-3-carboxamide; AB-CHMINACA isomer 1 | C20H28N4O2 | 356.47 | 241 | 312 | 145 | 13.84 | show | FOGBYCHIDCWXCE-INIZCTEOSA-N | RM-reference material | 2022-02-22 | National Forensic Laboratory (NFL), Slovenia | 3037-21 | ||
| Indolalkylamines (fe tryptamines) | 5-methylthio DMT | ![]() | dimethyl({2‐[5‐(methylsulfanyl)‐1H‐indol‐3‐yl]ethyl})amine | 5-methylthio-N,N-Dimethyltryptamine; N,N-dimethyl-5-(methylthio)-1H-indole-3-ethanamine; 5-MeS DMT | C13H18N2S | 234.36 | 58 | 161 | 234 | 8.26 | show | YOGJZQGRTVMCPY-UHFFFAOYSA-N | RM-reference material | 2022-02-22 | National Forensic Laboratory (NFL), Slovenia | 3038-21 | ||
| Cannabinoids | BZO-POXIZID | ![]() | N'‐[(3Z)‐2‐oxo‐1‐pentyl‐2,3‐dihydro‐1H‐indol‐3‐ylidene]benzohydrazide | 5C-MDA-19; Pentyl MDA-19 | C20H21N3O2 | 335.41 | 230 | 105 | 77 | 13.93 | show | PCHOEXVGYICASA-UZYVYHOESA-N | RM-reference material | 2022-02-22 | National Forensic Laboratory (NFL), Slovenia | 3039-21 | ||
| Cannabinoids | 5F-BZO-POXIZID | ![]() | N'‐[(3Z)‐1‐(5‐fluoropentyl)‐2‐oxo‐2,3‐dihydro‐1H‐indol‐3‐ylidene]benzohydrazide | (Z)-N'-(1-(5-fluoropentyl)-2-oxoindolin-3-ylidene)benzohydrazide; 5-fluoropentyl MDA 19 | C20H20FN3O2 | 353.40 | 105 | 248 | 77 | 15.13 | show | CJINBVDNZDUMJM-PYCFMQQDSA-N | RM-reference material | 2022-02-22 | National Forensic Laboratory (NFL), Slovenia | 3040-21 | ||
| Phenethylamines | 2-FMA | ![]() | [1-(2-fluorophenyl)propan-2-yl](methyl)amine | 1-(2-fluorophenyl)-N-methylpropan-2-amine; 2-Fluoromethamphetamine; o-Fluoromethamphetamine; 2-FMA | C10H14FN | 167.23 | 58 | 109 | 83 | 2.37 | show | XNWIKJYFOIDUGD-UHFFFAOYSA-N | RM-reference material | 2022-03-08 | National Forensic Laboratory (NFL), Slovenia | 3025-21 | ||
| Phenethylamines | 3-FMA | ![]() | [1-(3-fluorophenyl)propan-2-yl](methyl)amine | 1-(3-fluorophenyl)-N-methylpropan-2-amine; 3-Fluoromethamphetamine; m-Fluoromethamphetamine; 3-FMA | C10H14FN | 167.23 | 58 | 109 | 83 | 2.38 | show | RRVAUTPWWWFYQT-UHFFFAOYSA-N | RM-reference material | 2022-03-08 | National Forensic Laboratory (NFL), Slovenia | 3026-21 | ||
| Phenethylamines | 4-FMA | ![]() | [1-(4-fluorophenyl)propan-2-yl](methyl)amine | 1-(4-fluorophenyl)-N-methylpropan-2-amine; 4-Fluoromethamphetamine; p-Fluoromethamphetamine; 4-FMA | C10H14FN | 167.23 | 58 | 109 | 83 | 2.38 | show | YCWZPIHKUYZTFM-UHFFFAOYSA-N | RM-reference material | 2022-03-08 | National Forensic Laboratory (NFL), Slovenia | 3027-21 | ||
| Cannabinoids | BZO-CHMOXIZID | ![]() | N'‐[(3Z)‐1‐(cyclohexylmethyl)‐2‐oxo‐2,3‐dihydro‐1H‐indol‐3‐ylidene]benzohydrazide | benzoic acid (2Z)-2-[1-(cyclohexylmethyl)-1,2-dihydro-2-oxo-3H-indol-3-ylidene]hydrazide; CHM-MDA-19 | C22H23N3O2 | 361.44 | 256 | 105 | 77 | 17.05 | show | HTPDZRIIOLCPPS-ATJXCDBQSA-N | RM-reference material | 2022-03-15 | National Forensic Laboratory (NFL), Slovenia | 3041-21 | ||
| Indolalkylamines (fe tryptamines) | 5-MeO-MALT | ![]() | [2‐(5‐methoxy‐1H‐indol‐3‐yl)ethyl](methyl)(prop‐2‐en‐1‐yl)amine | 5-methoxy-N-methyl-N-allyl Tryptamine; 5-methoxy MALT; 5-methoxy-N-methyl-N-2-propen-1-yl-1H-indole-3-ethanamine | C15H20N2O | 244.34 | 84 | 160 | 117 | 8.00 | show | AJHGTCBMUIJSQL-UHFFFAOYSA-N | RM-reference material | 2022-03-15 | National Forensic Laboratory (NFL), Slovenia | 3042-21 | ||
| Opioids | 5-aminoisotonitazene | ![]() | 1‐[2‐(diethylamino)ethyl]‐2‐{[4‐(propan‐2‐yloxy)phenyl]methyl}‐1H‐1,3‐benzodiazol‐5‐amine | 1-(2-(diethylamino)ethyl)-2-(4-isopropoxybenzyl)-1H-benzo[d]imidazol-5-amine | C23H32N4O | 380.54 | 86 | 107 | 87 | 15.08 | show | DVCBBZBNZSSXMS-UHFFFAOYSA-N | RM-reference material | 2022-03-15 | National Forensic Laboratory (NFL), Slovenia | 3046-22 | ||
| Opioids | Desmethylmoramide | ![]() | 4‐(morpholin‐4‐yl)‐2,2‐diphenyl‐1‐(pyrrolidin‐1‐yl)butan‐1‐one | 4-(4-morpholinyl)-2,2-diphenyl-1-(1-pyrrolidinyl)-1-butanone | C24H30N2O2 | 378.52 | 265 | 114 | 100 | 12.78 | show | JRPANCYSRUEJDY-UHFFFAOYSA-N | RM-reference material | 2022-03-15 | National Forensic Laboratory (NFL), Slovenia | 3047-22 | ||
| Arylcyclohexylamines | Fluorexetamine | ![]() | 2‐(ethylamino)‐2‐(3‐fluorophenyl)cyclohexan‐1‐one | FXE | C14H18FNO | 235.30 | 178 | 122 | 207 | 5.11 | show | FCETYWCLCUZFJI-UHFFFAOYSA-N | RM-reference material | 2022-03-15 | National Forensic Laboratory (NFL), Slovenia | 3048-22 | ||
| Cathinones | 4F-Isohexedrone | ![]() | 1‐(4‐fluorophenyl)‐4‐methyl‐2‐(methylamino)pentan‐1‐one | 4-fluoro Isohexedrone | C13H18FNO | 223.29 | 100 | 58 | 95 | 3.87 | show | SATSUWGHYGAAFH-UHFFFAOYSA-N | RM-reference material | 2022-04-01 | National Forensic Laboratory (NFL), Slovenia | 3052-22 | ||
| Others | Azaperone | ![]() | 1‐(4‐fluorophenyl)‐4‐[4‐(pyridin‐2‐yl)piperazin‐1‐yl]butan‐1‐one | 1-(4-fluorophenyl)-4-[4-(2-pyridinyl)-1-piperazinyl]-1-butanone; Fluoperidol; NSC 170976 | C19H22FN3O | 327.40 | 107 | 123 | 95 | 11.02 | show | XTKDAFGWCDAMPY-UHFFFAOYSA-N | RM-reference material | 2022-04-01 | National Forensic Laboratory (NFL), Slovenia | 3053-22 | ||
| Plants & extracts | Harmine | ![]() | 7‐methoxy‐1‐methyl‐9H‐pyrido[3,4‐b]indole | C13H12N2O | 212.25 | 212 | 169 | 197 | 8.39 | show | BXNJHAXVSOCGBA-UHFFFAOYSA-N | RM-reference material | 2022-04-01 | National Forensic Laboratory (NFL), Slovenia | 3054-22 | |||
| Cathinones | 4F-N-Ethylisohexedrone | ![]() | 2‐(ethylamino)‐1‐(4‐fluorophenyl)‐4‐methylpentan‐1‐one | 4-fluoro-N-Ethyl Isohexanophenone; 4-fluoro-N-Ethyl Isohexedrone; 4-fluoro-N-Ethylisohexedrone; 4-fluoro-alpha-Ethylaminoisohexanophenone; 4-fluoro-α-Ethylaminoisohexanophenone | C14H20FNO | 237.32 | 114 | 95 | 58 | 4.17 | show | LZTZUHCTBUONLO-UHFFFAOYSA-N | RM-reference material | 2022-04-01 | National Forensic Laboratory (NFL), Slovenia | 3055-22 | ||
| Indolalkylamines (fe tryptamines) | 5-MeO-AMT | ![]() | 1‐(5‐methoxy‐1H‐indol‐3‐yl)propan‐2‐amine | 5-methoxy-α-methyl-1H-indole-3-ethanamine; 5-methoxy AMT | C12H16N2O | 204.27 | 161 | 160 | 146 | 6.93 | show | OGNJZVNNKBZFRM-UHFFFAOYSA-N | RM-reference material | 2022-04-11 | National Forensic Laboratory (NFL), Slovenia | 3146-22 | ||
| Cannabinoids | 5F-NNEI | ![]() | 1‐(5‐fluoropentyl)‐N‐(naphthalen‐1‐yl)‐1H‐indole‐3‐carboxamide | 5-fluoro NNEI; 5-fluoro MN-24 | C24H23FN2O | 374.46 | 232 | 144 | 233 | 19.09 | show | DJKVOBZLMBHFKX-UHFFFAOYSA-N | RM-reference material | 2022-04-11 | National Forensic Laboratory (NFL), Slovenia | 3153-22 | ||
| Cathinones | N-butyl-norbutylone | 1‐(2H‐1,3‐benzodioxol‐5‐yl)‐2‐(butylamino)butan‐1‐one | C15H21NO3 | 263.34 | 114 | 58 | 149 | 7.18 | show | FCZRKVSLLXPJBA-UHFFFAOYSA-N | test purchase | 2022-05-23 | National Forensic Laboratory (NFL), Slovenia | 3058-22 | ||||
| Arylcyclohexylamines | 3-Me-PCPY | ![]() | 1‐[1‐(3‐methylphenyl)cyclohexyl]pyrrolidine | 3-methyl Rolicyclidine | C17H25N | 243.39 | 200 | 105 | 152 | 6.52 | show | JZVMREFYFTZXGN-UHFFFAOYSA-N | test purchase | 2022-05-23 | National Forensic Laboratory (NFL), Slovenia | 3056-22 | ||
| Indolalkylamines (fe tryptamines) | 4-HO-DET | 3‐[2‐(diethylamino)ethyl]‐1H‐indol‐4‐ol | 4-Hydroxy-N,N-diethyltryptamine; Ethocin | C14H20N2O | 232.33 | 86 | 232 | 87 | 7.93 | show | OHHYMKDBKJPILO-UHFFFAOYSA-N | test purchase | 2022-05-23 | National Forensic Laboratory (NFL), Slovenia | 3019-21 | |||
| Cannabinoids | 5F-NPB-22 | ![]() | quinolin‐8‐yl 1‐(5‐fluoropentyl)‐1H‐indazole‐3‐carboxylate | 5-fuoro NPB-22; 5F-PB-22 indazole analogue | C22H20FN3O2 | 377.42 | 233 | 145 | 234 | 16.02 | show | DZNDVBLSHUYZLI-UHFFFAOYSA-N | RM-reference material | 2022-06-15 | National Forensic Laboratory (NFL), Slovenia | 3160-22 | ||
| Cannabinoids | ADB-BUTINAATA | ![]() | (2S)‐2‐[2‐(1‐butyl‐1H‐indazol‐3‐yl)acetamido]‐3,3‐dimethylbutanamide | (S)-2-(2-(1-butyl-1H-indazol-3-yl)acetamido)-3,3-dimethylbutanamide; 7-ADD | C19H28N4O2 | 344.46 | 215 | 131 | 300 | 10.65 | show | IVLNLVKDTBQFAN-QGZVFWFLSA-N | RM-reference material | 2022-06-15 | National Forensic Laboratory (NFL), Slovenia | 3161-22 | ||
| Opioids | iso-Butonitazene | ![]() | diethyl[2‐(2‐{[4‐(2‐methylpropoxy)phenyl]methyl}‐5‐nitro‐1H‐1,3‐benzodiazol‐1‐yl)ethyl]amine | N,N-diethyl-2-(2-(4-isobutoxybenzyl)-5-nitro-1H-benzo[d]imidazol-1-yl)ethan-1-amine | C24H32N4O3 | 424.55 | 86 | 107 | 87 | 18.15 | show | KQZNQVXEZPNJQC-UHFFFAOYSA-N | RM-reference material | 2022-06-15 | National Forensic Laboratory (NFL), Slovenia | 3162-22 | ||
| Opioids | sec-Butonitazene | ![]() | [2‐(2‐{[4‐(butan‐2‐yloxy)phenyl]methyl}‐5‐nitro‐1H‐1,3‐benzodiazol‐1‐yl)ethyl]diethylamine | 2-(2-(4-(sec-butoxy)benzyl)-5-nitro-1H-benzo[d]imidazol-1-yl)-N,N-diethylethan-1-amine | C24H32N4O3 | 424.55 | 86 | 107 | 87 | 17.85 | show | NOIMENQCHUDEKZ-UHFFFAOYSA-N | RM-reference material | 2022-06-15 | National Forensic Laboratory (NFL), Slovenia | 3163-22 | ||
| Cannabinoids | EDMB-4en-PINACA | ![]() | ethyl (2S)‐3,3‐dimethyl‐2‐{[1‐(pent‐4‐en‐1‐yl)‐1H‐indazol‐3‐yl]formamido}butanoate | ethyl (S)-3,3-dimethyl-2-(1-(pent-4-en-1-yl)-1H-indazole-3-carboxamido)butanoate | C21H29N3O3 | 371.48 | 213 | 145 | 298 | 10.33 | show | GVDSDIBXUGMOMD-GOSISDBHSA-N | RM-reference material | 2022-06-15 | National Forensic Laboratory (NFL), Slovenia | 3164-22 | ||
| Cannabinoids | 3,5-ADB-4en-PFUPPYCA | ![]() | (2S)‐2‐{[3‐(4‐fluorophenyl)‐1‐(pent‐4‐en‐1‐yl)‐1H‐pyrazol‐5‐yl]formamido}‐3,3‐dimethylbutanamide | (S)-N-(1-amino-3,3-dimethyl-1-oxobutan-2-yl)-3-(4-fluorophenyl)-1-(pent-4-en-1-yl)-1H-pyrazole-5-carboxamide; 3,5-4en-ADB-FUPPYCA | C21H27FN4O2 | 386.47 | 215 | 385 | 229 | 12.13 | show | JPCQBOGNKSMAIE-GOSISDBHSA-N | RM-reference material | 2022-06-15 | National Forensic Laboratory (NFL), Slovenia | 3165-22 | ||
| Cathinones | N-Propylmethylone | ![]() | 1‐(2H‐1,3‐benzodioxol‐5‐yl)‐2‐[methyl(propyl)amino]propan‐1‐one | 1-(benzo[d][1,3]dioxol-5-yl)-2-(methyl(propyl)amino)propan-1-one; 3,4-Methylenedioxy-α-methylpropylaminopropiophenone; 3,4-Methylenedioxy-N-propylmethcathinone; N-propyl Methylone; N-methyl Propylone; N-methyl-N-propyl Methylone | C14H19NO3 | 249.31 | 100 | 58 | 65 | 6.41 | show | NZPMOFCLWLTDCS-UHFFFAOYSA-N | RM-reference material | 2022-06-15 | National Forensic Laboratory (NFL), Slovenia | 3166-22 | ||
| Cathinones | N-Butyl-Normethylone | ![]() | 1‐(2H‐1,3‐benzodioxol‐5‐yl)‐2‐(butylamino)propan‐1‐one | 1-(benzo[d][1,3]dioxol-5-yl)-2-(butylamino)propan-1-one; 3,4-Methylenedioxy-N-butylcathinone; 3,4-Methylenedioxy-α-butylaminopropiophenone | C14H19NO3 | 249.31 | 100 | 149 | 65 | 6.79 | show | DSZOMAGLCUNSKK-UHFFFAOYSA-N | RM-reference material | 2022-06-15 | 2024-08-27 | National Forensic Laboratory (NFL), Slovenia | 3167-22 | |
| Cathinones | N-Cyclohexylmethylone | ![]() | 1‐(2H‐1,3‐benzodioxol‐5‐yl)‐2‐[cyclohexyl(methyl)amino]propan‐1‐one | 1-(benzo[d][1,3]dioxol-5-yl)-2-(cyclohexyl(methyl)amino)propan-1-one; 3,4-Methylenedioxy-N,N-Cyclohexylmethcathinone; 3,4-Methylenedioxy-N,N-Cyclohexylmethylcathinone; 3,4-Methylenedioxy-α-Methylcyclohexylaminopropiophenone; 3,4-Methylenedioxy-N-cyclohexyl Methcathinone; N-cyclohexyl-N-methyl Methylone | C17H23NO3 | 289.38 | 140 | 58 | 55 | 8.66 | show | YKIOVTWPVRMUPN-UHFFFAOYSA-N | RM-reference material | 2022-06-15 | National Forensic Laboratory (NFL), Slovenia | 3168-22 | ||
| Cannabinoids | 5,3-AB-CHMFUPPYCA | ![]() | (2S)‐2‐{[1‐(cyclohexylmethyl)‐5‐(4‐fluorophenyl)‐1H‐pyrazol‐3‐yl]formamido}‐3‐methylbutanamide | N-[(1S)-1-(aminocarbonyl)-2-methylpropyl]-1-(cyclohexylmethyl)-5-(4-fluorophenyl)-1H-pyrazole-3-carboxamide; AB-CHFUPYCA; AZ-037 | C22H29FN4O2 | 400.50 | 285 | 356 | 189 | 14.39 | show | XMZXGVYPIIOHAQ-FQEVSTJZSA-N | RM-reference material | 2022-06-15 | National Forensic Laboratory (NFL), Slovenia | 3169-22 | ||
| Opioids | O-desmethyltramadol | ![]() | 3‐{2‐[(dimethylamino)methyl]‐1‐hydroxycyclohexyl}phenol | ODT | C15H23NO2 | 249.35 | 58 | 249 | 121 | 7.30 | show | UWJUQVWARXYRCG-UHFFFAOYSA-N | test purchase | 2022-06-17 | National Forensic Laboratory (NFL), Slovenia | 3063-22 | ||
| Opioids | Chlorphine | ![]() | 1‐{1‐[1‐(4‐chlorophenyl)ethyl]piperidin‐4‐yl}‐2,3‐dihydro‐1H‐1,3‐benzodiazol‐2‐one | 1-[1-[1-(4-chlorophenyl)ethyl]-4-piperidinyl]-1,3-dihydro-2H-benzimidazol-2-one | C20H22ClN3O | 355.87 | 82 | 103 | 139 | 15.83 | show | UARBQYKTGNWZBO-UHFFFAOYSA-N | RM-reference material | 2022-08-05 | National Forensic Laboratory (NFL), Slovenia | 3170-22 | ||
| Opioids | Fluorphine | ![]() | 1‐{1‐[1‐(4‐fluorophenyl)ethyl]piperidin‐4‐yl}‐2,3‐dihydro‐1H‐1,3‐benzodiazol‐2‐one | 1-[1-[1-(4-fluorophenyl)ethyl]-4-piperidinyl]-1,3-dihydro-2H-benzimidazol-2-one | C20H22FN3O | 339.41 | 82 | 123 | 103 | 13.16 | show | ZIGVSUYDKUDHPY-UHFFFAOYSA-N | RM-reference material | 2022-08-05 | National Forensic Laboratory (NFL), Slovenia | 3171-22 | ||
| Cannabinoids | CH-PIATA | ![]() | N‐cyclohexyl‐2‐(1‐pentyl‐1H‐indol‐3‐yl)acetamide | CH-PIACA; CHX-PIACA; CHX-PIATA; Cyclohexyl-PIATA | C21H30N2O | 326.48 | 200 | 130 | 201 | 11.24 | show | SYYOOLIGHZEOKJ-UHFFFAOYSA-N | RM-reference material | 2022-08-05 | National Forensic Laboratory (NFL), Slovenia | 3176-22 | ||
| Opioids | N-Piperidinyl_Etonitazene | ![]() | 2‐[(4‐ethoxyphenyl)methyl]‐5‐nitro‐1‐[2‐(piperidin‐1‐yl)ethyl]‐1H‐1,3‐benzodiazole | Etonitazepipne; N-Piperidyl Etonitazene; 2-[(4-ethoxyphenyl)methyl]-5-nitro-1-[2-(1-piperidinyl)ethyl]-1H-benzimidazole | C23H28N4O3 | 408.50 | 98 | 107 | 99 | 19.06 | show | UMGXRAISFRUVKD-UHFFFAOYSA-N | RM-reference material | 2022-08-10 | National Forensic Laboratory (NFL), Slovenia | 3172-22 | ||
| Opioids | Menitazene | ![]() | diethyl(2‐{2‐[(4‐methylphenyl)methyl]‐5‐nitro‐1H‐1,3‐benzodiazol‐1‐yl}ethyl)amine | N,N-diethyl-2-[(4-methylphenyl)methyl]-5-nitro-1H-benzimidazole-1-ethanamine | C21H26N4O2 | 366.46 | 86 | 105 | 87 | 14.79 | show | XGHTZJUKJYZDSW-UHFFFAOYSA-N | RM-reference material | 2022-08-10 | National Forensic Laboratory (NFL), Slovenia | 3173-22 | ||
| Opioids | Nitazene | ![]() | [2‐(2‐benzyl‐5‐nitro‐1H‐1,3‐benzodiazol‐1‐yl)ethyl]diethylamine | 2-(2-benzyl-5-nitro-1H-benzo[d]imidazol-1-yl)-N,N-diethylethan-1-amine | C20H24N4O2 | 352.44 | 86 | 91 | 87 | 13.69 | show | BZQKWBWRXLMPAA-UHFFFAOYSA-N | RM-reference material | 2022-08-10 | National Forensic Laboratory (NFL), Slovenia | 3174-22 | ||
| Benzodiazepines | Fluetizolam | ![]() | 4‐ethyl‐7‐(2‐fluorophenyl)‐13‐methyl‐3‐thia‐ 1,8,11,12‐tetraazatricyclo[8.3.0.02,6]trideca‐2(6),4,7,10,12‐pentaene | 2'-Fluorodeschloroetizolam; 2-ethyl-4-(2-fluorophenyl)-9-methyl-6H-thieno[3,2-f][1,2,4]triazolo[4,3-a][1,4]diazepine | C17H15FN4S | 326.39 | 326 | 297 | 257 | 12.27 | show | BCKPHENWWQCRCG-UHFFFAOYSA-N | RM-reference material | 2022-08-12 | National Forensic Laboratory (NFL), Slovenia | 3175-22 | ||
| Cannabinoids | MDMB-5Br-INACA | ![]() | methyl (2S)‐2‐[(5‐bromo‐1H‐indazol‐3‐yl)formamido]‐3,3‐dimethylbutanoate | methyl (S)-2-(5-bromo-1H-indazole-3-carboxamido)-3,3-dimethylbutanoate; MDMB-5-bromo-INACA | C15H18BrN3O3 | 368.23 | 223 | 225 | 279 | 11.51 | show | QGEVEXPJOKFMAN-GFCCVEGCSA-N | RM-reference material | 2022-08-12 | National Forensic Laboratory (NFL), Slovenia | 3179-22 | ||
| Cannabinoids | FAB-144 | ![]() | 1‐(5‐fluoropentyl)‐3‐(2,2,3,3‐tetramethylcyclopropanecarbonyl)‐1H‐indazole | (1-(5-fluoropentyl)-1H-indazol-3-yl)(2,2,3,3-tetramethylcyclopropyl)methanone | C20H27FN2O | 330.45 | 233 | 145 | 247 | 9.19 | show | LVJQJRUAYXVEGN-UHFFFAOYSA-N | RM-reference material | 2022-08-22 | National Forensic Laboratory (NFL), Slovenia | 3155-22 | ||
| Cannabinoids | CH-FUBIATA_ | ![]() | N‐cyclohexyl‐2‐{1‐[(4‐fluorophenyl)methyl]‐1H‐indol‐3‐yl}acetamide | CH-FUBIACA; N-cyclohexyl-1-[(4-fluorophenyl)methyl]-1H-indole-3-acetamide | C23H25FN2O | 364.46 | 109 | 238 | 239 | 13.51 | show | GSTACBDFNQHWHP-UHFFFAOYSA-N | RM-reference material | 2022-08-22 | National Forensic Laboratory (NFL), Slovenia | 3188-22 | ||
| Cannabinoids | MPP-BUTINACA | ![]() | methyl (2S)‐2‐[(1‐butyl‐1H‐indazol‐3‐yl)formamido]‐3‐phenylpropanoate | MPhP-BUTINACA; MPP(N)-073; methyl (1-butyl-1H-indazole-3-carbonyl)-L-phenylalaninate | C22H25N3O3 | 379.46 | 201 | 145 | 217 | 12.48 | show | GOPJHSQEBDURLM-SFHVURJKSA-N | RM-reference material | 2022-10-03 | National Forensic Laboratory (NFL), Slovenia | 3191-22 | ||
| Cannabinoids | MMB-5Br-INACA | ![]() | methyl (2S)‐2‐[(5‐bromo‐1H‐indazol‐3‐yl)formamido]‐3‐methylbutanoate | methyl (5-bromo-1H-indazole-3-carbonyl)-L-valinate; MMB-5-bromo-INACA | C14H16BrN3O3 | 354.20 | 223 | 225 | 294 | 11.20 | show | RXTFXWHQSYFULF-NSHDSACASA-N | RM-reference material | 2022-10-03 | National Forensic Laboratory (NFL), Slovenia | 3192-22 | ||
| Cannabinoids | CUMYL-TsINACA | ![]() | 1‐(4‐methylbenzenesulfonyl)‐N‐(2‐phenylpropan‐2‐yl)‐1H‐indazole‐3‐carboxamide | Cumyl-tosyl-indazole-3-carboxamide; N-(2-phenylpropan-2-yl)-1-tosyl-1H-indazole-3-carboxamide | C24H23N3O3S | 433.53 | 91 | 418 | 299 | 16.28 | show | NZHIGLHQWQLPPC-UHFFFAOYSA-N | RM-reference material | 2022-10-03 | National Forensic Laboratory (NFL), Slovenia | 3193-22 | ||
| Cannabinoids | AFUBIATA | ![]() | N‐(adamantan‐1‐yl)‐2‐{1‐[(4‐fluorophenyl)methyl]‐1H‐indol‐3‐yl}acetamide | Adamantyl-FUBIATA; N-((3s,5s,7s)-adamantan-1-yl)-2-(1-(4-fluorobenzyl)-1H-indol-3-yl)acetamide | C27H29FN2O | 416.54 | 109 | 238 | 239 | 17.77 | show | UGPWISFILITTLX-UHFFFAOYSA-N | RM-reference material | 2022-10-03 | National Forensic Laboratory (NFL), Slovenia | 3194-22 | ||
| Phenethylamines | 3-MeO-NBOMe | ![]() | [2‐(3‐methoxyphenyl)ethyl][(2‐methoxyphenyl)methyl]amine | N-(2-methoxybenzyl)-2-(3-methoxyphenyl)ethan-1-amine | C17H21NO2 | 271.36 | 121 | 150 | 91 | 8.35 | show | XFIILEUHKXNOHF-UHFFFAOYSA-N | test purchase | 2022-10-07 | National Forensic Laboratory (NFL), Slovenia | 3182-22 | ||
| Cannabinoids | ADB-5Br-INACA | ![]() | 2‐[(5‐bromo‐1H‐indazol‐3‐yl)formamido]‐3,3‐dimethylbutanamide | N-(1-amino-3,3-dimethyl-1-oxobutan-2-yl)-5-bromo-1H-indazole-3-carboxamide | C14H17BrN4O2 | 353.22 | 223 | 225 | 308 | 13.17 | show | AJGASUCDTSLMNP-UHFFFAOYSA-N | test purchase | 2022-10-20 | National Forensic Laboratory (NFL), Slovenia | 3177-22 | ||
| Cannabinoids | ADB-D-5Br-INACA | ![]() | 2‐[(5‐bromo‐1‐decyl‐1H‐indazol‐3‐yl)formamido]‐3,3‐dimethylbutanamide | ADMB-D-5Br-INACA; N-(1-amino-3,3-dimethyl-1-oxobutan-2-yl)-5-bromo-1-decyl-1H-indazole-3-carboxamide | C24H37BrN4O2 | 493.49 | 448 | 450 | 363 | 18.56 | show | YDOQIEUYWRSIGV-UHFFFAOYSA-N | test purchase | 2022-10-20 | National Forensic Laboratory (NFL), Slovenia | 3147-22 | ||
| Cannabinoids | 5F-ADB-P7AICA | ![]() | (2S)‐2‐{[1‐(5‐fluoropentyl)‐1H‐pyrrolo[2,3‐b]pyridin‐3‐yl]formamido}‐3,3‐dimethylbutanamide | (S)-N-(1-amino-3,3-dimethyl-1-oxobutan-2-yl)-1-(5-fluoropentyl)-1H-pyrrolo[2,3-b]pyridine-3-carboxamide; 5-fluoro ADB-P7AICA | C19H27FN4O2 | 362.45 | 233 | 145 | 234 | 12.59 | show | WSOQOVBMDDHWCF-OAHLLOKOSA-N | RM-reference material | 2022-11-18 | National Forensic Laboratory (NFL), Slovenia | 3206-22 | ||
| Arylcyclohexylamines | 2F-2-oxo-PCE | ![]() | 2‐(ethylamino)‐2‐(2‐fluorophenyl)cyclohexan‐1‐one | 2F-O-PCE | C14H18FNO | 235.30 | 178 | 122 | 207 | 5.23 | show | RTXKYSLDFKUESF-UHFFFAOYSA-N | RM-reference material | 2022-11-18 | National Forensic Laboratory (NFL), Slovenia | 3207-22 | ||
| Benzodiazepines | Desalkylgidazepam | ![]() | 7‐bromo‐5‐phenyl‐2,3‐dihydro‐1H‐1,4‐benzodiazepin‐2‐one | Bromonordiazepam; 7-BPDBD; BD 3; 7-PDBDB; 7-bromo-1,3-dihydro-5-phenyl-2H-1,4-benzodiazepin-2-one | C15H11BrN2O | 315.17 | 286 | 287 | 288 | 10.32 | show | ATCCWKYKHCKDGT-UHFFFAOYSA-N | RM-reference material | 2023-02-23 | National Forensic Laboratory (NFL), Slovenia | 3217-22 | ||
| Cannabinoids | ADB-5Br-BUTINACA | ![]() | (2S)‐2‐[(5‐bromo‐1‐butyl‐1H‐indazol‐3‐yl)formamido]‐3,3‐dimethylbutanamide | (S)-N-(1-amino-3,3-dimethyl-1-oxobutan-2-yl)-5-bromo-1-butyl-1H-indazole-3-carboxamide; ADB-5'Br-BINACA; ADB-BUT-5Br-INACA; ADB-B-5Br-INACA; ADB-5'Br-BUTINACA | C18H25BrN4O2 | 409.33 | 279 | 281 | 346 | 13.20 | show | DIOILIVJIIJFPO-OAHLLOKOSA-N | RM-reference material | 2023-02-23 | National Forensic Laboratory (NFL), Slovenia | 3218-22 | ||
| Cathinones | N-cyclohexyl_Normethylone | ![]() | 1‐(2H‐1,3‐benzodioxol‐5‐yl)‐2‐(cyclohexylamino)propan‐1‐one | 1-(benzo[d][1,3]dioxol-5-yl)-2-(cyclohexylamino)propan-1-one; cyputylon | C16H21NO3 | 275.35 | 126 | 55 | 149 | 8.29 | show | WZDQUORQDHVTKD-UHFFFAOYSA-N | RM-reference material | 2023-02-23 | National Forensic Laboratory (NFL), Slovenia | 3219-22 | ||
| Opioids | N-pyrrolidino-protonitazene | ![]() | 5‐nitro‐2‐[(4‐propoxyphenyl)methyl]‐1‐[2‐(pyrrolidin‐1‐yl)ethyl]‐1H‐1,3‐benzodiazole | 5-nitro-2-(4-propoxybenzyl)-1-(2-(pyrrolidin-1-yl)ethyl)-1H-benzo[d]imidazole; Protonitazepyne | C23H28N4O3 | 408.50 | 84 | 107 | 85 | 19.37 | show | KCRWXNIIXGBPID-UHFFFAOYSA-N | RM-reference material | 2023-02-23 | National Forensic Laboratory (NFL), Slovenia | 3220-22 | ||
| Cannabinoids | ADB-FUBINAATA | ![]() | (2S)‐2‐(2‐{1‐[(4‐fluorophenyl)methyl]‐1H‐indazol‐3‐yl}acetamido)‐3,3‐dimethylbutanamide | (S)-2-(2-(1-(4-fluorobenzyl)-1H-indazol-3-yl)acetamido)-3,3-dimethylbutanamide; | C22H25FN4O2 | 396.47 | 109 | 131 | 86 | 13.67 | show | MULIMWKIYDFHAW-HXUWFJFHSA-N | RM-reference material | 2023-02-23 | National Forensic Laboratory (NFL), Slovenia | 3221-22 | ||
| Cannabinoids | BZO-HEPOXIZID | ![]() | N'‐[(3Z)‐1‐heptyl‐2‐oxo‐2,3‐dihydro‐1H‐indol‐3‐ylidene]benzohydrazide | (Z)-N'-(1-heptyl-2-oxoindolin-3-ylidene)benzohydrazide; MDA-19 heptyl analog | C22H25N3O2 | 363.46 | 105 | 258 | 77 | 16.08 | show | ITEIHLPPIPYGCJ-ATJXCDBQSA-N | RM-reference material | 2023-02-23 | National Forensic Laboratory (NFL), Slovenia | 3222-22 | ||
| Cannabinoids | ADB-5Br-PINACA | ![]() | (2S)‐2‐[(5‐bromo‐1‐pentyl‐1H‐indazol‐3‐yl)formamido]‐3,3‐dimethylbutanamide | (S)-N-(1-amino-3,3-dimethyl-1-oxobutan-2-yl)-5-bromo-1-pentyl-1H-indazole-3-carboxamide; ADB-P-5'Br-INACA | C19H27BrN4O2 | 423.36 | 293 | 295 | 378 | 14.10 | show | OUVRBTCXLMBRLT-MRXNPFEDSA-N | RM-reference material | 2023-02-23 | National Forensic Laboratory (NFL), Slovenia | 3224-22 | ||
| Cannabinoids | CUMYL-CHSINACA | ![]() | 1‐(cyclohexanesulfonyl)‐N‐(2‐phenylpropan‐2‐yl)‐1H‐indazole‐3‐carboxamide | 1-(cyclohexylsulfonyl)-N-(2-phenylpropan-2-yl)-1H-indazole-3-carboxamide | C23H27N3O3S | 425.55 | 145 | 410 | 278 | 16.04 | show | ZNRPDVCQZGICAF-UHFFFAOYSA-N | RM-reference material | 2023-02-23 | National Forensic Laboratory (NFL), Slovenia | 3225-22 | ||
| Cannabinoids | ADB-5Br-4-en-PINACA | ![]() | (2S)‐2‐{[5‐bromo‐1‐(pent‐4‐en‐1‐yl)‐1H‐indazol‐3‐yl]formamido}‐3,3‐dimethylbutanamide | (S)-N-(1-amino-3,3-dimethyl-1-oxobutan-2-yl)-5-bromo-1-(pent-4-en-1-yl)-1H-indazole-3-carboxamide; ADB-4en-P-5'Br-INACA | C19H25BrN4O2 | 421.34 | 291 | 293 | 376 | 14.06 | show | SKMMFULKOGGVOT-MRXNPFEDSA-N | RM-reference material | 2023-02-23 | National Forensic Laboratory (NFL), Slovenia | 3226-22 | ||
| Cannabinoids | CH-FUBBMPDORA | ![]() | N‐{5‐bromo‐1‐[(4‐fluorophenyl)methyl]‐4‐methyl‐2‐oxo‐1,2‐dihydropyridin‐3‐yl}cyclohexanecarboxamide | N-(5-bromo-1-(4-fluorobenzyl)-4-methyl-2-oxo-1,2-dihydropyridin-3-yl)cyclohexanecarboxamide | C20H22BrFN2O2 | 421.31 | 109 | 310 | 312 | 13.92 | show | CKYYASUICQFJPH-UHFFFAOYSA-N | test purchase | 2023-03-02 | National Forensic Laboratory (NFL), Slovenia | 3189-22 | ||
| Cannabinoids | HHC-P | ![]() | 3‐heptyl‐6,6,9‐trimethyl‐6H,6aH,7H,8H,9H,10H,10aH‐benzo[c]isochromen‐1‐ol | 3-heptyl-6a,7,8,9,10,10a-hexahydro-6,6,9-trimethyl-6H-dibenzo[b,d]pyran-1-ol; Hexahydrocannabiphorol; HHCP | C23H36O2 | 344.54 | 260 | 301 | 221 | 10.45 | show | USZILQYXSONCHH-UHFFFAOYSA-N | collected | 2023-03-23 | National Forensic Laboratory (NFL), Slovenia | 3228-22 | ||
| Cannabinoids | ADB-INACA | ![]() | (2S)‐2‐[(1H‐indazol‐3‐yl)formamido]‐3,3‐dimethylbutanamide | N-[(1S)-1-(aminocarbonyl)-2,2-dimethylpropyl]-1H-indazole-3-carboxamide | C14H18N4O2 | 274.32 | 145 | 230 | 86 | 10.49 | show | UFECWXZSRFBSHC-LLVKDONJSA-N | RM-reference material | 2023-05-11 | National Forensic Laboratory (NFL), Slovenia | 3231-23 | ||
| Cannabinoids | ADB-IATA | ![]() | (2S)‐2‐[2‐(1H‐indol‐3‐yl)acetamido]‐3,3‐dimethylbutanamide | (S)-2-(2-(1H-indol-3-yl)acetamido)-3,3-dimethylbutanamide; ADB-IACA | C16H21N3O2 | 287.36 | 130 | 157 | 86 | 10.45 | show | WUWCLBKDNAZHPN-CQSZACIVSA-N | RM-reference material | 2023-05-11 | National Forensic Laboratory (NFL), Slovenia | 3232-23 | ||
| Opioids | N-desethyl Etonitazene | ![]() | (2‐{2‐[(4‐ethoxyphenyl)methyl]‐5‐nitro‐1H‐1,3‐benzodiazol‐1‐yl}ethyl)(ethyl)amine | 2-[(4-ethoxyphenyl)methyl]-N-ethyl-5-nitro-1H-benzimidazole-1-ethanamine | C20H24N4O3 | 368.44 | 135 | 58 | 107 | 16.40 | show | RESPFUMJVJRUMB-UHFFFAOYSA-N | RM-reference material | 2023-05-11 | National Forensic Laboratory (NFL), Slovenia | 3233-23 | ||
| Arylalkylamines | Ephenidine | ![]() | (1,2‐diphenylethyl)(ethyl)amine | N-ethyl-1,2-diphenylethanamine; NEDPA; N-ethyl-α-phenyl-benzeneethanamine; | C16H19N | 225.34 | 134 | 79 | 91 | 5.30 | show | IGFZMQXEKIZPDR-UHFFFAOYSA-N | test purchase | 2023-05-11 | National Forensic Laboratory (NFL), Slovenia | 1297-15 | ||
| Cannabinoids | ADB-P-5Br-INACA | ![]() | 2‐[(5‐bromo‐1‐pentyl‐1H‐indazol‐3‐yl)formamido]‐3,3‐dimethylbutanamide | N-(1-amino-3,3-dimethyl-1-oxobutan-2-yl)-5-bromo-1-pentyl-1H-indazole-3-carboxamide; ADB-5Br-PINACA; ADMB-P-5Br-INACA | C19H27BrN4O2 | 423.36 | 293 | 295 | 378 | 14.12 | show | OUVRBTCXLMBRLT-UHFFFAOYSA-N | seized | 2023-05-22 | National Forensic Laboratory (NFL), Slovenia | 3236-23 | ||
| Cannabinoids | MDMB-5Br-BUTINACA | ![]() | methyl (2S)‐2‐[(5‐bromo‐1‐butyl‐1H‐indazol‐3‐yl)formamido]‐3,3‐dimethylbutanoate | methyl (S)-2-(5-bromo-1-butyl-1H-indazole-3-carboxamido)-3,3-dimethylbutanoate; MDMB-BUT-5Br-INACA; MDMB-5Br-BINACA | C19H26BrN3O3 | 424.34 | 279 | 281 | 223 | 11.59 | show | NKCFVJNTALOWGJ-MRXNPFEDSA-N | RM-reference material | 2023-05-22 | National Forensic Laboratory (NFL), Slovenia | 3235-23 | ||
| Cannabinoids | CUMYL-NBMINACA | ![]() | 1‐({bicyclo[2.2.1]heptan‐2‐yl}methyl)‐N‐(2‐phenylpropan‐2‐yl)‐1H‐indazole‐3‐carboxamide | 1-(bicyclo[2.2.1]hept-2-ylmethyl)-N-(1-methyl-1-phenylethyl)-1H-indazole-3-carboxamide; SGT-152; Cumyl-BC[2.2.1]-HpMINACA | C25H29N3O | 387.53 | 253 | 145 | 372 | 15.22 | show | MLRLLZWQYJJPEX-UHFFFAOYSA-N | RM-reference material | 2023-05-23 | National Forensic Laboratory (NFL), Slovenia | 3234-23 | ||
| Cannabinoids | 9(R)-HHC | ![]() | 6,6,9‐trimethyl‐3‐pentyl‐6H,6aH,7H,8H,9H,10H,10aH‐benzo[c]isochromen‐1‐ol | trans-(6aR,9R,10aR)-HHC; 9(R)-Hexahydrocannabinol | C21H32O2 | 316.49 | 273 | 260 | 193 | 9.39 | show | XKRHRBJLCLXSGE-UHFFFAOYSA-N | RM-reference material | 2023-07-26 | National Forensic Laboratory (NFL), Slovenia | 3243-23 | ||
| Cannabinoids | 9(R)-HHCP Acetate | ![]() | (6aR,9R,10aR)‐3‐heptyl‐6,6,9‐trimethyl‐6H,6aH,7H,8H,9H,10H,10aH‐benzo[c]isochromen‐1‐yl acetate | 9(R)-HHCP Acetate; 9(R)-Hexahydrocannabiphorol acetete; (6aR,9R,10aR)-3-heptyl-6,6,9-trimethyl-6a,7,8,9,10,10a-hexahydro-6H-benzo[c]chromen-1-yl, acetate | C25H38O3 | 386.58 | 260 | 301 | 344 | 10.19 | show | LRVWJGANNJYLTC-DUXKGJEZSA-N | RM-reference material | 2023-07-26 | National Forensic Laboratory (NFL), Slovenia | 3242-23 | ||
| Others | 5Br-INACA | ![]() | 5-bromo-1H-indazole-3-carboxamide | C8H6BrN3O | 240.06 | 239 | 241 | 223 | 8.64 | show | BLPIUDHMDGSMME-UHFFFAOYSA-N | RM-reference material | 2023-07-26 | National Forensic Laboratory (NFL), Slovenia | 3244-23 | |||
| Indolalkylamines (fe tryptamines) | 2-Me-5-MeO-DMT | ![]() | [2‐(5‐methoxy‐2‐methyl‐1H‐indol‐3‐yl)ethyl]dimethylamine | 5-methoxy-N,N,2-trimethyl-1H-indole-3-ethanamine; 5-MeO TMT; 5-methoxy TMT; 2-methyl-5-methoxy DMT | C14H20N2O | 232.33 | 58 | 174 | 232 | 7.40 | show | ACEHBQPPDDGCGZ-UHFFFAOYSA-N | RM-reference material | 2023-07-26 | National Forensic Laboratory (NFL), Slovenia | 3245-23 | ||
| Cannabinoids | 5F-ADB-5Br-PINACA | ![]() | (2S)‐2‐{[5‐bromo‐1‐(5‐fluoropentyl)‐1H‐indazol‐3‐yl]formamido}‐3,3‐dimethylbutanamide | (S)-N-(1-amino-3,3-dimethyl-1-oxobutan-2-yl)-5-bromo-1-(5-fluoropentyl)-1H-indazole-3-carboxamide | C19H26BrFN4O2 | 441.35 | 311 | 313 | 396 | 15.30 | show | NFPAJGRKUHSQLR-MRXNPFEDSA-N | RM-reference material | 2023-07-26 | National Forensic Laboratory (NFL), Slovenia | 3246-23 | ||
| Cathinones | 4F-alpha-PiHP | ![]() | 1-(4-fluorophenyl)-4-methyl-2-(pyrrolidin-1-yl)pentan-1-one | C16H22FNO | 263.36 | 140 | 98 | 141 | 5.69 | show | JLQOIJCWXCXXQE-UHFFFAOYSA-N | seized | 2023-10-10 | National Forensic Laboratory (NFL), Slovenia | 3254-23 | |||
| Cathinones | N-sec-butyl-pentedrone | ![]() | 2-[(butan-2-yl)amino]-1-phenylpentan-1-one | 2-(sec-butylamino)-1-phenylpentan-1-one | C15H23NO | 233.35 | 128 | 72 | 77 | 4.84 | show | WDOQHXQCRFTHDF-UHFFFAOYSA-N | collected | 2023-10-10 | National Forensic Laboratory (NFL), Slovenia | 3255-23 | ||
| Indolalkylamines (fe tryptamines) | 4-AcO-McPT | ![]() | 3‐{2‐[cyclopropyl(methyl)amino]ethyl}‐1H‐indol‐4‐yl acetate | C16H20N2O2 | 272.35 | 84 | 159 | 160 | 8.81 | show | LTVOZYTYGWHKES-UHFFFAOYSA-N | test purchase | 2023-10-25 | National Forensic Laboratory (NFL), Slovenia | 2028-18 | |||
| Opioids | Clonitazene | ![]() | (2-{2-[(4-chlorophenyl)methyl]-5-nitro-1H-1,3-benzodiazol-1-yl}ethyl)diethylamine | 2-[2-[(4-chlorophenyl)methyl]-5-nitrobenzimidazol-1-yl]-N,N-diethylethanamine; 2-(p-Chlorobenzyl)-1-(2-diethylaminoethyl)-5-nitrobenzimidazole; Clobedolum | C20H23ClN4O2 | 386.88 | 86 | 125 | 87 | 16.10 | show | GPZLDQAEBHTMPG-UHFFFAOYSA-N | RM-reference material | 2024-01-10 | National Forensic Laboratory (NFL), Slovenia | 3044-21 | ||
| Cannabinoids | JWH-181 | ![]() | 2‐methyl‐1‐pentyl‐3‐(4‐propylnaphthalene‐1‐carbonyl)‐1H‐indole | (2-methyl-1-pentyl-1H-indol-3-yl)(4-propyl-1-naphthalenyl)-methanone | C28H31NO | 397.56 | 397 | 354 | 197 | 17.69 | show | MRZUOBIFOHQHRD-UHFFFAOYSA-N | RM-reference material | 2024-01-10 | National Forensic Laboratory (NFL), Slovenia | 3250-23 | ||
| Cannabinoids | delta8-Tetrahydrocannabiorcol | ![]() | 3,6,6,9‐tetramethyl‐6H,6aH,7H,10H,10aH‐benzo[c]isochromen‐1‐ol | Δ8-Tetrahydrocannabinol-C1; Δ8-THC-C1; Δ8-THCO | C17H22O2 | 258.36 | 175 | 258 | 215 | 7.69 | show | MMZAEMNNHWYQKW-UHFFFAOYSA-N | RM-reference material | 2024-01-10 | National Forensic Laboratory (NFL), Slovenia | 3253-23 | ||
| Cannabinoids | CHM-FUBIATA | ![]() | N‐(cyclohexylmethyl)‐2‐{1‐[(4‐fluorophenyl)methyl]‐1H‐indol‐3‐yl}acetamide | N-(cyclohexylmethyl)-1-[(4-fluorophenyl)methyl]-1H-indole-3-acetamide | C24H27FN2O | 378.49 | 109 | 238 | 239 | 15.04 | show | AOUXUOYCTNNOND-UHFFFAOYSA-N | RM-reference material | 2024-01-10 | National Forensic Laboratory (NFL), Slovenia | 3257-23 | ||
| Cathinones | 3F-alpha-PiHP | ![]() | 1‐(3‐fluorophenyl)‐4‐methyl‐2‐(pyrrolidin‐1‐yl)pentan‐1‐one | 3F-alpha-Pyrrolidinoisohexanophenone; 3-fluoro-α-PiHP | C16H22FNO | 263.36 | 140 | 98 | 95 | 5.64 | show | YIDHTOZIUGUEHM-UHFFFAOYSA-N | RM-reference material | 2024-01-10 | National Forensic Laboratory (NFL), Slovenia | 3259-23 | ||
| Opioids | Etonitazene | ![]() | (2-{2-[(4-ethoxyphenyl)methyl]-5-nitro-1H-1,3-benzodiazol-1-yl}ethyl)diethylamine | 2-[2-[(4-ethoxyphenyl)methyl]-5-nitrobenzimidazol-1-yl]-N,N-diethylethanamine | C22H28N4O3 | 396.49 | 86 | 107 | 87 | 16.83 | show | PXDBZSCGSQSKST-UHFFFAOYSA-N | RM-reference material | 2024-01-10 | National Forensic Laboratory (NFL), Slovenia | 3043-21 | ||
| Cathinones | N-butyl Buphedrone | ![]() | 2‐(butylamino)‐1‐phenylbutan‐1‐one | N-butyl BP; α-Butylaminobutiophenone; NBB; N-butyl Norbuphedrone | C14H21NO | 219.33 | 114 | 58 | 77 | 4.80 | show | QIYUAUKEZWDKGH-UHFFFAOYSA-N | RM-reference material | 2024-01-10 | National Forensic Laboratory (NFL), Slovenia | 3258-23 | ||
| Phenethylamines | N-pyrrolidinyl-3,4-DMA | ![]() | 1‐[1‐(3,4‐dimethoxyphenyl)propan‐2‐yl]pyrrolidine | 1-[2-(3,4-dimethoxyphenyl)-1-methylethyl]-pyrrolidine | C15H23NO2 | 249.35 | 98 | 99 | 94 | 6.63 | show | JFBIKRRRXMPOJC-UHFFFAOYSA-N | RM-reference material | 2024-01-10 | National Forensic Laboratory (NFL), Slovenia | 3252-23 | ||
| Cannabinoids | delta8-THCQ | ![]() | (6aR,10aR)‐6,6,9‐trimethyl‐3‐pentyl‐1H,4H,6H,6aH,7H,10H,10aH‐cyclohexa[c]isochromene‐1,4‐dione | (6aR,10aR)-6,6,9-trimethyl-3-pentyl-6a,7,10,10a-tetrahydrobenzo[c]chromene-1,4-dione; Δ8-Tetrahydrocannabinoquinone; Δ8-THCQ; HU-336 | C21H28O3 | 328.45 | 272 | 204 | 328 | 9.67 | show | GOZGLSHDDOJPJS-HZPDHXFCSA-N | RM-reference material | 2024-01-10 | National Forensic Laboratory (NFL), Slovenia | 3251-23 | ||
| Opioids | Ethyleneoxynitazene | ![]() | (2‐{2‐[(2,3‐dihydro‐1‐benzofuran‐5‐yl)methyl]‐5‐nitro‐1H‐1,3‐benzodiazol‐1‐yl}ethyl)diethylamine | 2-(2-((2,3-dihydrobenzofuran-5-yl)methyl)-5-nitro-1H-benzo[d]imidazol-1-yl)-N,N-diethylethan-1-amine; 3'-desoxy-3',4'-Methylenedioxynitazene; Tetrahydrofuranitazene | C22H26N4O3 | 394.48 | 86 | 133 | 87 | 17.97 | show | IPSJQZUMCSELFZ-UHFFFAOYSA-N | RM-reference material | 2024-01-10 | National Forensic Laboratory (NFL), Slovenia | 3249-23 | ||
| Cannabinoids | NMDMSB | ![]() | naphthalen‐1‐yl 3‐(dimethylsulfamoyl)‐4‐methylbenzoate | naphthalen-1-yl 3-(N,N-dimethylsulfamoyl)-4-methylbenzoate | C20H19NO4S | 369.44 | 226 | 89 | 90 | 14.21 | show | PNUYASIDNIWYQI-UHFFFAOYSA-N | RM-reference material | 2024-05-14 | National Forensic Laboratory (NFL), Slovenia | 3266-23 | ||
| Cannabinoids | H4-CBD | ![]() | 2‐[(1R,2S,5R)‐5‐methyl‐2‐(propan‐2‐yl)cyclohexyl]‐5‐pentylbenzene‐1,3‐diol | THD; 2-((1R,2S,5R)-2-isopropyl-5-methylcyclohexyl)-5-pentylbenzene-1,3-diol; 1(R)-Tetrahydrocannabidiol | C21H34O2 | 318.50 | 193 | 233 | 318 | 9.44 | show | LXIXAVCVBZBXIY-BPQIPLTHSA-N | RM-reference material | 2024-05-14 | National Forensic Laboratory (NFL), Slovenia | 3267-23 | ||
| Cannabinoids | HHCH | ![]() | (6aR,9R,10aR)‐3‐hexyl‐6,6,9‐trimethyl‐6H,6aH,7H,8H,9H,10H,10aH‐benzo[c]isochromen‐1‐ol | 9β-Hexahydrocannabihexol; 9β-HHCH; 9(R)-HHCH; (6aR,9R,10aR)-3-hexyl-6,6,9-trimethyl-6a,7,8,9,10,10a-hexahydro-6H-benzo[c]chromen-1-ol | C22H34O2 | 330.51 | 260 | 287 | 207 | 9.91 | show | OKXUDFJPZMVBEH-KBAYOESNSA-N | RM-reference material | 2024-05-14 | National Forensic Laboratory (NFL), Slovenia | 3268-23 | ||
| Cannabinoids | delta-8-THCP | ![]() | 3‐heptyl‐6,6,9‐trimethyl‐6H,6aH,7H,10H,10aH‐benzo[c]isochromen‐1‐ol | 3-heptyl-6a,7,10,10a-tetrahydro-6,6,9-trimethyl-6H-dibenzo[b,d]pyran-1-ol ; JWH 091; Δ8-Tetrahydrocannabiphorol; Δ8-THC-C7; Δ8-THC-heptyl; 3-heptyl-6,6,9-trimethyl-6a,7,10,10a-tetrahydrobenzo[c]chromen-1-ol | C23H34O2 | 342.52 | 259 | 258 | 342 | 10.69 | show | RGXKCMQANRHRCO-UHFFFAOYSA-N | collected | 2024-08-26 | National Forensic Laboratory (NFL), Slovenia | 3227-22 | ||
| Others | Rilmazolam | ![]() | 12‐chloro‐9‐(2‐chlorophenyl)‐N,N‐dimethyl‐2,3,5,8‐tetraazatricyclo[8.4.0.02,6] tetradeca‐1(14),3,5,8,10,12‐hexaene‐4‐carboxamide | 8-chloro-6-(2-chlorophenyl)-N,N-dimethyl-4H-[1,2,4]triazolo[1,5-a][1,4]benzodiazepine-2-carboxamide | C19H15Cl2N5O | 400.26 | 293 | 328 | 72 | 16.71 | show | YMJXPUGNWIWFJI-UHFFFAOYSA-N | RM-reference material | 2024-08-26 | National Forensic Laboratory (NFL), Slovenia | 3285-24 | ||
| Opioids | N-desethyl-isotonitazene | ![]() | ethyl[2‐(5‐nitro‐2‐{[4‐(propan‐2‐yloxy)phenyl]methyl}‐1H‐1,3‐benzodiazol‐1‐yl)ethyl]amine | N-Desethylisotonitazene; N-Desethyl Isotonitazene; 1H-Benzimidazole-1-ethanamine, N-ethyl-2-((4-(1-methylethoxy)phenyl)methyl)-5-nitro-; N-ethyl-2-(2-(4-isopropoxybenzyl)-5-nitro-1H-benzo[d]imidazol-1-yl)ethan-1-amine; | C21H26N4O3 | 382.46 | 58 | 107 | 149 | 16.47 | show | HHBRZWRJZICFRP-UHFFFAOYSA-N | RM-reference material | 2025-08-07 | National Forensic Laboratory (NFL), Slovenia | 3311-24 | ||
| Cathinones | 2-CMC | ![]() | 1‐(2‐chlorophenyl)‐2‐(methylamino)propan‐1‐one | 2-Chloromethcathinone; 1-(2-chlorophenyl)-2-(methylamino)-1-Propanone; | C10H12ClO | 197.66 | 58 | 56 | 75 | 3.61 | show | UHVGPEBZWPKWNT-UHFFFAOYSA-N | RM-reference material | 2025-08-07 | National Forensic Laboratory (NFL), Slovenia | 3310-24 | ||
| Cathinones | bk-PBDB | ![]() | 1-(2H-1,3-benzodioxol-5-yl)-2-(propylamino)butan-1-one | Putylone; N-propylbutylone; 3,4-Methylenedioxy-α-Propylaminobutiophenone; | C14H19NO3 | 249.31 | 100 | 58 | 149 | 6.55 | show | NRIHOTHAMAUSRO-UHFFFAOYSA-N | RM-reference material | 2025-08-07 | National Forensic Laboratory (NFL), Slovenia | 3308-24 | ||
| Cathinones | Hexylone | ![]() | 1-(2H-1,3-benzodioxol-5-yl)-2-(methylamino)hexan-1-one | 1-(1,3-benzodioxol-5-yl)-2-(methylamino)hexan-1-one; βk-N-methyl-1-(1,3-benzodioxol-5-yl)-2-hexanamine; 1-(benzo[d][1,3]dioxol-5-yl)-2-(methylamino)-hexan-1-one; 2-methylamino-1-(3,4-methylenedioxyphenyl)hexan-1-one; 1-(1,3-benzodioxol-5-yl)-2-(methylamino)-1-hexanone; β-keto-methylbenzodioxolylhexanamine; βk-MBDH; N-methylhexylone | C14H19NO3 | 249.31 | 100 | 101 | 149 | 6.77 | show | LNZBSVNIMBHSAG-UHFFFAOYSA-N | RM-reference material | 2025-08-07 | National Forensic Laboratory (NFL), Slovenia | 3307-24 | ||
| Cannabinoids | delta-9-THC-C8 | ![]() | 6,6,9-trimethyl-3-octyl-6H,6aH,7H,8H,10aH-benzo[c]isochromen-1-ol | 3-octyl-6a,7,8,10a-tetrahydro-6,6,9-trimethyl-6H-dibenzo[b,d]pyran-1-ol; 6aR,7,8,10aR-tetrahydro-6,6,9-trimethyl-3-octyl-6H-dibenzo[b,d]pyran-1-ol; Delta-9-THC-C8; Δ9-THC-C8; 3-octyl-delta-9-THC; 3-octyl- Δ9-THC; Δ9-THC-octyl; Δ9-tetrahydrocannabinol-C8; D9-THC-JD; | C24H36O2 | 356.55 | 341 | 356 | 273 | 11.44 | show | SFWRRSGOJSILSQ-UHFFFAOYSA-N | RM-reference material | 2025-08-07 | National Forensic Laboratory (NFL), Slovenia | 3289-24 | ||
| Cannabinoids | HU-331 | ![]() | 6‐hydroxy‐3'‐methyl‐4‐pentyl‐6'‐(prop‐1‐en‐2‐yl)‐[1,1'‐bi(cyclohexane)]‐1(6),2',3‐triene‐2,5‐dione | 3-hydroxy-2-(6-isopropenyl-3-methyl-cyclohex-2-en-1-yl)-5-pentyl-1,4-benzoquinone; 3S,4R-p-benzoquinone-3-hydroxy-2-p-mentha-(1,8)-dien-3-yl-5-pentyl; Cannabidiol hydroxyquinone; Cannabidiolquinone; CBDHQ; CBDQ; VCE-004 | C21H28O3 | 328.45 | 313 | 311 | 204 | 8.84 | show | WDXXEUARVHTWQF-UHFFFAOYSA-N | test purchase | 2025-08-07 | National Forensic Laboratory (NFL), Slovenia | 3290-24 | ||
| Opioids | Fluetonitazepyne | ![]() | 2‐{[3‐(2‐fluoroethoxy)phenyl]methyl}‐5‐nitro‐1‐[2‐(pyrrolidin‐1‐yl)ethyl]‐1H‐1,3‐benzodiazole | 2-[[4-(2-fluoroethoxy)phenyl]methyl]-5-nitro-1-(2-pyrrolidin-1-ylethyl)benzimidazole; 2-(4-(2-fluoroethoxy)benzyl)-5-nitro-1-(2-(pyrrolidin-1-yl)ethyl)-1H-benzo[d]imidazole; 2-{[4-(2- 32.fluoroethoxy)phenyl]methyl}-5-nitro-1-[2-(pyrrolidin-1-yl)ethyl]-1H-1,3-benzimidazole; F-etonitazepyne ; fluoro-etonitazepyne; N-pyrrolidino fluetonitazene; N-pyrrolidino-4’(2-fluoroethoxy) nitazene | C22H25FN4O3 | 412.46 | 84 | 107 | 85 | 19.07 | show | JRVLNWBHMCWJBL-UHFFFAOYSA-N | test purchase | 2025-08-07 | National Forensic Laboratory (NFL), Slovenia | 3325-25 | ||
| Cannabinoids | 2Br-HHC | ![]() | 2-bromo-6,6,9-trimethyl-3-pentyl-6aH,7H,8H,9H,10H,10aH-benzo[c]isochromen-1-ol | 2-bromo-heksahidrokanabinol | C21H31BrO2 | 395.38 | 351 | 353 | 273 | 10.03 | show | PBAVOKHUPKHJNT-UHFFFAOYSA-N | synthesized | 2025-08-22 | National Forensic Laboratory (NFL), Slovenia | 3323-25 | ||
| Cannabinoids | 2Br-HHC-O | ![]() | 2-bromo-6,6,9-trimethyl-3-pentyl-6H,6aH,7H,8H,9H,10H,10aH-benzo[c]isochromen-1-yl acetate | 2-bromo-heksahidrokanabinol acetat | C23H33BrO3 | 437.42 | 394 | 396 | 351 | 10.37 | show | CISPFEQXHGXYRW-UHFFFAOYSA-N | synthesized | 2025-08-22 | National Forensic Laboratory (NFL), Slovenia | 3324-25 | ||
| Cannabinoids | HHC-C9 | ![]() | 6,6,9‐trimethyl‐3‐nonyl‐6H,6aH,7H,8H,9H,10H,10aH‐benzo[c]isochromen‐1‐ol | 9(S)-Hexahydrocannabinol-C9 hexahydrocannabinol-C9 CC9 | C25H40O2 | 372.59 | 260 | 329 | 372 | 11.73 | show | IEJDLTWSCOMFKC-UHFFFAOYSA-N | seized | 2025-09-03 | National Forensic Laboratory (NFL), Slovenia | 3327-25 |
Database development (2015) and management: Slovenian National Forensic Laboratory (NFL).
Database description and guidelines for use and NFL Chemical characterization methodologies.
From 2015 to 2017 database also shared data provided by EU co-funded project RESPONSE (JUST/2013/ISEC/DRUGS/AG/6413).